依据改善全球肾脏病预后组织(Kidney Disease Improving Global Outcomes, KDIGO)指南对急性肾损伤(acute kidney injury, AKI)的定义,成人AKI总体发病率为19%~24%,其总体归因病死率为22%~26%[1]。而据国内人群数据报告,AKI总体发病率为5%~50%;尤其在重症加强治疗病房(ICU)内,AKI发病率为20%~50%,病死率亦高达50%[2];而且AKI患者常伴有较长的住院时间和较高的医疗费用支出[3]。
ICU内危重症患者因AKI的发生,常需要肾脏替代治疗,而连续性肾脏替代治疗(continuous renal replacement therapy, CRRT)较间断肾脏替代治疗如普通血透在血流动力学和内环境的稳定上更具有优势[4-6]。同时ICU内患者常存在较多高出血风险因素,如心脏、腹部、颅脑等大手术后,创伤、脓毒症、活动性出血等引起的凝血功能紊乱、血小板减少,合并使用抗凝、抗血小板、溶栓药物等[7-8]。
行CRRT时,抗凝是其中重要一环。国际KDIGO指南推荐,在不存在枸橼酸使用禁忌情况下,CRRT抗凝首选局部枸橼酸抗凝(regional citrate anticoagulation, RCA)模式。当ICU患者存在以上高出血风险时,指南亦推荐RCA模式,其次是无抗凝模式,但目前仍缺少这两者间的对比研究[9-10]。中华医学会重症医学分会在CRRT应用指南中建议,如果患者存在高出血风险,可选用无抗凝或RCA模式[11]。结合我国实际,枸橼酸药品市面上短缺,缺乏专用于RCA的商品化无钙透析液,及缺少专用于RCA的CRRT机器,国内这一抗凝模式至今尚未广泛开展。尤其是患者存在高出血风险时,大多数中心会首选无抗凝模式,但此模式下管路一旦凝血,不仅会影响CRRT治疗的充分性,更会消耗凝血因子与血小板,加重出血风险。因此,笔者设计了此项前瞻、随机、非盲临床研究,旨在比较ICU内存在高出血风险的AKI患者行CRRT时使用RCA模式与无抗凝模式的优缺点。
1 资料与方法 1.1 伦理本研究在浙江大学医学院附属邵逸夫医院ICU内完成,并经本院医学伦理委员会的审核,严格遵守《赫尔辛基宣言》中关于医学研究的伦理原则[12]。本研究起止时间为2014年10月至2016年12月。
1.2 纳入与排除标准本项研究属于前瞻、随机、非盲、对照临床研究。其纳入标准:患者达到KDIGO标准的AKI 3期;同时该患者临床上存在高出血风险,如心胸、腹部、脊柱、颅脑等大手术术后,创伤、脓毒症、活动性出血等引起的凝血功能紊乱[凝血酶原时间(PT)、活化部分凝血活酶时间(APTT) >正常值的1.5倍或PT>18 s, APTT>60 s]、血小板减少( < 50×109/L),合并使用抗凝、抗血小板、溶栓药物等;并在随机(随机数字法)分为无抗凝组和RCA组后4 h内完成上机。排除标准:严重肝功能衰竭[血总胆红素(tBil)>171 μmol/L]患者。入组后,RCA组患者如出现体内枸橼酸蓄积,血总钙/离子钙>2.5,则停用RCA模式,改用无抗凝模式。
1.3 CRRT仪器与设置研究中涉及的仪器有床边血气分析仪(GEM® premier 3000, Instrumentation Laboratory Company, 美国),贝克曼全自动五分类血球分析仪(LH780, Beckman Coulter, Inc., 美国),血凝仪(Sysmex Ca-7000, Sysmex Co., Ltd., 日本),西门子生化分析仪(Diemension RxL Max-HM, Siemens Ltd., 德国),专用于RCA的CRRT机器(multiFiltrate®,Fresenius Medical Care,德国)。CRRT中涉及的血液净化液体有4%枸橼酸三钠(200 mL,四川南格尔生物科技有限公司),置换液和含钙透析液(4 L,成都青山利康)。两组均采用此款CRRT机器,使用配套的AV1000S型滤器,RCA组使用内置的Ci-Ca®系统。CRRT模式采用后置换的持续性静脉-静脉血液透析滤过(continuous venovenous hemodiafiltration, CVVHDF)模式,治疗剂量25~35 mL/(kg·h),滤器常规72 h更换,除非管路凝结。通过调节枸橼酸流速,维持滤器后离子钙浓度在0.2~0.3 mmol/L;调节氯化钙流速,维持体内生理性离子钙浓度在1.12~1.20 mmol/L。因目前国内尚无商品化的无钙透析液,故此透析液由本单位自行配置。
1.4 临床资料记录两组患者临床一般特征,如性别、年龄、体质量、诊断、急性生理与慢性健康评分(APACHEⅡ)、序贯器官衰竭评分(sequential organ failure assessment, SOFA)、住ICU时间、死亡原因等;记录CRRT参数、滤器使用时长、更换滤器原因等信息,及CRRT期间患者病情变化,如脏器/组织出血、心律紊乱等;监测CRRT期间患者血常规、电解质、凝血功能、动脉血气、肝肾功能等,RCA组要监测滤器后离子钙浓度。上机后,每4 h监测滤器后离子钙、体内血浆总钙与离子钙水平,12 h后改成每8 h一次监测。
参照英国NICE输血指南(NG24),临床上使用限制性输血策略,包括血红蛋白值 < 7 g/dL才开始输血,输血目标值7~9 g/dL;如为急性冠脉综合征患者,则输血的阈值可提升至 < 8 g/dL,目标为8~10 g/dL。如血小板计数 < 10×109/L,则预防性输注血小板;如存在明显的机体出血,则输血小板的阈值为 < 30×109/L;如需有创操作或手术,其阈值升至 < 50×109/L。严重失血事件定义为由失血导致的血流动力学不稳定(收缩压 < 90 mmHg, 1 mmHg=0.133 kPa)或24 h内血红蛋白下降>2 g/dL或需要输血> 2 U (400 mL)浓缩红细胞。
1.5 统计学方法运用SPSS 19.0软件对结果进行统计分析。符合正态分布的数值型数据以“均值(95%CI)”表示,采用独立样本t检验。呈偏态分布的数值型数据以“中位数(95%CI)”表示,采用非参数检验中的Mann-Whitney U检验。计数资料以率表示,采用χ2检验中的Fisher’s精确概率法。滤器使用时长及患者生存率比较采用Kaplan-Meier生存曲线分析,运用Log-rank检验。以P < 0.05为差异有统计学意义。
2 结果两组各有16例患者纳入研究,其基线资料(表 1)比较显示两组间患者年龄、性别比差异无统计学意义(P>0.05),合并高血压病、2型糖尿病与慢性肾功能不全的比例也基本一致,同时两组内均无长期依赖于血透的患者。两组患者多来源于外科术后,组间差异无统计学意义(P>0.05)。两组患者入ICU时病情均较重,RCA组与无抗凝组APACHE Ⅱ评分为25.0及29.0,SOFA评分为12.3及11.9;组间比较差异无统计学意义。行CRRT前的RCA组患者在血酸碱度、血碳酸氢根浓度、全血剩余碱、血乳酸、血总胆红素、血谷丙转氨酶、血谷草转氨酶、血肌酐、血尿素氮、凝血酶原时间、活化部分凝血活酶时间、血红蛋白、血小板、血钠镁钙离子浓度等上与无抗凝组差异无统计学意义(P>0.05);行CRRT后RCA组患者的上述血气、肝肾功能、凝血功能、电解质、血红蛋白、血小板等生化指标较无抗凝组差异无统计学意义(P>0.05),见表 1。
| 指标 | RCA组(n=16) | 无抗凝组(n=16) | t/Z值 | P值 |
| 年龄 | 67.0(59.9~73.5) | 68.6(60.2~77.0) | -0.370 | 0.714 |
| 男性(例,%) | 8(50.0) | 10(62.5) | — | 0.722 |
| 高血压病(例,%) | 8(50.0) | 5(31.3) | — | 0.473 |
| 2型糖尿病(例,%) | 4(25.0) | 6(37.5) | — | 0.704 |
| 慢性肾功能不全(例,%) | 3(18.8) | 2(12.5) | — | 1.000 |
| 外科术后(例,%) | 11(68.8) | 9(56.3) | — | 0.716 |
| APACHE Ⅱ | 25.0(20.2~29.7) | 29.0(25.6~32.5) | -1.481 | 0.149 |
| SOFA | 12.3(11.7~12.9) | 11.9(11.3~12.5) | 1.083 | 0.288 |
| pro-pH | 7.289(7.254~7.323) | 7.266(7.230~7.303) | 0.952 | 0.349 |
| pro-HCO 3 - (mmol/L) | 17.19(16.23~18.15) | 17.67(16.61~18.73) | -0.709 | 0.484 |
| pro-BE (mmol/L) | -6.36(-7.02~-5.70) | -5.84(-6.28~-5.41) | -1.378 | 0.178 |
| pro-Lac (mmol/L) | 5.45(2.98~7.92) | 6.20(3.83~8.57) | -0.467 | 0.644 |
| pro-tBil (μmol/L) | 25.6(19.9~30.6) | 32.1(20.5~77.7) | -1.168 | 0.243 |
| pro-ALT (U/L) | 35.0(10.0~110.0) | 36.0(18.0~146.0) | -0.773 | 0.440 |
| pro-AST (U/L) | 85.0(29.0~203.0) | 49.5(29.0~58.0) | -0.584 | 0.559 |
| pro-Cr (μmol/L) | 248.31(156.86~339.77) | 280.56(181.97~379.16) | -0.511 | 0.613 |
| pro-Urea (mmol/L) | 5.12(4.35~5.89) | 5.57(4.66~6.47) | -0.805 | 0.427 |
| pro-PT (s) | 20.39(16.73~24.06) | 22.86(16.62~29.11) | -0.726 | 0.473 |
| pro-APTT (s) | 52.41(46.73~58.10) | 59.90(37.82~81.98) | -0.700 | 0.493 |
| pro-Hb (g/dL) | 9.1 (8.2~10.2) | 8.1(7.1~11.6) | -0.830 | 0.407 |
| pro-Plt (10 9/L) | 94.4(61.6~127.2) | 118.9(76.8~161.1) | -0.978 | 0.336 |
| pro-Na (mmol/L) | 142.25(140.43~144.07) | 143.31(140.98~145.65) | -0.765 | 0.450 |
| pro-Mg (mmol/L) | 0.917(0.812~1.022) | 0.811(0.728~0.894) | 1.690 | 0.101 |
| pro-tCa (mmol/L) | 2.037(1.880~2.194) | 2.085(1.946~2.224) | -0.490 | 0.628 |
| post-pH | 7.370(7.349~7.390) | 7.387(7.363~7.411) | -1.136 | 0.265 |
| post-HCO 3 - (mmol/L) | 20.23(19.62~20.85) | 20.66(19.77~21.55) | -0.837 | 0.410 |
| post-BE (mmol/L) | -0.73(-1.76~0.31) | -0.02(-0.86~0.82) | -1.133 | 0.266 |
| post-Lac (mmol/L) | 1.75(1.30~2.80) | 2.05(1.50~3.50) | -0.416 | 0.678 |
| post-tBil (μmol/L) | 29.9(23.0~56.9) | 53.1(36.9~85.5) | -1.319 | 0.187 |
| post-ALT (U/L) | 54.0(10.0~116.0) | 42.0(25.5~283.0) | -0.585 | 0.559 |
| post-AST (U/L) | 70.0(27.5~202.0) | 68.0(35.0~353.0) | -0.471 | 0.637 |
| post-Cr (μmol/L) | 158.63(85.38~231.87) | 156.19(106.79~205.59) | 0.059 | 0.953 |
| post-Urea (mmol/L) | 4.835(4.105~5.565) | 5.068(4.300~5.836) | -0.469 | 0.642 |
| post-PT (s) | 19.32(15.15~23.49) | 21.36(17.31~25.40) | -0.747 | 0.461 |
| post-APTT (s) | 49.25(44.10~57.30) | 48.35(44.00~60.50) | -0.038 | 0.970 |
| post-Hb (g/dL) | 8.33(7.53~9.12) | 7.58(7.01~8.14) | 1.641 | 0.112 |
| post-Plt (10 9/L) | 80.19(47.24~113.14) | 88.63(49.96~127.30) | -0.354 | 0.726 |
| post-Na (mmol/L) | 141.97(140.01~143.92) | 142.20(140.64~143.76) | -0.197 | 0.845 |
| post-Mg (mmol/L) | 0.797(0.658~0.936) | 0.844(0.728~0.960) | -0.551 | 0.586 |
| post-tCa (mmol/L) | 2.208(1.943~2.474) | 2.205(2.123~2.287) | 0.024 | 0.981 |
| 注:APACHE Ⅱ为急性生理与慢性健康评分;SOFA为序贯器官衰竭评分;pro为行CRRT前,post为行CRRT后;pH为血酸碱度;HCO3-为血碳酸氢根浓度;BE为全血剩余碱;Lac为血乳酸;tBil为血总胆红素;ALT为血谷丙转氨酶;AST为血谷草转氨酶;Cr为血肌酐;Urea为血尿素氮;PT为凝血酶原时间;APTT为活化部分凝血活酶时间; Hb为血红蛋白;Plt为血小板计数;Na为血钠;Mg为血镁;tCa为血总钙。正态分布数据予独立样本t检验;偏态分布数据予非参数检验中的Mann-Whitney U检验。分类数据采用卡方检验中的Fisher’ s精确概率法无χ2值,以“-”显示 | ||||
通过Kaplan-Meier曲线分析,RCA组患者行CRRT时其单个滤器使用时间较无抗凝组更长(χ2=9.707,P=0.002,图 1);单个滤器使用的时间(h)为36.01(26.61~45.42) 和22.04(18.35~25.73)。无抗凝组在CRRT期间较RCA组需输更多的浓缩红细胞量(mL)[242.5(173.1~311.9) 和148.8(86.7~210.8),t=-2.417,P=0.040]与血小板量(U)[15.4(12.0~18.7) 和9.4(6.2~12.7),t=-2.706,P=0.011](图 2~3)。RCA组与无抗凝组患者ICU内病死率差异无统计学意义,7/16和9/16(P=0.724,图 4)。两组患者行CRRT期间均未发生严重失血与恶性心律失常事件。
|
| 图 1 两组滤器使用时间比较 Figure 1 The comparison of the durability of filter in two groups |
|
|
|
| 图 2 两组患者行CRRT期间输浓缩红细胞(PRBC)量的比较 Figure 2 The comparison of the volume with packed red blood cells (PRBC) infusion during continuous renal replacement therapy |
|
|
|
| 图 3 两组患者行CRRT期间输血小板(PLT)量的比较 Figure 3 The comparison of the volume with platelet infusion during continuous renal replacement therapy |
|
|
|
| 图 4 两组患者ICU内生存率的比较 Figure 4 The ICU survival comparison between the groups |
|
|
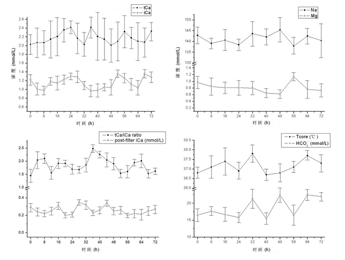
RCA组患者行CRRT期间(图 5),体内血电解质和体温基本维持在正常生理范围,血总钙2.22 (1.82~2.54) mmol/L,血离子钙1.18 (1.11~1.28) mmol/L,血钠142.3 (139.4~144.1) mmol/L,血镁0.83 (0.75~0.94) mmol/L,血碳酸氢根17.1 (15.8~17.9) mmol/L,核心温度37.2 (36.9~37.5) ℃。滤器后血离子钙水平也在目标范围0.26 (0.24~0.28) mmol/L;未发现有枸橼酸蓄积现象,血总钙/离子钙1.9 (1.7~2.1)。
|
| 图中数值以均值±标准差(x±s)表示;因每个滤器使用时长有差异,故各时间点上的例次数不等 图 5 RCA组患者血电解质、体温及滤器后血离子钙等的监测变化 Figure 5 The dynamic change of body temperature, systemic electrolyte and post-filter ionized calcium level etc. under regional citrate anticoagulation mode |
|
|
随着危重症患者中AKI发病人数的居高不减,CRRT技术在各级ICU中逐步成为标配,且受到广泛应用。在重症患者中CRRT可以调节机体容量负荷、维持酸碱电解质平衡、清除血液内中小分子物质,尤其适合于血流动力学不稳定的患者。全身肝素抗凝在CRRT抗凝模式中运用最广泛,其可以避免凝管和中断CRRT治疗,但也存在机体出血及出现肝素诱导的血小板减少症的风险。近期的研究也证实RCA较全身肝素抗凝在延长滤器使用时间、减少机体出血并发症上有优势,在提高患者存活率上可能有潜在获益[13-14]。同时,肝素-鱼精蛋白局部抗凝模式较RCA也存在并发症多、容易凝管的缺点[15]。滤器内凝血不仅会中断CRRT治疗,而且容易消耗凝血因子、红细胞和血小板,进一步加重出血与贫血的风险。对存在出血风险的患者,目前指南也已不推荐肝素-鱼精蛋白局部抗凝模式,而是RCA或无抗凝的模式。既往关于RCA研究,使用CVVHD模式的较多,而CVVHDF偏少,虽然两种模式在患者病死率上目前认为并无差异,但CVVHDF较CVVHD更易清除血液内炎症介质等中分子物质,故仍需要进一步对RCA-CVVHDF模式进行相应研究[16]。
国内RCA-CRRT起步较晚,该技术有待制定标准化的血液净化方案,培训ICU医护人员,以达到此技术的规范推广应用。逐步兴起的RCA-CRRT技术也需要积累国内人群的循证医学依据,开展此方面研究有利于该项技术的深刻理解和精准应用。笔者所在单位在省内较早引进了专用于行RCA的CRRT机器(multiFiltrate®),并在省内较早地开展了RCA-CRRT在危重症患者中的应用。
本研究发现在并存高出血风险的AKI患者行CRRT时,RCA模式较无抗凝模式能延长滤器使用寿命,减少CRRT期间的输红细胞与血小板量,但对患者ICU内病死率尚未有影响。RCA模式下,患者内环境稳定,并未出现严重高钠血症、高/低钙血症、代谢性酸/碱中毒、严重失血及恶性心律失常事件。但因本研究纳入患者人数偏少,需要扩大样本量进一步开展后续研究来证实此结论。基于目前国内市场上尚无商品化的无钙透析液,自行配置此液体会增加护士的工作量和院内感染的潜在风险。在此类患者中行CRRT时是否必须使用RCA模式,笔者认为应结合当地实际,在相关人员接受了必要理论与技能培训后,可选择性地开展此技术。
枸橼酸螯合钙离子形成枸橼酸-钙复合体,通过滤器时部分被滤过,部分回到人体循环中。在肝脏、肌肉等组织中,通过三羧酸循环代谢产生碳酸氢盐,并释放钙离子。在严重肝衰竭、骨骼肌灌注不足时,机体无法有效代谢循环中的枸橼酸,就可能出现枸橼酸蓄积。虽然血液中枸橼酸浓度不属于常规监测项目,但通过检测血中总钙/离子钙,可间接判断这一现象。RCA-CRRT在肝功能不全和高乳酸血症患者中是否可以安全使用,目前仍存在争议[17-19]。本研究未将血tBil>171 μmmol/L的严重肝功能衰竭患者纳入,行CRRT时RCA组患者亦未出现枸橼酸蓄积现象,血总钙/离子钙为1.9 (1.7~2.1),低于设定标准2.5;体内也未出现明显血液高总钙、低离子钙、顽固性代谢性酸中毒的情况。目前总体上认为在密切监测条件下,尽管患者存在肝功能不全或高乳酸血症,RCA-CRRT仍可安全使用,当然同时须警惕枸橼酸蓄积现象。至于肝功能不全与高乳酸血症达到何种程度,在RCA-CRRT过程中容易发生枸橼酸蓄积,此问题有待进一步研究。
随着CRRT的进行,滤器纤维柱表面会逐渐发生纤维素的沉积,滤柱内会出现血液凝固,从而影响血液内溶质的跨膜清除,尤其中大分子物质的清除[20]。有学者因此认为滤器应提倡每日一换,以避免溶质滤过效率的降低。笔者认为延长滤器使用时间,不是一味超过其说明书标注的时间使用,如本研究中采用的滤器,其说明书标注的有效工作时间为3 d;而目前CRRT过程中,很难达到24 h持续工作,频繁凝管中断治疗不利于处方剂量的达标,也易丢失凝血因子、红细胞与血小板,也会增加滤器的使用量及相应费用的支出。本研究中高出血风险AKI患者行CRRT时,无抗凝组滤器平均使用时间约为22 h,RCA组滤器平均使用时间也仅约为36 h,远没有达到使用时间上限。从CRRT后两组电解质、肝肾功能看,本研究中RCA组延长滤器使用时间也没有影响滤柱性能。
综上所述,在高出血风险的AKI患者行CRRT时,RCA模式安全、有效,较无抗凝模式能延长滤器使用时间及降低失血风险,但未改善患者ICU内存活率,同时国内目前情况下RCA模式会增加护士工作量。
| [1] | Susantitaphong P, Cruz DN, Cerda J, et al. World incidence of AKI: a meta-analysis[J]. Clin J Am Soc Nephrol, 2013, 8(9): 1482-1493. DOI:10.2215/CJN.00710113 |
| [2] | Fang Y, Teng J, Ding X. Acute kidney injury in China[J]. Hemodial Int, 2015, 19(1): 2-10. DOI:10.1111/hdi.12193 |
| [3] | Xu X, Nie S, Liu Z, et al. Epidemiology and clinical correlates of AKI in Chinese hospitalized adults[J]. Clin J Am Soc Nephrol, 2015, 10(9): 1510-1518. DOI:10.2215/CJN.02140215 |
| [4] | Acute Kidney Injury Work Group. KDIGO clinical practice guideline for acute kidney injury[J]. Kidney Int Suppl, 2012, 2(1): 1-138. DOI:10.1038/kisup.2012.1 |
| [5] | Liu HB, Zhang M, Zhang JX, et al. Application of bedside continuous blood purification in patients with multiple organ dysfunction syndromes[J]. World J Emerg Med, 2012, 3(1): 40-43. DOI:10.5847/wjem.j.1920-8642.2012.01.007 |
| [6] | Iwagami M, Yasunaga H, Noiri E, et al. Choice of renal replacement therapy modality in intensive care units: data from a Japanese Nationwide Adminstrative Claim Database[J]. J Crit Care, 2015, 30(2): 381-385. DOI:10.1016/j.jcrc.2014.11.003 |
| [7] | Gould MK, Garcia DA, Wren SM, et al. Prevention of VTE in nonorthopedic surgical patients: Antithrombotic Therapy and Prevention of Thrombosis, 9th ed: American College of Chest Physicians Evidence-Based Clinical Practice Guidelines[J]. Chest, 2012, 141(2 Suppl): e227S-277S. DOI:10.1378/chest.11-2297 |
| [8] | Levi M, Schultz M. Coagulopathy and platelet disorders in critically ill patients[J]. Minerva Anestesiol, 2010, 76(10): 851-859. |
| [9] | Khwaja A. KDIGO clinical practice guidelines for acute kidney injury[J]. Nephron Clin Pract, 2012, 120(4): c179-184. DOI:10.1159/000339789 |
| [10] | Wu MY, Hsu YH, Bai CH, et al. Regional citrate versus heparin anticoagulation for continuous renal replacement therapy: a meta-analysis of randomized controlled trials[J]. Am J Kidney Dis, 2012, 59(6): 810-818. DOI:10.1053/j.ajkd.2011.11.030 |
| [11] | 中华医学会重症医学分会. ICU中血液净化的应用指南[EB/OL][2017-01-09]. 2011, http://www.csccm.org/cn/news.asp?id=121.html |
| [12] | World Medical Association. World Medical Association Declaration of Helsinki: ethical principles for medical research involving human subjects[J]. JAMA, 2013, 310(20): 2191-2194. DOI:10.1001/jama.2013.281053 |
| [13] | Liu C, Mao Z, Kang H, et al. Regional citrate versus heparin anticoagulation for continuous renal replacement therapy in critically ill patients: a meta-analysis with trial sequential analysis of randomized controlled trial[J]. Crit Care, 2016, 20(1): 144. DOI:10.1186/s13054-016-1299-0 |
| [14] | Stucker F, Ponte B, Tataw J, et al. Efficacy and safety of citrate-based anticoagulation compared to heparin in patients with acute kidney injury requiring continuous renal replacement therapy: a randomized controlled trial[J]. Crit Care, 2015, 19: 91. DOI:10.1186/s13054-015-0822-z |
| [15] | Gattas DJ, Rajbhandari D, Bradford C, et al. A randomized controlled trial of regional citrate versus regional heparin anticoagulation for continuous renal replacement therapy in critically ill adults[J]. Crit Care Med, 2015, 43(8): 1622-1629. DOI:10.1097/CCM.0000000000001004 |
| [16] | Tolwani A. Continuous renal-replacement therapy for acute kidney injury[J]. N Engl J Med, 2012, 367(26): 2505-2514. DOI:10.1056/NEJMct1206045 |
| [17] | Slowinski T, Morgera S, Joannidis M, et al. Safety and efficacy of regional citrate anticoagulation in continuous venovenous hemodialysis in the presence of liver failure: the Liver Citrate Anticoagulation Threshold (L-CAT) observational study[J]. Crit Care, 2015, 19: 349. DOI:10.1186/s13054-015-1066-7 |
| [18] | Khadzhynov D, Schelter C, Lieker I, et al. Incidence and outcome of metabolic disarrangements consistent with citrate accumulation in critically ill patients undergoing continuous venovenous hemodialysis with regional citrate anticoagulation[J]. J Crit Care, 2014, 29(2): 265-271. DOI:10.1016/j.jcrc.2013.10.015 |
| [19] | Balogun RA, Turgut F, Caldwell S, et al. Regional citrate anticoagulation in critically ill patients with liver and kidney failure[J]. J Nephrol, 2012, 25(1): 113-119. DOI:10.5301/JN.2011.8363 |
| [20] | Pasko DA, Churchwell MD, Salama NN, et al. Longitudinal hemodiafilter performance in modeled continuous renal replacement therapy[J]. Blood Purif, 2011, 32(2): 82-88. DOI:10.1159/000324191 |
2017, Vol. 26



