2 福建省立医院重症医学二科,福州 350001
有创机械通气(invasive mechanical ventilation,IMV)是危重患者常见的抢救措施,当原发疾病得到改善,大多数患者均应及早脱离机械通气。机械通气患者中20%~30%会出现呼吸机依赖,如果撤机过程失败可增加患者约40%~50%的死亡风险[1]。传统的撤机过程多以SBT试验为评估标准,无全面评估患者的心肺功能。而危重患者的肺部通气情况、膈肌功能评估,对撤机能否成功具有重要预测价值。床旁肺部超声(lung ultrasound)可以无创、实时的观测肺部情况。在撤机过程中可以对肺部通气情况及膈肌功能进行动态、个体化评估。肺部超声肺部B线积分(lung ultrasonic B-line score,LUBS)[2]、膈肌移动度(diaphragmatic displacement,DD)[3],对评估撤机有很好的临床指导价值,可用来预测撤机成功率。LUBS及DD两者虽然均可以分别用来评估撤机成功率,但各自的敏感性和特异性不高[4-5],本研究将肺部超声B线评分及膈肌移动度进行联合评价,以探讨是否能更好地预测机械通气患者的撤机成功率。
1 资料与方法本研究为观察性研究,通过福建医科大学附属漳州市医院伦理委员会审议,不需签署知情同意书。
1.1 一般资料 1.1.1 纳入标准年龄 > 18岁,肺部感染导致呼吸衰竭、心脏疾病所致心力衰竭、脑卒中、非胸部外伤等因病情需要气管插管的患者。
1.1.2 排除标准[6]① 存在膈肌麻痹病史或经超声检查新发现的单侧膈肌麻痹或单侧膈肌矛盾运动;②气管切开术;③T8水平以上的截瘫;④导致血流动力学不稳定的心律失常;⑤严重ICU获得性神经病变;⑥既往通过肺功能检查诊断重度慢性阻塞性肺疾病;⑦机械通气治疗期间死亡或者呼吸机治疗过程中意外拔管;⑧先前SBT失败者;⑨妊娠;⑩大量胸腔积液、气胸或纵隔气肿;⑪存在连枷胸或肋骨骨折;⑫研究前48 h之内使用过肌松剂。
1.1.3 资料收集入选2016年8月到2018年3月在我院MICU、SICU的145例气管插管呼吸机辅助呼吸的患者,使用有创机械通气时间 > 24 h。
收集所有患者的临床基本情况,包括:年龄、性别、呼吸机使用时间、APACHE-Ⅱ评分、撤机前24 h的液体平衡情况。经治疗好转后,用PSV模式常规进行自主呼吸试验(spontaneous breathing trial,SBT),研究人员在SBT试验30 min后撤机前进行LUBS、DD、EF、LAP、BNP;通过第一次SBT的患者给予拔除气管插管并撤机。在撤机后4 h,再次评估LUBS、DD、EF、LAP、BNP;分析所收集资料,进行临床的观察研究。撤机过程48 h内不需要使用无创机械通气及不需要重新气管插管者为撤机成功(不包括普通氧疗);如果撤机后48 h内再发气喘加重,需要无创呼吸机辅助呼吸或高流量氧疗,甚至重新有创机械通气者,判断为撤机失败。
1.2 床旁超声检查在超声科专业医师指导下,由具有重症超声培训合格证的熟练的研究人员对研究对象行床旁肺部超声检查及心脏超声检查[11]。检查中及检查后,注意患者伤口污染及探头消毒。
1.2.1 床旁肺部超声检查①患者仰卧位选择凸阵探头(Sonosite M-Turbo 2-5 MHz),探头垂直于肋间隙,根据中国重症超声专家共识推荐的检查方法[7],分别于双侧胸壁的上蓝点、下蓝点、PLAPS点、后背检查B线数目。每个检查点观察采集切面下吸气相最多的B线数目并进行计数,1条B线计1分,出现肺部实变征象(即碎片征)记5分,然后计算总和,即为肺部超声B线积分(LUBS),并统计双侧肺超LUBS数值。见表 1。
| 项目 | 成功组(n=98) | 失败组(n=47) | 统计量 | P值 |
| 年龄(岁) | 71.2±9.2 | 73.5±7.9 | 2.068 | 0.331 |
| 呼吸机使用时间(h) | 63.3±20.0 | 74.1±19.3 | 1.989 | 0.052 |
| APACHEⅡ评分 | 24.2±2.4 | 25.4±2.4 | 2.079 | 0.145 |
| EF(%) | 51.9±4.4 | 49.7±3.6 | 2.068 | 0.041a |
| LAP(mmHg) | 11.3±2.8 | 47.2±1.8 | 2.273 | 0.044a |
| SBT30 min BNP(ng/ml) | 182.9±98.4 | 222.9±43.0 | 2.036 | 0.035a |
| 撤机前24 h液体平衡(ml) | 421.4±473.8 | 314.8±73.1 | 1.989 | 0.060 |
| B-线 | 9.18±2.7 | 13.2±2.1 | 6.429 | 0.001a |
| 膈肌动度(cm) | 1.955 | 1.513 | 6.175 | 0.001a |
| 疾病构成(例,%) | 0.861 | 0.835 | ||
| 肺部感染呼吸衰竭 | 30(31) | 15(33) | ||
| 心梗等心力衰竭 | 28(28) | 14(28) | ||
| 脓毒性休克 | 32(33) | 14(30) | ||
| 其他 | 8(8) | 4(9) | ||
| 注:计量资料采用t检验,计数资料采用检验,P < 0.05为有统计学差异 | ||||
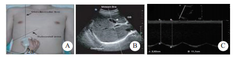
患者取仰卧位,暴露胸部及上腹部,在呼吸平稳后,利用超声凸阵探头(Sonosite M-Turbo 2~5 MHz),在双侧锁骨中线肋弓下,取样线尽可能与膈肌影像垂直,夹角最大不超过20°。应用M超模式记录膈肌与体表探头的距离。SBT 30 min后,测吸气相与呼气相的膈肌移动距离之差,分别测双侧膈肌移动度的数值,取平均值,称为膈肌移动度(即为DD),并记录,见图 1~2。
|
| A:图片表现为A线,记0分;B:图片表现为散在的B线,图中可见4条B线,每条B线计1分,共4分;C:图片表现弥漫性B线,最多可见7条B线,共计7分;D:图片出现实变征,共计5分 图 1 超声B线计分及常见超声图像模式 |
|
|
|
| A:膈肌检查部位于双侧锁骨中线肋弓下;B:获取的右侧膈肌超声图片(A、B图片来源:Ferrari G, De Filippi G, Elia F, Apra F, et al.Diaphragm ultrasound as a new index of discontinuation frommechanical ventilation. Crit Ultrasound J.2014 Jun 7;6(1):8)。C:表示M超模式下膈肌在吸气相与呼气相的运动幅度,虚线A代表呼气相膈肌距离探头的距离,虚线B代表吸气相膈肌距离探头的距离,线B的长度减去线A的即为膈肌移动度,即DD 图 2 膈肌超声检查及数据收集方法 |
|
|
患者取左侧卧位(如病情不允许可取仰卧位),选择心脏探头(Sonosite M-Turbo 1-5MHz),测量EF、LAP,并记录。
1.3 自主呼吸试验(SBT)实施步骤符合2008年中华医学会重症医学分会发布的《机械通气与脱机指南(摘要草案)》的标准,进入SBT流程。采用PSV模式进行SBT试验,调整呼吸机参数:PS 8 cmH2O(1 cmH2O=0.098 kPa)、PEEP 5 cmH2O、FiO2 0.4。SBT期间观察患者意识状态、呼吸情况、血流动力学状态、动脉氧分压及氧合指数,如果能持续30 min可以认为通过SBT。
1.4 统计学方法采用SPSS 19.0统计软件对所有数据进行处理和统计。采取均数I标准差(Mean±SD)对计量资料进行表示,两组之间连续变量的计量资料的比较采用独立样本t检验,计数资料采用率或构成比进行描述,组间的差异比较采用χ2检验。为计算LUBS及DD两者的诊断价值,以二者为自变量,撤机成功与否作为因变量,行Enter法Logistic回归分析,得到LUBS和DD联合评价的预测值(PRE)的回归方程:
本实验总有145例研究对象,包括男性患者85例,女性60例;年龄在46~90岁,年龄(71.6±8.9)岁。根据撤机结局,成功组98例,失败组47例,对患者的临床特征做单因素分析,提示两组在性别、年龄、呼吸机使用时间、APACHEⅡ评分、撤机前24 h液体平衡、疾病构成等差异无统计学意义,在LUBS、EF值、LAP、BNP等方面,两组差异有统计学意义,见表 1。
2.2 BNP及LAP对撤机的影响 2.2.1 BNP对撤机过程成功率的影响BNP检测结果提示撤机成功组在SBT 30 min后以及撤机后4 h的BNP水平均较失败组低(P < 0.01),且撤机过程失败组的BNP较成功组明显增加(P < 0.01)差异均有统计学意义。见图 3。
|
| 图 3 SBT 30 min BNP及撤机过程后4 h BNP(ng/ml)对比 |
|
|
两组研究对象LUBS与LAP呈正相关,随着LAP升高,肺部B线逐渐增多,提示心功能越差,撤机的成功率越低, 见图 4。
|
| 图 4 两组LUBS与LAP(mmHg)的相关性 |
|
|
Pearson相关分析显示:LUBS与SBT 30 min BNP以及LAP均有显著性相关(分别为r=0.411,P < 0.01;r=0.628, P < 0.01)。BNP以及LAP数值增加,均可使LUBS增加。见表 2。
| 指标 | 拔管后4 h BNP (ng/ml) | SBT 30 min BNP (ng/ml) | LAP (mmHg) | LUBS | |
| 拔管后4 h BNP (ng/ml) | Pearson相关性 | 1 | 0.975 | 0.300 | 0.457 |
| 显著性(双侧) | 0.000 | 0.004 | 0.000 | ||
| SBT 30 min BNP (ng/ml) | Pearson相关性 | 0.975 | 1 | 0.247 | 0.411 |
| 显著性(双侧) | 0.000 | 0.17 | 0.000 | ||
| LAP (mmHg) | Pearson相关性 | 0.300 | 0.247 | 1 | 0.628 |
| 显著性(双侧) | 0.004 | 0.17 | 0.000 | ||
| 双侧B线积分 | Pearson相关性 | 0.457 | 0.411 | 0.628 | 1 |
| 显著性(双侧) | 0.000 | 0.000 | 0.000 | ||
| 注:P < 0.05为有统计学差异 | |||||
以撤机成功与否作为因变量,以LUBS、DD、性别、年龄、APACHEⅡ评分为自变量,行Enter法二元Logistic回归分析,LUBS与DD与撤机成功独立相关(P=0.001,P=0.005)。
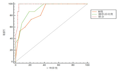
2.3 LUBS与DD、及其联合评价的ROC曲线分析以撤机成功率为因变量,以前文中提及的LUBS、DD及两者的联合评价为变量,通过绘制ROC曲线显示,联合评价的AUC面积为0.985,优于LUBS(AUC=0.862)、DD(AUC=0.91),P=0.019,见图 5,表 3~4。
|
| 图 5 LUBS、DD、及联合评价的ROC曲线 |
|
|
| 指标 | cut-off值 | 约登指数 | 敏感度95%CI | 特异度95%CI | AUC 95%CI | 阳性预测值95%CI | 阴性预测值95%CI | 阳性似然比95%CI | 阴性似然比95%CI |
| LUBS(分) | > 9 | 0.579 | 1.0(0.782~1.0) | 0.579(0.455~0.988) | 0.862(0.77~0.1458) | 0.341(0.205~0.499) | 1.0(0.912~1.0) | 2.38(1.8~3.1) | 0.0 |
| DD(mm) | < 17 | 0.678 | 0.866(0.59~0.98) | 0.811(0.98~0.59) | 0.91(0.82~0.96) | 0.50(0.299~0.70) | 0.966(0.88~0.99) | 4.60(2.7~7.8) | 0.16(0.04~0.6) |
| 联合评价 | > 0.18 | 0.956 | 1.0(0.782~1.0) | 0.956(0.87~0.99) | 0.985(0.93~0.99) | 0.833(0.58~0.96) | 1.0(0.94~1.0) | 47(7.6~98.6) | 0.0 |
| 注:LUBS为肺部超声B线积分,DD为膈肌移动度,联合评价为LUBS与DD联合评价评分,cut-off值为截断值,AUC为受试者工作特征曲线下面积,95%CI为95%可信区间 | |||||||||
| 指标 | AUC | 标准误 | 95%CI | Z值 | P值 |
| LUBS-DD | 0.047 | 0.0678 | -0.085~0.181 | 0.706 | 0.48 |
| LUBS-联合评价 | 0.122 | 0.0454 | 0.0332~0.211 | 2.6145 | 0.007 |
| DD-联合评价 | 0.074 | 0.0318 | 0.0122~0.137 | 2.343 | 0.019 |
ROC曲线的成对对比:①联合评价比LUBS预测撤机成功率敏感度及特异度更高(AUC 0.985比0.862,P < 0.05);②联合评价比DD预测撤机成功率敏感度及特异度更高(AUC 0.985比0.910,P < 0.05);③LUBS对比DD在预测撤机成功率敏感度及特异度差异无统计学意义(AUC 0.862比0.910,P > 0.05)。
3 讨论撤机前对心功能、肺部评估及膈肌功能评估非常重要,由于床旁超声因其便携、实时、无创的优点,越来越多应用于机械通气患者的心肺功能评估。肺部超声B线评分可用于提供肺通气方面的量化比较[4]。Soummer等[8]证实肺脏超声可以通过识别整体或局部肺复张,对预测撤机失败具有一定的准确性。根据超声评估结果,可以让临床医生更好选择SBT的时机,进而对肺通气模式进行调整及优化[9]。本研究结果,LUBS与SBT 30 min BNP以及LAP均有显著性相关(分别为r=0.411,P < 0.01;r=0.628, P < 0.01)。BNP以及LAP数值增加,均可使LUBS增加,验证了LUBS也可以反应心功能情况。撤机成功组较失败组有着更低的B线积分(9.18±2.7 vs 13.2±2.1),提示失败组有更为严重的肺泡间质综合征,包括更差的心功能或肺部炎性渗出;LUBS的截断值> 9分,敏感性100%,特异性57.9%,AUC=0.862,阳性预测值34.1%,阴性预测值100%;提示在LUBS < 9分的情况下,撤机过程成功率高。因此,肺脏超声有助于选择正确的SBT时机。有创机械通气期间,LUBS高的患者,提示目前还不适合准备撤机;而低的评分有助于缩短呼吸机应用时间和尽早撤机。在SBT后,通过实时床边监测肺部B线评分的改变,可以用来及时调整治疗策略,以决定是否可进一步撤除呼吸机。
膈肌是自主呼吸运动时重要的呼吸肌,可产生肺部总潮气量的75%~98%。长时间机械通气患者,常常出现呼吸肌萎缩。膈肌功能障碍患者在有创机械通气患者中发生率高,可导致机械通气时间延长以及撤机失败。床旁超声可用于测量膈肌的移动、增厚及收缩速度。在自主呼吸的患者,膈肌移动度(DD)是膈肌机械收缩的结果。在机械通气的患者,膈肌的移动范围与支持压力、呼气末正压水平相关。接受机械通气患者发生膈肌功能障碍,大部分是均匀的运动障碍[10]。目前并没有膈肌障碍统一的标准,有学者将DD截断值定义为≥11 mm [5];但Kim等[11]在82例患者的队列研究中发现,将DD值小于10 mm定义为膈肌功能障碍,撤机时间更长,有更高的再插管率。本研究的以撤机成功与否作为因变量,以LUBS、DD、性别、年龄、APACHEⅡ评分为自变量,行Enter法二元Logistic回归分析,提示了LUBS与DD与撤机成功独立相关(P=0.001,P=0.005),研究结果显示DD截断值为>17 mm时,预测撤机成功的敏感度86.6%,特异度81.1%,AUC=0.91,阳性预测值50%,阴性预测值96.6%,提示膈肌移动度越差代表膈肌障碍越严重,撤机的失败率越高。
根据传统SBT预测撤机成功率约为74.92%[12],单独应用肺部超声LUBS、膈肌移动度的指标对预测撤机成功与否亦有一定价值,但单一指标的敏感度、特异度、阳性预测值均不高;在某些特殊患者的撤机过程中存在一定局限性。比如膈肌麻痹患者,当肺部炎症控制、心功能改善的情况下,由于膈肌活动障碍,无法提供足够的潮气量,因此单一的LUBS评估并不能可靠的预测撤机的成功率。本研究将LUBS与DD同时纳入撤机前的评估,个体化的反应了患者的心肺功能、膈肌功能的状态。对145例机械通气24 h以上的危重患者进行研究,通过绘制ROC曲线显示,联合评价的AUC面积为0.985,优于LUBS(AUC=0.862)、DD(AUC=0.91),P=0.019;LUBS的截断值为<9分,DD的截断值为>17 mm,撤机成功敏感度100%,特异度95.6%,阳性预测值为0.833,阴性预测值为1.0,提示联合评价对预测撤机过程成功率具有更高的准确性。
值得一提的是, 本文中用于预测拔管成功时,想问的是“我的指标(LUBS、DD或联合评价)阳性了,患者会不会拔管失败呢?”,更进一步推广到临床语言则是“我拿到一个指标是阳性时,我有多大把握判断对象真的有病”?而回答这个问题的答案就是阳性预测值,同理也适用于阴性预测值。本研究发现三者的阳性预测值分别为0.341,0.50和0.833,阴性预测值分别为1.0、0.966和1.0,也就意味着这三者阴性时,都有大于95%的把握认为拔管不会失败,而阳性时,仅依靠LUBS或DD,笔者认定患者拔管将会失败的把握还不到一半,而通过二者的联合,把握性提高到了83.3%,这正是本研究提出联合应用二者的意义所在。当然,必须说明的是,预测值的高低与疾病的发病率密切相关,这是预测值的局限性所在。
| [1] | Ferrari G, de Filippi G, Elia F, et al. Diaphragm ultrasound as a new index of discontinuation from mechanical ventilation[J]. Crit Ultrasound J, 2014, 6(1): 8. DOI:10.1186/2036-7902-6-8 |
| [2] | Bouhemad B, Brisson H, Le-Guen M, et al. Bedside ultrasound assessment of positive end-expiratory pressure-induced lung recruitment[J]. Am J Respir Crit Care Med, 2011, 183(3): 341-347. DOI:10.1164/rccm.201003-0369oc |
| [3] | Matamis D, Soilemezi E, Tsagourias M, et al. Sonographic evaluation of the diaphragm in critically ill patients. Technique and clinical applications[J]. Intensive Care Med, 2013, 39(5): 801-810. DOI:10.1007/s00134-013-2823-1 |
| [4] | Bouhemad B, Liu ZH, Arbelot C, et al. Ultrasound assessment of antibiotic-induced pulmonary reaeration in ventilator-associated pneumonia[J]. Crit Care Med, 2010, 38(1): 84-92. DOI:10.1097/ccm.0b013e3181b08cdb |
| [5] | Jiang JR, Tsai TH, Jerng JS, et al. Ultrasonographic evaluation of liver/spleen movements and extubation outcome[J]. Chest, 2004, 126(1): 179-185. DOI:10.1016/s0012-3692(15)32912-3 |
| [6] | Spadaro S, Grasso S, Mauri T, et al. Can diaphragmatic ultrasonography performed during the T-tube trial predict weaning failure? The role of diaphragmatic rapid shallow breathing index[J]. Crit Care, 2016, 20: 305. DOI:10.1186/s13054-016-1479-y |
| [7] | 王小亭, 刘大为, 于凯江, 等. 中国重症超声专家共识[J]. 中华内科杂志, 2016, 55(11): 905-907. |
| [8] | Soummer A, Perbet S, Brisson H, et al. Ultrasound assessment of lung aeration loss during a successful weaning trial predicts postextubation distress[J]. Crit Care Med, 2012, 40(7): 2064-2072. DOI:10.1097/ccm.0b013e31824e68ae |
| [9] | Via G, Storti E, Gulati G, et al. Lung ultrasound in the ICU:from diagnostic instrument to respiratory monitoring tool[J]. Minerva Anestesiol, 2012, 78(11): 1282-1296. |
| [10] | Demoule A, Jung B, Prodanovic H, et al. Diaphragm dysfunction on admission to the intensive care unit. prevalence, risk factors, and prognostic impact:a prospective study[J]. Am J Respir Crit Care Med, 2013, 188(2): 213-219. DOI:10.1164/rccm.201209-1668oc |
| [11] | Kim WY, Suh HJ, Hong S, et al. Diaphragm dysfunction assessed by ultrasonography:influence on weaning from mechanical ventilation[J]. Crit Care Med, 2011, 39(12): 2627-2630. DOI:10.1097/ccm.0b013e3182266408 |
| [12] | 徐磊, 展春, 张纳新, 等. 自主呼吸试验在机械通气撤机过程中的应用[J]. 中国危重病急救医学, 2002, 14(3): 144-146. DOI:10.3760/j.issn:1003-0603.2002.03.005 |
| [13] | Spadaro S, Grasso S, Mauri T, et al. Can diaphragmatic ultrasonography performed during the T-tube trial predict weaning failure? The role of diaphragmatic rapid shallow breathing index[J]. Crit Care, 2016, 20: 305. DOI:10.1186/s13054-016-1479-y |
2019, Vol. 29



