现代社会,青年人工作生活压力越来越大,猝死的发病率逐年增加。我国猝死年发生率约为8.8人/10万~30人/10万,平均为15人/10万[1]。ACS作为心源性猝死的最重要原因,在心源性猝死的病因中占65%~80%[2]。应激是指机体在适应生存环境中各种不利因素的过程中,实际或认知上的要求与适应和应付能力之间的不平衡所导致的躯体及心理的紧张状态及其反应, 长期慢性疲劳应激引发ACS患者心源性猝死的情况屡见不鲜, 慢性疲劳应激既是早发冠心病的病因,又是冠心病患者心源性猝死的诱因[3]。目前无论临床还是基础方面,对于当今社会普遍存在的慢性疲劳应激的相关性研究较少,对应激致心源性猝死的研究更是鲜见。荟萃研究发现,慢性疲劳应激发病机制主要是集中于蓝斑(LC)-去甲肾上原素能神经元/交感-肾上腺髓质系统及下丘脑-垂体-肾上腺皮质激素系统所调控分泌的糖皮质激素和儿茶酚胺[4]。这两种生物学递质在机体内作用过于广泛,特异性较差,其具体的病理生理机制的认识目前仍不清晰。本课题组前期研究发现GDF-15、HSP-70、儿茶酚胺(肾上腺素、去甲肾上腺素、多巴胺)与慢性疲劳应激密切相关, 但与ACS关系不确定。为明确应激指标与ACS的关系,本课题组进行了以下研究。
1 资料与方法 1.1 一般资料入选标准; 年龄≥18岁,符合欧洲心脏病学会、美国心脏病学会基金会、美国心脏协会和世界心脏联盟联合任务小组改进的2007年标准ACS诊断标准[5],确诊为ACS患者。
排除标准:近期内有手术史、颅内出血史,近2个月有肿瘤或者心肌梗死、恶性肿瘤、发热、急性或慢性炎症性疾病、血液病以及自身免疫性疾病。
选择2016年9月30日至2016年10月10日解放军总医院急诊科拟诊ACS收治的患者40例,年龄在29~85岁(62.85±14.582)岁,其中男性28例,女性12例。其中不稳定性心绞痛17例,心肌梗死23例,所有患者均行心电图检查、心肌酶损伤标志物五项检验,参照急性冠脉综合征诊断标准,均确诊为ACS。从同期解放军总医院体检中心选取健康志愿者40例,年龄在35~74岁(52.53±8.40)岁,其中男性30例,女性10例。
1.2 研究方法入院后一般生命体征检测,收集现病史、既往史抽取其静脉血进行血肌酸激酶同工酶、总胆固醇、甘油三酯、低密度脂蛋白、高密度脂蛋白、血糖、总胆红素、直接胆红素等生化指标的检测,生化检查采用自动血生化分析仪(Hitach 7600DDP,日本),在解放军总医院生化科进行; 凝血检测采用思塔高全自动凝血分析仪(STA-Evolution,法国)在解放军总医院临床检验科进行。并用EDTA管收集其静脉血5 mL,3 000 r/min离心15min, 收集血清检测其血GDF-15、HSP-70、儿茶酚胺(肾上腺素、去甲肾上腺素、多巴胺)水平,试剂盒由北京市嘉美实验生物有限公司提供,采用ELISA试剂盒,双抗体夹心ABC-ELISA法检测标本操作步骤严格按照说明书进行。所有患者与志愿者均签署知情同意书。
1.3 统计学方法统计学处理应用SPSS17.0软件进行处理,计量资料以均数±标准差(x±s)表示,两组间比较采用成组t检验,计数资料采用χ2检验,以P < 0.05为差异具有统计学意义。
2 结果 2.1 病例组与对照组患者的一般情况比较将病例组与对照组患者的一般信息进行对比分析,结果显示病例组年龄[(62.85±14.58)岁,P < 0.01]、BMI[(25.84±4.77),P=0.004]均值高于对照组,病例组高血压病史(χ2=0.65,P=0.001)、吸烟史(χ2=0.425,P=0.014)患者比例高于对照组,且P < 0.05,差异具有统计学意义。性别、饮酒史、高脂血症史等因素差异无统计学意义(P > 0.05),见表 1。
| 参数 | 病例组(n=40) | 对照组(n=40) | t/χ2值 | P值 |
| 年龄 | 62.85±14.58 | 52.53±8.340 | -3.881 | < 0.01a |
| 男性 | 28(70) | 30(75) | 0.495 | 0.622 |
| BMI | 25.84±4.77 | 22.41±5.53 | -2.968 | 0.004a |
| 吸烟史 | 17(42.5) | 7(17.5) | -2.504 | 0.014a |
| 饮酒史 | 11(27.5) | 10(25) | 0.251 | 0.081 |
| 高脂血症史 | 8(20) | 6(15) | 0.582 | 0.562 |
| 高血压病史 | 26(65) | 10(25) | -3.878 | 0.001a |
| 注:两组间比较,aP < 0.05 | ||||
将病例组临床检验指标肌酸激酶同工酶、总胆固醇、甘油三酯、低密度脂蛋白、高密度脂蛋白、血糖、总胆红素、直接胆红素与ACS进行对比分析,结果显示病例组检验指标的作用均无统计学意义(P > 0.05),见表 2。
| 参数 | 对照组(n=40) | 病例组(n=40) | t值 | P值 |
| 肌酸激酶同工酶 | 12.04±18.00 | 12.441±3.21 | 0.137 | 0.891 |
| 总胆固醇 | 3.87±1.19 | 4.39±1.11 | 1.969 | 0.053 |
| 甘油三酯 | 1.457±0.614 | 1.983±1.984 | 1.597 | 0.114 |
| 高密度脂蛋白 | 1.223±0.58 | 1.181±0.293 | -0.403 | 0.688 |
| 血糖 | 7.92±4.10 | 6.45±3.22 | -1.764 | 0.082 |
| 总胆红素 | 13.432±6.52 | 11.023±5.89 | -1.722 | 0.089 |
| 直接胆红素 | 4.505±3.11 | 4.152±1.730 | -0.622 | 0.536 |
将病例组与对照组血浆的儿茶酚胺、GDF-15、HSP-70水平进行统计学分析,结果显示病例组相比较对照组血浆的儿茶酚胺(46 592.15±30 931.27,P < 0.01)、GDF-15[(21.94±14.23),P=0.007]、HSP-70[(369.56±300.44),P < 0.01]水平明显升高(P < 0.05), 差异具有统计学意义,见表 3。
| 组别 | GDF-15 | HSP-70 | 儿茶酚胺 |
| 病例组 | 21.94±14.23 | 369.56±300.44 | 46 592.15±30 931.27 |
| 对照组 | 7.059±5.53 | 107.76±54.23 | 5 507.14±2 083.28 |
| F值 | 1.922 | 19.024 | 43.841 |
| P值 | 0.007a | < 0.01a | < 0.01a |
| 注:两组间比较,aP < 0.05 | |||
血管病变程度依据以下评分标准定量,冠状动脉直径狭窄:采用Gensini积分计算狭窄程度[6]。
(1) 根据狭窄程度:①≤25%(1分); ②25%~﹤50%(2分); ③50%~﹤75%(4分); ④75%~﹤90%(8分); ⑤90%~﹤99%(16分); ⑥99%~100%(32分)。
(2) 根据病变部位不同,计算系数乘积与单处病变积分; ①左室后侧支×0.5;②回旋支近段×2.5;③回旋支开口处×3.5;④前降支中段×1.5;⑤前降支近段×2.5;⑥左主干病变×5;⑦心尖部、前降支第一对角支、第二对角支、回旋支的远段、钝缘支、右冠状动脉后降支、远段、中段、近段×1。
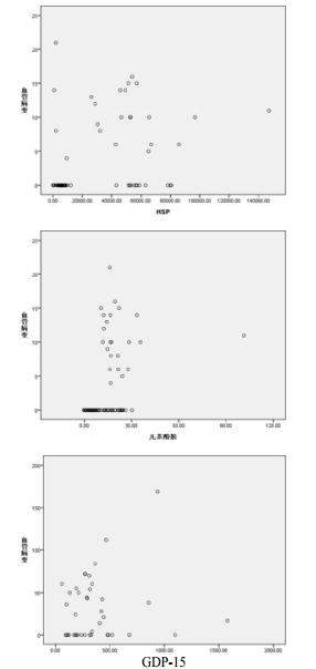
(3) Gensini总积分等于如上积分之和。结果显示GDF-15血清水平的升高与血管病变的Gensini积分结果具有相关性,相关系数是0.131(P > 0.05),结果表明不具有相关性。同理,血清HSP-70、儿茶酚胺(肾上腺素、去甲肾上腺素、多巴胺)水平与ACS不具有相关性,见图 1。
|
| 图 1 病例组血清儿茶酚胺(肾上腺素、去甲肾上腺素、多巴胺)、GDF-15、HSP-70水平与ACS患者血管病变程度的分析 Figure 1 Serum catecholamine (epinephrine, norepinephrine, dopamine), GDF-15 and HSP-70 levels in case group and the degree of vascular disease in ACS patients |
|
|
将病例组ACS患者根据病变血管数量进行分组为:单支组(n=4)、双支组(n=13)、多支组(n=8),入选表 1中两组存在统计学差异的危险因素年龄、BMI、吸烟史、高血压病史,与应激指标及病变血管数目进行分析。结果显示高血压病史率双支血管病变组较单支血管病变组比率较高(0.846 vs. 0.25,P=0.021),多支血管病变组较双支血管病变组GDF-15水平明显升高(618.40±434.42 vs. 292.07±219.65,P=0.033),多支血管病变组较单支血管病变组吸烟率增加(0.625 vs. 0,P=0.04),均有统计学意义,其余结果均差异无统计学意义,见表 4。
| 参数 | 单支(n=4) | 双支(n=13) | 多支(n=8) | P1值 | P2值 | P3值 |
| 年龄 | 66±9.381 | 58.08±15.47 | 66.13±11.29 | 0.353 | 0.219 | 0.985 |
| BMI | 25.54±8.02 | 26.51±5.68 | 25.72±2.06 | 0.790 | 0.713 | 0.953 |
| 吸烟史 | 0 | 0.53 | 0.625 | 0.061 | 0.714 | 0.04a |
| 高血压病史 | 0.25 | 0.846 | 0.75 | 0.021a | 0.608 | 0.116 |
| GDF-15 | 382.13±192.84 | 292.07±219.65 | 618.40±434.42 | 0.474 | 0.033a | 0.332 |
| HSP-70 | 35 213.90±39 108.74 | 50 632.17±15 868.21 | 57 647.05±4 8462.58 | 0.268 | 0.69 | 0.435 |
| 儿茶酚胺 | 21.10±6.15 | 17.74±4.82 | 33.25±28.84 | 0.250 | 0.631 | 0.443 |
| 注:P1:单支组与双支组; P2:双支组与多支组; P3:单支组与多支组。两组间比较,aP < 0.05 | ||||||
根据Gensini积分将病例组ACS患者病变血管狭窄程度分为 < 20分组、20~39分组、< 40分组。将已知危险因素年龄、BMI、吸烟史、高血压史及应激与病变血管狭窄程度进行统计学分析。结果显示血管狭窄 > 40分组GDF-15血清水平较 < 20分组明显升高[(324.27±198.81) vs. (77.43±699.22), P=0.03],血管狭窄 > 40分组血清儿茶酚胺(肾上腺素、去甲肾上腺素、多巴胺)水平较 < 20分组明显升高[(18.71±7.32) vs.(18.6±46.1),P=0.017], 差异具有统计学意义,其余结果均差异无统计学意义,见表 5。
| 参数 | < 20分(n=3) | 20~39分(n=5) | > 40分(n=15) | P1值 | P2值 | P3值 |
| 年龄 | 46±12.17 | 66.6±9.40 | 63.93± 14.33 | 0.035 | 0.704 | 0.061 |
| BMI | 25.90±1.46 | 25.95±6.27 | 27.07±5.83 | 0.990 | 0.720 | 0.742 |
| 吸烟史 | 0.33 | 0.8 | 0.533 | 0.244 | 0.317 | 0.555 |
| 高血压病史 | 0.33 | 0.8 | 0.8 | 0.244 | 1.000 | 0.111 |
| GDF-15 | 77.43±699.22 | 400.98±294.1 | 324.27±198.81 | 0.318 | 0.515 | 0.035a |
| HSP-70 | 74 453.4±69 224.2 | 45 655.2±45 185.1 | 43 978.25±17 068.4 | 0.496 | 0.902 | 0.119 |
| 儿茶酚胺 | 18.6±46.1 | 19.94±6.15 | 18.71±7.32 | 0.317 | 0.741 | 0.017a |
| 注:P1:Gensini积分 < 20分组与20~39分组; P2:Gensini积分20~39分组与 < 40分组; P3:Gensini积分 < 20分组与 < 40分。两组间比较,aP < 0.05 | ||||||
将未能排除影响的已知危险因素及应激指标与ACS结局行logistics回归分析,结果显示儿茶酚胺(肾上腺素、去甲肾上腺素、多巴胺)与ACS相关系数为OR=1.46,P=0.047,β=0.379,考虑儿茶酚胺(肾上腺素、去甲肾上腺素、多巴胺)为ACS的危险因素,其余指标与ACS不相关,见表 6。
| 参数 | 回归系数 | 标准误 | Wals χ2检验 | P值 | OR值 |
| 年龄 | 0.108 | 0.099 | 1.185 | 0.276 | 1.114 |
| 吸烟史 | 1.945 | 1.878 | 1.073 | 0.300 | 6.993 |
| BMI | -0.079 | 0.163 | 0.234 | 0.628 | 0.924 |
| 高血压病史 | 1.180 | 2.226 | 0.281 | 0.596 | 3.254 |
| 儿茶酚胺 | 0.379 | 0.191 | 3.946 | 0.047 | 1.460 |
| GDF-15 | 0.013 | 0.010 | 1.821 | 0.177 | 1.013 |
| HSP-70 | 0.000 | 0.000 | 1.974 | 0.160 | 1.000 |
随着社会生活节奏的加快,猝死事件越来越多,这与长期的躯体和精神的应激导致的慢性疲劳状态密不可分。
通过本次研究发现ACS病例组血清GDF-15、HSP-70、儿茶酚胺(肾上腺素、去甲肾上腺素、多巴胺)水平较对照组均明显升高,这提示血清GDF-15、HSP-70、儿茶酚胺(肾上腺素、去甲肾上腺素、多巴胺)水平与ACS可能存在相关性。荟萃研究发现,Bootcov等最早在1997年Proc Natl Acad Sci U S A上发表了关于GDF-15蛋白的结构及功能的文献报道,后研究发现GDF-15是一种应激反应蛋白, 生理情况下在前列腺和胎盘中高表达, 在多数其他组织中微弱表达, 包括心脏组织, 但是在病理和环境应激如缺血-再灌注损伤、心脏高压力负荷、心力衰竭和动脉粥样硬化等情况下, GDF-15在心肌细胞中大量表达, 对心肌细胞结构和凋亡程序发挥调节作用[8-9]。同时, GDF-15与炎症密切相关, 其为内源性抗炎因子, 促进梗死心肌的修复和存活,抑制白细胞浸润, 抑制巨噬细胞的活化和炎症的发生[10]。另外,有研究发现GDF-15可能与心血管疾病的基础病理有关。长期的躯体与精神应激会导致神经内分泌系统处于高兴奋状态,促肾上腺皮质激素分泌增加,导致交感-肾上腺髓质系统和垂体-肾上腺皮质系统功能亢进,从而导致肾上腺素和去甲肾上腺素过量释放,对血液动力学、血液流变学、脂类代谢产生影响,使血管外周阻力增加,血液黏稠度增大,心脏负荷量加重,心肌耗氧量增加和心肌缺血等一系列的变化因素共同导致ACS的发生[11]。
本次研究发现,病例组研究对象的儿茶酚胺(肾上腺素、去甲肾上腺素、多巴胺)水平明显高于对照组,这与急性冠脉综合征患者始终处于慢性疲劳应激的状态密不可分。热休克蛋白-70是在从细菌到哺乳动物中广泛存在一类应激蛋白。热休克蛋白-70于正常细胞内微量表达,维持细胞正常的生理活性, 在正常组织中表达较低,可通过炎症反应及免疫反应介导血管炎症的发生,破坏血管内皮促使动脉粥样硬化的形成和发展,同时还可刺激IL-6等炎症因子的表达水平上调从而加剧免疫应答反应,增加粥样斑块的不稳定性。
荟萃研究发现,其血清表达水平与ACS有相关性[12-13],这与本研究中发现ACS患者的血浆HSP-70水平明显高于对照组是相一致的。
3.2 应激与冠脉狭窄的严重程度的关系本课题参考国内外文献,以冠脉病变支数及Gensini积分评价冠脉狭窄程度。通过研究发现ACS病例组血清GDF-15、HSP-70、儿茶酚胺(肾上腺素、去甲肾上腺素、多巴胺)水平均高于对照组,笔者推测慢性疲劳应激指标GDF-15、HSP-70、儿茶酚胺(肾上腺素、去甲肾上腺素、多巴胺)与ACS相关。本课题组进一步研究了这些应激指标与ACS严重程度的关系,研究发现GDF-15血清水平的升高与Gensini积分结果有线性关系,其相关系数为0.131,但差异无统计学意义(P > 0.05),表明GDF-15与ACS有相关关系,但无直线回归关系。GDF-15与血管狭窄程度的研究发现,多支血管病变组GDF-15血清水平较单支血管病变组明显升高(P=0.035),血管狭窄 < 40分组GDF-15血清水平较 < 20分组明显升高(P=0.033),表明随着冠状动脉病变支数及狭窄程度的增加, 血清GDF-15水平亦随之增加,GDF-15水平与冠状动脉病变支数及狭窄程度的Gensini积分呈显著正相关,这与目前有关GDF-15与ACS的相关研究结果相一致。
荟萃研究发现,GDF-15为应激反应蛋白,代表机体应激水平的高低,通过本研究发现机体处于长期慢性疲劳应激的状态与ACS的严重程度相关,GDF-15水平可以作为患者危险分层和治疗预后的一个潜在指标。同时,血管狭窄 < 40分组血清儿茶酚胺(肾上腺素、去甲肾上腺素、多巴胺)水平较 < 20分组明显升高(P=0.017),这表明血管狭窄程度与儿茶酚胺的表达水平有相关性,血管狭窄程度越重,血清儿茶酚胺水平亦随之增加,这与机体处于长期慢性疲劳应激状态有密切关系。长期的应激导致交感-肾上腺-垂体神经内分泌轴功能亢进,大量分泌儿茶酚胺类抗体,导致其在机体高表达。
3.3 不足由于本组试验入选病例数较少,同时,不能完全排除年龄、吸烟史、高血压史因素的影响,虽然已经进行了统计学处理,但有关于GDF-15、儿茶酚胺等应激指标预测ACS严重程度的定量关系,以及应激导致ACS的发生的机制及有待于进一步的研究。
现在已经有更新的评价冠脉狭窄的标准如基于无创冠状动脉CT造影的血流储备分数(FFRCT)评估方法[14],正成为评价冠状动脉病变功能学意义、判断病变是否导致心肌缺血的一种新型无创标准,下一步研究中笔者将引进此方法,综合评价应激指标与无创检测的相关性,进一步评估GDF-15、儿茶酚胺、HSP-70的临床价值。
| [1] | Kuriachan VP, Sumner GL, Mitchell LB. Sudden cardiac death[J]. Curr Probl Cardiol, 2015, 40(4): 133-200. DOI:10.1016/j.cpcardiol.2015.01.002 |
| [2] | Zhang S. Sudden cardiac death in China: current status and future perspectives[J]. Europace, 2015, 17(Suppl 2): ii14-8. DOI:10.1093/europace/euv143 |
| [3] | Larun L, Odgaard-Jensen J, Price JR, et al. An version of the Cochrane review of exercise therapy for chronic fatigue syndrome[J]. Eur J Phys Rehabil Med, 2016, 52(2): 244-252. DOI:10.1002/14651858.CD003200.pub7 |
| [4] | Neco P, Torrente AG, Mesirca P, et al. Paradoxical effect of increased diastolic Ca(2+).release and decreased sinoatrial node activity in a mouse model of catecholaminergic.polymorphic ventricular tachycardia[J]. Circulation, 2012, 126(4): 392-401. DOI:10.1161/circulationaha.111.075382 |
| [5] | Alpert JS, Thygesen K, Antman E, et al. Myocardial infarction redefined--a consensus document of The Joint European Society of Cardiology/American College of Cardiology Committee for the redefinition of myocardial infarction[J]. J Am Coll Cardiol, 2000, 36(3): 959-969. DOI:10.1016/s0735-1097(00)00804-4 |
| [6] | Sinning C, Lillpopp L, Appelbaum S, et al. Angiographic score assessment improves cardiovascular risk prediction: the clinical value of SYNTAX and Gensini application[J]. Clin Res Cardiol, 2013, 102(7): 495-503. DOI:10.1007/s00392-013-0555-4 |
| [7] | Bootcov MR, Bauskin AR, Valenzuela SM, et al. MIC-1, a novel macrophage inhibitory cytokine, is a divergent member of the TGF-beta superfamily[J]. Proc Natl Acad Sci U S A, 1997, 94(21): 11514-11519. DOI:10.1073/pnas.94.21.11514 |
| [8] | Xu J, Kimball TR, Lorenz JN, et al. GDF15/MIC-1 functions as a protective and antihypertrophic factor released from the myocardium in association with SMAD protein activation[J]. Circ Res, 2006, 98(3): 342-350. DOI:10.1161/01.RES.0000202804.84885.d0 |
| [9] | 顾宇英, 赵荫涛, 姚义安, 等. 血清GDF-15水平与冠状动脉病变程度的相关性分析[J]. 山东医药, 2010, 50(24): 84-85. DOI:10.3969/j.issn.1002-266X.2010.24.042 |
| [10] | Barma M, Khan F, Price RJG, et al. Association between GDF-15 levels and changes in vascular and physical function in older patients with hypertension[J]. Aging Clin Exp Res, 2017, 29(5): 1055-1059. DOI:10.1007/s40520-016-0636-0 |
| [11] | 龚初平. 血浆儿茶酚胺、5-羟色胺检测在A型行为冠心病患者的临床意义分析[J]. 中国当代医药, 2016, 23(23): 126-128. |
| [12] | 邱方园, 田如龙, 强艳, 等. 职业慢性心理应激与血清热休克蛋白70及肿瘤坏死因子-α表达水平的关联研究[J]. 中华预防医学杂志, 2016, 50(5): 423-428. DOI:10.3760/cma.j.issn.0253-9624.2016.05.007 |
| [13] | Shrestha L, Bolaender A, Patel HJ, et al. Heat shock protein (HSP) drug discovery and development: targeting heat shock proteins in disease[J]. Curr Top Med Chem, 2016, 16(25): 2753-2764. DOI:10.2174/1568026616666160413141911 |
| [14] | Deng SB, Jing XD, Wang J, et al. Diagnostic performance of noninvasive fractional flow reserve derived from coronary computed tomography angiography in coronary artery disease: A systematic review and meta-analysis[J]. Int J Cardiol, 2015, 184(3): 703-709. DOI:10.1016/j.ijcard.2015.03.025 |
2018, Vol. 27



