心脏骤停(CA)是临床上最危急的急症。我国有超过2.3亿人存在心血管疾病。据文献粗略估计,我国每年至少有55万人发生CA,在引起CA原因众多中,心源性因素是首位因素,而急性心肌梗死(AMI)为主要的CA原因[1-3]。近年来,CA的临床预后依然未有明显改观,有关CA预后相关因素的研究一直是CA研究的重要内容[3-5],而AMI后CA预后因素分析的文献仍少,其中,长期(2年及更长)预后因素的研究则更少[6-8]。本文探讨AMI后CA患者自主循环恢复(ROSC)和2年存活预后的影响因素、ROSC后各因素的生存时间及对2年生存的影响,旨在为CA临床预后研究提供参考。
1 资料与方法 1.1 一般资料温州医科大学附属第一医院2005年1月至2015年1月期间AMI后CA患者254例,年龄(68.25±13.03)岁,男性179例,女性75例。
纳入标准:AMI后CA患者,包括院外AMI后CA送达急诊科的病例和院内AMI后CA病例。AMI诊断标准[2, 8-9]包括,心肌酶学典型的升高或降低伴下列任何一项:(1)心肌缺血症状; (2)心电图示病理性Q波; (3)心电图改变暗示心肌缺血(抬高或降低); (4)做过冠状动脉介入治疗,如血管成形术。CA指意识丧失,伴或不伴大动脉搏动消失、无自主呼吸或叹息样呼吸[2]。
排除标准:①冠脉造影后直接行冠脉搭桥手术的患者; ②患方签署过不复苏意愿; ③资料不全。
1.2 相关定义心肺复苏(CPR):包括胸外按压,伴或不伴打开呼吸道及使用或不使用复苏药物及电除颤。ROSC:指复苏后触摸到大动脉搏动超过20 s或收缩压 > 60 mmHg (1 mmHg=0.133 kPa)[10]。心包破裂诊断为:CA时床旁超声提示心包内可见新出现的大量液性暗区或心包穿刺抽出可凝固血[11]。CA时有可除颤心律指的是CA时首次心电图或心电监护发现心律为无脉性室性心动过速或心室颤动[10]。心源性休克:定义为收缩压 < 90 mmHg或需要升压药维持超过30 min才能维持收缩压≥90 mmHg,伴有低灌注(如肢端冷、神志改变、尿量 < 30 mL/h或血乳酸 > 2 mmol/L)[12]。CA时气管插管:指CPR早期行气管插管。经皮冠状动脉介入(PCI)治疗:指的是CA前或CA时或CA后行冠状动脉造影或冠状动脉支架植入术。是否重症监护室治疗、正性肌力药物运用、机械辅助治疗等都是由危重病学医生根据指南及患者情况决定。
1.3 数据登记按照国际Utstein复苏登记模式[10]基本要求并结合流行病学要求设计表格,登记资料包括一般情况、既往史、CA前情况、CA时情况、PCI时情况、CPR预后(ROSC、出院存活、1年存活、2年存活)。
1.4 统计学方法应用SPSS19统计软件,所有计量资料均行正态性检验,正态数据用均数±标准差(x±s)表述,非正态数据用中位数和四分位数表示; 计数资料用例数(%)表示,用χ2检验、校正χ2检验或Fisher精确概率法检验,以P < 0.05为差异有统计学意义。对相关研究因素进行单因素Logistic回归分析,并选择有意义的变量(P < 0.05)进行多因素非条件Logistic回归分析。用Kaplan-Meier生存曲线分析因素对2年生存的影响。
2 结果 2.1 CPR预后254例患者CPR总体预后:ROSC 129例(50.8%)、出院存活99例(39.0%)、1年存活77例(30.3%)、2年存活71例(28.0%)。ROSC后预后随访:129例ROSC后患者第1年的病死率为40.3%(52/129),77例存活1年后患者第2年的病死率为7.8%(6/77),第2年的病死率低于第1年的病死率(χ2=25.206,P < 0.01)。
2.2 CA患者ROSC预后影响因素分析254例AMI后CA患者各相关因素分组ROSC预后见表 1。单因素分析显示,年龄≥70岁、CA时间22:00-8:00、CPR持续时间≥15 min、肾上腺素用量 > 5 mg为ROSC预后不利因素,CA前左室射血分数(LVEF)≥40%、CA时有可除颤心律、PCI治疗为ROSC预后有利因素,见表 2。对单因素分析有统计学意义的因素进行多因素Logistic回归分析, 显示ROSC的独立预测因素为年龄、CA前LVEF、CPR持续时间、CA时心律、肾上腺素用量和PCI治疗,其中年龄≥70岁、CPR持续时间≥15 min、肾上腺素用量 > 5 mg为预后不利因素,CA前LVEF≥40%、CA时有可除颤心律、PCI治疗为预后有利因素,见表 3。
| 因素 | CA(例, %) | ROSC | 2年存活 | |||||
| (例, %) | χ2值 | P值 | (例, %) | χ2值 | P值 | |||
| 性别 | 男 | 179(70.5) | 92(51.4) | 0.090 | 0.764 | 57(62.0) | 6.203 | 0.013 |
| 女 | 75(29.5) | 37(49.3) | 14(37.8) | |||||
| 年龄 | ≥70岁 | 144(56.7) | 62(43.1) | 7.953 | 0.005 | 26(41.9) | 8.282 | 0.004 |
| < 70岁 | 110(43.3) | 67(60.9) | 45(67.2) | |||||
| 高血压 | 是 | 150(59.1) | 70(46.7) | 2.489 | 0.115 | 36(51.4) | 0.806 | 0.369 |
| 否 | 104(40.9) | 59(56.7) | 35(59.3) | |||||
| 糖尿病 | 是 | 69(27.2) | 34(49.3) | 0.087 | 0.768 | 15(44.1) | 2.225 | 0.136 |
| 否 | 185(72.8) | 95(51.4) | 56(58.9) | |||||
| 癌症 | 是 | 10(3.9) | 4(40.0) | 0.140 | 0.709 | 0(0.0) | 3.019 | 0.082 |
| 否 | 244(96.1) | 125(51.2) | 71(56.8) | |||||
| CA前活动自如 | 是 | 166(65.4) | 84(50.6) | 0.007 | 0.935 | 53(63.1) | 6.316 | 0.012 |
| 否 | 88(34.6) | 45(51.1) | 18(40.0) | |||||
| CA前LVEF | ≥40% | 110(43.3) | 68(61.8) | 9.446 | 0.002 | 41(60.3) | 1.605 | 0.205 |
| < 40% | 144(56.7) | 61(42.4) | 30(49.2) | |||||
| CA时间 | 22:00-8:00 | 99(39.0) | 41(41.4) | 5.703 | 0.017 | 19(46.3) | 1.837 | 0.175 |
| 8:00-22:00 | 155(61.0) | 88(56.8) | 52(59.1) | |||||
| CPR开始时间 | ≤5 min | 231(90.9) | 117(50.6) | 0.019 | 0.889 | 66(56.4) | 0.956 | 0.328 |
| > 5 min | 23(9.1) | 12(52.2) | 5(41.7) | |||||
| CPR持续时间 | ≥15 min | 157(61.8) | 45(28.7) | 80.518 | < 0.01 | 21(46.7) | 1.957 | 0.162 |
| < 15 min | 97(38.2) | 84(86.6) | 50(59.5) | |||||
| CA时有可除颤心律 | 是 | 105(41.3) | 75(71.4) | 30.512 | < 0.01 | 46(61.3) | 2.869 | 0.090 |
| 否 | 149(58.7) | 54(36.2) | 25(46.3) | |||||
| CA时气管插管 | 是 | 138(54.3) | 65(47.1) | 1.643 | 0.200 | 29(44.6) | 5.752 | 0.016 |
| 否 | 116(45.7) | 64(55.2) | 42(65.6) | |||||
| 肾上腺素用量 | > 5 mg | 72(28.3) | 15(20.8) | 36.072 | < 0.01 | 4(26.7) | 5.521 | 0.019 |
| ≤5 mg | 182(71.7) | 114(62.6) | 67(58.8) | |||||
| PCI治疗 | 是 | 142(55.9) | 92(64.8) | 25.321 | < 0.01 | 64(69.6) | 27.352 | < 0.01 |
| 否 | 112(44.1) | 37(33.0) | 7(18.9) | |||||
| 心源性休克 | 是 | 87(34.3) | 38(43.7) | 2.676 | 0.102 | 14(36.8) | 7.208 | 0.007 |
| 否 | 167(65.7) | 91(54.5) | 57(62.6) | |||||
| 急性心力衰竭 | 是 | 65(25.6) | 36(55.4) | 0.739 | 0.390 | 16(44.4) | 2.265 | 0.132 |
| 否 | 189(74.4) | 93(49.2) | 55(59.1) | |||||
| 心包破裂 | 是 | 23(9.1) | 0(0.0) | 26.099 | < 0.01 | - | - | - |
| 否 | 231(90.9) | 129(55.8) | - | |||||
| 研究因素 | CPR预后 | β | S.E. | Wald | P值 | OR | 95.0% CI |
| 男性 | ROSC | 0.083 | 0.275 | 0.090 | 0.764 | 1.086 | 0.633~1.862 |
| 2年存活 | 0.984 | 0.401 | 6.015 | 0.014 | 2.676 | 1.219~5.875 | |
| 年龄≥70岁 | ROSC | -0.723 | 0.258 | 7.862 | 0.005 | 0.485 | 0.293~0.804 |
| 2年存活 | -1.041 | 0.366 | 8.093 | 0.004 | 0.353 | 0.172~0.723 | |
| 高血压 | ROSC | -0.404 | 0.257 | 2.480 | 0.115 | 0.667 | 0.403~1.104 |
| 2年存活 | -0.320 | 0.357 | 0.804 | 0.370 | 0.726 | 0.361~1.462 | |
| 糖尿病 | ROSC | -0.083 | 0.282 | 0.087 | 0.768 | 0.920 | 0.529~1.600 |
| 2年存活 | -0.598 | 0.403 | 2.198 | 0.138 | 0.550 | 0.249~1.212 | |
| 癌症 | ROSC | -0.455 | 0.658 | 0.477 | 0.490 | 0.635 | 0.175~2.305 |
| 2年存活 | -18.600 | 4 770.029 | < 0.01 | 0.997 | < 0.01 | - | |
| CA前活动自如 | ROSC | -0.021 | 0.264 | 0.007 | 0.935 | 0.979 | 0.584~1.642 |
| 2年存活 | 0.942 | 0.379 | 6.171 | 0.013 | 2.565 | 1.220~5.391 | |
| CA前LVEF≥40% | ROSC | 0.790 | 0.259 | 9.316 | 0.002 | 2.203 | 1.327~3.658 |
| 2年存活 | 0.451 | 0.356 | 1.598 | 0.206 | 1.569 | 0.780~3.155 | |
| CA时间22:00-8:00 | ROSC | -0.620 | 0.261 | 5.651 | 0.017 | 0.538 | 0.323~0.897 |
| 2年存活 | -0.514 | 0.381 | 1.823 | 0.177 | 0.598 | 0.283~1.261 | |
| CPR开始时间≤5 min | ROSC | -0.061 | 0.438 | 0.019 | 0.889 | 0.941 | 0.399~2.218 |
| 2年存活 | 0.594 | 0.615 | 0.935 | 0.333 | 1.812 | 0.543~6.042 | |
| CPR持续时间≥15 min | ROSC | -2.778 | 0.346 | 64.308 | < 0.01 | 0.062 | 0.032~0.123 |
| 2年存活 | -0.519 | 0.372 | 1.944 | 0.163 | 0.595 | 0.287~1.235 | |
| CA时有可除颤心律 | ROSC | 1.481 | 0.275 | 28.977 | < 0.01 | 4.398 | 2.565~7.542 |
| 2年存活 | 0.610 | 0.362 | 2.845 | 0.092 | 1.840 | 0.906~3.737 | |
| CA时气管插管 | ROSC | -0.324 | 0.253 | 1.639 | 0.200 | 0.723 | 0.441~1.188 |
| 2年存活 | -0.863 | 0.363 | 5.661 | 0.017 | 0.422 | 0.207~0.859 | |
| 肾上腺素用量 > 5 mg | ROSC | -1.852 | 0.328 | 31.840 | < 0.01 | 0.157 | 0.083~0.299 |
| 2年存活 | -1.366 | 0.614 | 4.949 | 0.026 | 0.255 | 0.077~0.850 | |
| PCI治疗 | ROSC | 1.316 | 0.267 | 24.326 | < 0.01 | 3.730 | 2.211~6.293 |
| 2年存活 | 2.282 | 0.477 | 22.887 | < 0.01 | 9.796 | 3.846~24.950 | |
| 心源性休克 | ROSC | -0.434 | 0.266 | 2.662 | 0.103 | 0.648 | 0.384~1.091 |
| 2年存活 | -1.056 | 0.400 | 6.963 | 0.008 | 0.348 | 0.159~0.762 | |
| 急性心力衰竭 | ROSC | 0.124 | 0.144 | 0.737 | 0.391 | 1.132 | 0.853~1.502 |
| 2年存活 | -0.296 | 0.198 | 2.239 | 0.135 | 0.743 | 0.504~1.096 | |
| 心包破裂 | ROSC | -19.713 | 3 538.794 | < 0.01 | 0.996 | < 0.01 | - |
| 2年存活 | - |
| CPR预后 | 研究因素 | β | S.E. | Wald | P值 | OR | 95.0% CI |
| ROSC | 年龄≥70岁 | -0.794 | 0.366 | 4.712 | 0.030 | 0.452 | 0.221~0.926 |
| CA前LVEF≥40% | 0.914 | 0.359 | 6.500 | 0.011 | 2.495 | 1.235~5.038 | |
| CPR持续时间≥15 min | -2.516 | 0.400 | 39.524 | < 0.01 | 0.081 | 0.037~0.177 | |
| CA时有可除颤心律 | 1.366 | 0.361 | 14.349 | < 0.01 | 3.920 | 1.933~7.948 | |
| 肾上腺素用量 > 5 mg | -1.199 | 0.417 | 8.252 | 0.004 | 0.302 | 0.133~0.683 | |
| PCI治疗 | 0.826 | 0.351 | 5.540 | 0.019 | 2.285 | 1.148~4.547 | |
| 2年存活 | 年龄≥70岁 | -0.983 | 0.484 | 4.128 | 0.042 | 0.374 | 0.145~0.966 |
| PCI治疗 | 1.932 | 0.498 | 15.060 | < 0.01 | 6.904 | 2.602~18.319 |
129例ROSC患者各相关因素分组2年存活预后见表 1。单因素分析显示,年龄≥70岁、CA时气管插管、肾上腺素用量 > 5 mg、心源性休克为2年存活预后不利因素,男性、CA前活动自如、PCI治疗为2年存活预后有利因素,见表 2。对单因素分析有统计学意义的因素进行多因素Logistic回归分析, 显示2年存活的独立预测因素为年龄、PCI治疗,其中年龄≥70岁为预后不利因素,PCI治疗为预后有利因素,见表 3。
2.4 ROSC患者各因素相关生存时间分析129例ROSC患者2年期各因素相关的生存时间情况,显示ROSC后患者各因素相关的生存时间为非正态分布计量资料。其中,心包破裂、癌症、肾上腺素用量 > 5 mg、心源性休克这4个因素25%值及中位数值较小,PCI治疗25%值最大,心包破裂、癌症的75%值较小,见表 4。
| 研究因素 | 例(%) | 25%值 (d) |
中位数 (d) |
75%值 (d) |
| 男性 | 92(71.3) | 12.5 | 730 | 730 |
| 年龄≥70岁 | 62(48.1) | 6 | 287.5 | 730 |
| 高血压 | 70(54.3) | 15.5 | 730 | 730 |
| 糖尿病 | 34(26.4) | 14.75 | 532.5 | 730 |
| 癌症 | 4(3.1) | 1.25 | 8.5 | 140.25 |
| CA前活动自如 | 84(65.1) | 22.5 | 730 | 730 |
| CA前LVEF≥40% | 68(52.7) | 15.25 | 730 | 730 |
| CPR开始时间≤5 min | 117(90.7) | 10.5 | 730 | 730 |
| CPR持续时间≥15 min | 45(34.9) | 4.5 | 540 | 730 |
| CA时有可除颤心律 | 75(58.1) | 12 | 730 | 730 |
| CA时气管插管 | 65(50.4) | 3 | 300 | 730 |
| 肾上腺素用量 > 5 mg | 15(11.6) | 1 | 9 | 730 |
| PCI治疗 | 92(71.3) | 216 | 730 | 730 |
| 心源性休克 | 38(29.5) | 1.75 | 73.5 | 730 |
| 急性心力衰竭 | 36(27.9) | 2.25 | 364 | 730 |
| 心包破裂 | 0(0.0) | 0 | 0 | 0 |
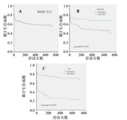
对129例ROSC患者随访2年,所得生存曲线见图 1。以多因素分析中对ROSC和2年存活均有影响的因素做Kaplan-Meier生存分析,显示年龄≥70岁对2年生存有影响,且为不利因素(Log-rank检验,P=0.007); PCI治疗对2年生存有影响,且为有利因素(Log-rank检验,P < 0.01),见图 1。
|
| 图 1 Kaplan-Meier生存分析 Figure 1 Kaplan-Meier survival analysis |
|
|
129例ROSC患者中有92例接受PCI治疗。如表 5所示,冠脉造影结果按病变部位分为多支病变41例(44.6%)和非多支病变51例(55.4%),非多支病变包括0个、1个、2个病变,分别为6例(6.5%)、30例(32.6%)、15例(16.3%); 按责任血管数目分为0个责任血管6例(6.5%)、1个责任血管60例(65.2%)、多支病变无明确责任血管26例(28.3%),1个责任血管按部位分为四类:左主干1例(1.1%)、左前降支38例(41.3%)、回旋支5例(5.4%)、右冠状动脉16例(17.4%),这四类2年存活分别为0例(0.0%)、29例(76.3%)、3例(60%)、13例(81.3%)。就诊时症状、心电图改变、PCI时机、冠脉造影等不同因素与并发症(心源性休克/急性心力衰竭)关系及2年存活预后比较见表 5。
| 不同因素分组 | ROSC且PCI(例, %) | 心源性休克/急性心力衰竭 | 2年存活 | |||||
| 例(%) | χ2值 | P值 | 例(%) | χ2值 | P值 | |||
| 胸痛 | 是 | 62(67.4) | 26(41.9) | 0.031 | 0.860 | 44(71.0) | 0.177 | 0.674 |
| 否 | 30(32.4) | 12(40.0) | 20(66.7) | |||||
| 意识障碍 | 是 | 36(39.1) | 19(52.8) | 3.211 | 0.073 | 27(75.0) | 0.825 | 0.364 |
| 否 | 56(60.9) | 19(33.9) | 37(66.1) | |||||
| 心电图改变 | ST段抬高 | 71(77.2) | 29(40.8) | 0.027 | 0.869 | 51(71.8) | 0.754 | 0.385 |
| 非ST段抬高 | 21(22.8) | 9(42.9) | 13(61.9) | |||||
| PCI时机 | CA前PCI | 23(25.0) | 9(39.1) | 0.060 | 0.807 | 6(26.1) | 27.381 | < 0.01 |
| CA后PCI(含CA时) | 69(75.0) | 29(42.0) | 58(84.1) | |||||
| 病变血管 | 非多支病变 | 51(55.4) | 21(41.2) | 0.001 | 0.978 | 41(80.4) | 6.336 | 0.012 |
| 多支病变 | 41(44.6) | 17(41.5) | 23(56.1) | |||||
| 责任血管 | 1个责任血管(含0个责任血管) | 66(71.7) | 27(40.9) | 0.015 | 0.902 | 50(75.8) | 4.230 | 0.040 |
| 多支病变无明确责任血管 | 26(28.3) | 11(42.3) | 14(53.8) | |||||
AMI是导致CA最常见原因[2-3],研究AMI后CA预后相关影响因素对CA救治中更积极干预具有重要意义。本研究AMI后CA患者ROSC率为50.8%,出院存活率为39.0%,1年存活率为30.3%,2年存活率为28.0%;ROSC后第2年病死率较第1年病死率降低。Chan等[13]和Doost Hosseiny等[14]观察发现,CA患者尤其是PCI治疗后患者,ROSC后病死率逐年降低。
CA患者CPR后短期和长期存活受诸多独立因素影响。本研究多因素分析显示年龄≥70岁、CPR持续时间≥15 min、肾上腺素用量 > 5 mg为AMI后CA患者ROSC预后的不利因素,CA时有可除颤心律、CA前LVEF≥40%为有利因素; 年龄≥70岁为ROSC患者2年存活预后的不利因素。Kaplan-Meier生存分析证实年龄≥70岁为2年生存不利因素。Martinell等[15]研究提示高龄是心源性CA复苏后患者预后不利因素,郑康等[3]报道年龄 > 65岁是ROSC不利因素,梁实等[16]报道年龄20~29岁组较≥81组ROSC率更高,Chan等[13]研究表明65岁以上患者年龄分组越大,1年存活率越低,Doost Hosseiny等[14]通过对AMI行PCI患者平均3.5年随访研究发现存活组平均年龄小于死亡组年龄(60.8岁和72.3岁)。有研究认为CPR持续时间超过10 min尤其是超过15 min是影响出院存活的不利因素,CPR持续时间间接反映了病情的危重程度、CA至CPR启动时间和CPR的效率,CPR持续时间15 min内的往往有较好预后,CPR持续时间超过30 min预后极差[17-18]。笔者前期已报告,对于所有原因致CA患者CPR持续时间≤15 min是ROSC和出院存活的有利因素[19]。研究已证实,可除颤心律与ROSC和存活出院正相关[3, 19-22],非可除颤心律是心源性CA心肺复苏后昏迷患者6个月神经功能预后的不利因素[15]。本研究分析CA时有可除颤心律患者ROSC后生存时间中位数和75%值也较大。已有研究提示肾上腺素用量较大是预后的不利因素[16-18],肾上腺素是心源性CA患者CPR后6个月神经功能预后的不利因素[15]。一项对美国300多家医院的研究表明,CA伴有可除颤心律患者早期应用(2 min内)肾上腺素对出院生存和ROSC均不利[23]。本研究发现肾上腺素用量 > 5 mg患者ROSC后生存时间的25%值和中位数仅为1 d和9 d。有研究发现LVEF≤40%是AMI患者高危并发症,增加1年的病死率[24],本研究发现CA前LVEF≥40%患者ROSC后生存时间的25%值和中位数也有15.25 d和730 d。
本研究多因素分析证实PCI治疗对ROSC和2年存活预后均为有利因素,Kaplan-Meier生存分析显示PCI治疗为2年生存有利因素,各因素生存时间分析显示PCI治疗的25%值最大(216 d)。PCI治疗预后比较分析显示PCI效果与PCI时机、病变血管数目及责任血管情况有关。黎敏等[2]认为PCI治疗是AMI后CA患者ROSC的有利因素。Gräsner等[25]对2004~2010年405例ROSC未行亚低温治疗患者研究,表明PCI增加了24 h生存率和出院存活患者神经功能恢复良好率。Sunde等[26]对院外CA且ROSC患者研究发现PCI治疗后,出院生存率和1年存活率分别提高了25%(31%到56%)和30%(26%到56%)。
AMI并发心源性休克多由左室广泛梗死或机械并发症所致,被认为是高危并发症,与病死率密切相关[7-8, 12]。Bărcan等[27]研究表明心源性休克是院外ST抬高型AMI所致CA行PCI治疗患者重症监护室出院存活预后的不利因素。本研究单因素分析显示心源性休克是ROSC患者2年存活预后的不良因素,心源性休克患者ROSC后生存时间的25%值和中位数仅为1.75 d和73.5 d。已有报道AMI心脏破裂常在30 min内死亡,病死率极高,其中左室游离壁破裂在AMI中比例为17/10 387~67/10 284[11, 28]。本研究中23例心脏破裂均为左室游离壁破裂,均未获得ROSC,与胡嘉禄等[11]报告的17例全部死亡结果一致。
| [1] | Xu F, Zhang Y, Chen Y. Cardiopulmonary resuscitation training in china: current situation and future development[J]. JAMA Cardiol, 2017, 2(5): 469-470. DOI:10.1001/jamacardio.2017.0035 |
| [2] | 黎敏, 宋维, 吕雪, 等. 心肺复苏Utstein模式注册登记研究:急性心肌梗死导致心脏骤停的流行病学调查研究[J]. 中华急诊医学杂志, 2014, 23(12): 1385-1388. DOI:10.3760/cma.j.issn.1671-0282.2014.12.019 |
| [3] | 郑康, 马青变, 王国兴, 等. 心脏骤停生存链实施现状及预后因素研究[J]. 中华急诊医学杂志, 2017, 26(1): 51-57. DOI:10.3760/cma.j.issn.1671-0282.2017.01.010 |
| [4] | Xue JK, Leng QY, Gao YZ, et al. Factors influencing outcomes after cardiopulmonary resuscitation in emergency department[J]. World J Emerg Med, 2013, 4(3): 183-189. DOI:10.5847/wjem.j.1920-8642.2013.03.005 |
| [5] | Chen SQ. Advances in clinical studies of cardiopulmonary resuscitation[J]. World J Emerg Med, 2015, 6(2): 85-93. DOI:10.5847/wjem.j.1920–8642.2015.02.001 |
| [6] | Siudak Z, Birkemeyer R, Dziewierz A, et al. Out-of-hospital cardiac arrest in patients treated with primary PCI for STEMI. Long-term follow up data from EUROTRANSFER registry[J]. Resuscitation, 2012, 83(3): 303-306. DOI:10.1016/j.resuscitation.2011.09.007 |
| [7] | Lim HS, Stub D, Ajani AE, et al. Survival in patients with myocardial infarction complicated by out-of-hospital cardiac arrest undergoing emergency percutaneous coronary intervention[J]. Int J Cardiol, 2013, 166(2): 425-430. DOI:10.1016/j.ijcard.2011.10.131 |
| [8] | Lei YL, Chen SQ, Li ZP, et al. Percutaneous coronary intervention improved outcomes of cardiac arrest after acute myocardial infarction: 2-year study[J]. Int J Clin Exp Med, 2017, 10(2): 3097-3105. |
| [9] | O'Gara PT, Kushner FG, Ascheim DD, et al. 2013 ACCF/AHA guideline for the management of ST-elevation myocardial infarction: a report of the American College of Cardiology Foundation/American Heart Association Task Force on Practice Guidelines[J]. Circulation, 2013, 127(4): e362-425. DOI:10.1161/CIR.0b013e3182742cf6 |
| [10] | Perkins GD, Jacobs IG, Nadkarni VM, et al. Cardiac arrest and cardiopulmonary resuscitation outcome reports: update of the Utstein Resuscitation Registry Templates for Out-of-Hospital Cardiac Arrest: a statement for healthcare professionals from a task force of the International Liaison Committee on Resuscitation (American Heart Association, European Resuscitation Council, Australian and New Zealand Council on Resuscitation, Heart and Stroke Foundation of Canada, InterAmerican Heart Foundation, Resuscitation Council of Southern Africa, Resuscitation Council of Asia); and the American Heart Association Emergency Cardiovascular Care Committee and the Council on Cardiopulmonary, Critical Care, Perioperative and Resuscitation[J]. Circulation, 2015, 132(13): 1286-1300. DOI:10.1161/CIR.0000000000000144 |
| [11] | 胡嘉禄, 黎音亮, 颜彦, 等. 51例急性心肌梗死(AMI)合并心脏破裂(CR)的临床特征及预后[J]. 复旦学报(医学版), 2015, 42(2): 198-203. DOI:10.3969/j.issn.1672-8467.2015.02.009 |
| [12] | Islam MS, Panduranga P, Al-Mukhaini M, et al. In-hospital outcome of patients with cardiogenic shock complicating acute myocardial infarction: results from royal hospital percutaneous coronary intervention registry, Oman[J]. Oman Med J, 2016, 31(1): 46-51. DOI:10.5001/omj.2016.09 |
| [13] | Chan PS, McNally B, Nallamothu BK, et al. Long‐term outcomes among elderly survivors of out‐of‐hospital cardiac arrest[J]. J Am Heart Assoc, 2016, 5(3): e002924. DOI:10.1161/jaha.115.002924 |
| [14] | Doost Hosseiny A, Moloi S, Chandrasekhar J, et al. Mortality pattern and cause of death in a long-term follow-up of patients with STEMI treated with primary PCI[J]. Open Heart, 2016, 3(1): e000405. DOI:10.1136/openhrt-2016-000405 |
| [15] | Martinell L, Nielsen N, Herlitz J, et al. Early predictors of poor outcome after out-of-hospital cardiac arrest[J]. Crit Care, 2017, 21(1): 96. DOI:10.1186/s13054-017-1677-2 |
| [16] | 梁实, 陈清, 张文武, 等. 对院前心肺复苏效果影响的多因素分析[J]. 中华急诊医学杂志, 2010, 19(1): 21-25. DOI:10.3760/cma.j.issn.1671-0282.2010.01.006 |
| [17] | Gomes AM, Timerman A, Souza CA, et al. Prognostic factors of survival in post-cardiopulmonary-cerebral resuscitation in general hospital[J]. Arq Bras Cardiol, 2005, 85(4): 262-271. DOI:10.1590/S0066-782X2005001700006 |
| [18] | Hajbaghery MA, Mousavi G, Akbari H. Factors influencing survival after in-hospital cardiopulmonary resuscitation[J]. Resuscitation, 2005, 66(3): 317-321. DOI:10.1016/j.resuscitation.2005.04.004 |
| [19] | 薛继可, 冷巧云, 高玉芝, 等. 急诊科心脏骤停患者心肺复苏预后的影响因素[J]. 中华急诊医学杂志, 2013, 22(1): 28-34. DOI:10.3760/cma.j.issn.1671-0282.2013.01.007 |
| [20] | Karlsson V, Dankiewicz J, Nielsen N, et al. Association of gender to outcome after out-of-hospital cardiac arrest--a report from the International Cardiac Arrest Registry[J]. Crit Care, 2015, 19: 182. DOI:10.1186/s13054-015-0904-y |
| [21] | Shao F, Li CS, Liang LR, et al. Outcome of out-of-hospital cardiac arrests in Beijing, China[J]. Resuscitation, 2014, 85(11): 1411-1417. DOI:10.1016/j.resuscitation.2014.08.008 |
| [22] | 齐志江, 李春盛. 2015CPR指南更新后心肺复苏研究新进展[J]. 中华急诊医学杂志, 2017, 26(1): 7-10. DOI:10.3760/cma.j.issn.1671-0282.2017.01.003 |
| [23] | Andersen LW, Kurth T, Chase M, et al. Early administration of epinephrine (adrenaline) in patients with cardiac arrest with initial shockable rhythm in hospital: propensity score matched analysis[J]. BMJ, 2016, 353: i1577. DOI:10.1136/bmj.i1577 |
| [24] | Andersson H, Sejersten M, Clemmensen P, et al. Prognosis and high-risk complication identification in unselected patients with ST-segment elevation myocardial infarction treated with primary percutaneous coronary intervention[J]. Acute Cardiac Care, 2010, 12(3): 102-108. DOI:10.3109/17482941.2010.513731 |
| [25] | Gräsner J, Meybohm P, Caliebe A, et al. Postresuscitation care with mild therapeutic hypothermia and coronary intervention after out-of-hospital cardiopulmonary resuscitation: a prospective registry analysis[J]. Crit Care, 2011, 15(1): R61. DOI:10.1186/cc10035 |
| [26] | Sunde K, Pytte M, Jacobsen D, et al. Implementation of a standardised treatment protocol for post resuscitation care after out-of-hospital cardiac arrest[J]. Resuscitation, 2007, 73(1): 29-39. DOI:10.1016/j.resuscitation.2006.08.016 |
| [27] | Bărcan A, Chițu M, Benedek E, et al. Predictors of mortality in patients with st-segment elevation acute myocardial infarction and resuscitated out-of-hospital cardiac arrest[J]. J Crit Care Med, 2016, 2(1): 22-29. DOI:10.1515/jccm-2016-0001 |
| [28] | 刘子衿, 缪黄泰, 聂绍平. 急性心肌梗死后心脏破裂的危险因素分析[J]. 中华心血管病杂志, 2016, 44(10): 862-867. DOI:10.3760/cma.j.issn.0253-3758.2016.10.007 |
2018, Vol. 27



