2 中南大学生命科学学院,长沙 410013
机械通气(mechanical ventilation, MV)是重症监护室(intensive care unit, ICU)急性呼吸衰竭患者最重要的生命支持手段之一[1],当患者原发疾病得到有效控制且自主呼吸功能恢复时,临床医师可以开始启动呼吸机的撤离。Esteban等[2]在一项28 d的国际性研究中发现,大约20% ~ 30%的机械通气患者出现呼吸机依赖,导致撤机困难或延迟。长时间的呼吸支持并不能使患者受益,反而会引起更多的呼吸机相关性并发症,如呼吸机相关性肺炎(ventilator-associated pneumonia, VAP)、呼吸机相关性肺损伤(ventilator-associated lung injury, VALI)及膈肌功能障碍(ventilator-induced diaphragmatic dysfunction, VIDD)[3-5]。这些并发症又可以影响循环及呼吸功能,进而加重呼吸衰竭,导致撤机更加困难。
呼吸机撤机困难是由于呼吸肌收缩产生的张力与呼吸负荷(增加的阻力和降低的顺应性)之间的不匹配[6-7],而膈肌是最重要的呼吸肌,其收缩做功约占整个呼吸肌做功的60% ~ 80%[8],因而膈肌功能障碍是影响呼吸机撤离最重要的原因。Powers和Sassoon等[9-10]在动物试验中发现机械通气可导致膈肌收缩力下降20% ~ 30%,Grosu等[11]在临床研究中发现机械通气患者膈肌厚度平均每天下降6%,证实机械通气可导致膈肌厚度变薄。目前临床上最常用的撤机指标是浅快呼吸指数(rapid shallow breathing index, RSBI),最早由Yang提出,反映了呼吸肌耐受负荷的能力与呼吸负荷之间的平衡[12],也是最佳预测指标之一。Spadaro认为当患者膈肌收缩能力出现障碍时,辅助呼吸肌的参与可使潮气量维持正常[13]。但是辅助呼吸肌的耐力远远不及膈肌,因而利用RSBI评估撤机能力仍不准确,因而需要更准确的指标指导呼吸机的撤离。
由于超声具有无创、实时、可重复性及准确等特点,有研究者使用超声评估膈肌厚度和膈肌移动度来评估膈肌功能,其诊断的敏感度及特异度高于RSBI[14-15]。本研究正是通过超声测量膈肌厚度和膈肌移动的变化,计算膈肌增厚率(diaphragm thickening fraction, DTF)和膈肌移动度(diaphragm excursion, DE),评价其在机械通气患者撤机的预测价值,并与RSBI比较,从而找出更准确的评估指标。
1 资料与方法 1.1 一般资料本实验采取前瞻性临床观察研究方法,选取2018年6月到2018年12月在中南大学湘雅三医院危急重症医学中心行机械通气治疗的50例患者(其中男性32例,女性18例),所有的患者均需满足下述纳入标准且不符合排除标准的任意一条。本实验已通过医院伦理委员会审批,且均与所有研究对象直系亲属签订知情同意书。
1.2 纳入标准与排除标准 1.2.1 纳入标准所有的研究对象接受机械通气治疗,持续时间超过48 h,且满足自主呼吸实验(spontaneous breathing trial, SBT)要求。所有研究对象均需满足以下条件:①引起机械通气的原发病因得到有效的缓解或祛除;②咳嗽反射良好,气道分泌物较少;③氧合指标明显改善:pH ≥ 7.25,FiO2 ≤ 40%,PaO2/FiO2 ≥ 250 mmHg,PEEP ≤ 5 ~ 8 cmH2O;④血流动力学稳定,未使用或使用极少量血管活性药物;⑤肺功能良好:呼吸频率低于30次/min,潮气量大于5 mL/kg;⑥神志清楚,未使用镇静药物;⑦既往无膈肌功能障碍、重症肌无力病史。
1.2.2 排除标准① 年龄<18周岁;②孕产妇;③胸腹部手术无法满意暴露双侧胸部检查区域;④腹腔高压综合征;⑤既往有神经肌肉病变、重症肌无力等病史。
1.3 研究方法当满足上述纳入和排除标准的患者呼吸衰竭的原发疾病得到有效缓解或祛除时,临床医师和呼吸治疗师根据患者氧合、循环及呼吸等情况进行撤机筛查实验,满足撤机条件的患者通过T管法或低水平自主呼吸模式开始行3 min SBT。在SBT实验30 min时,临床医师使用床旁超声测量患者的膈肌厚度和膈肌移动的变化,计算DE和DTF,同时床旁护士记录患者血压、呼吸频率、潮气量、急性生理与慢性健康评分Ⅱ(acute physiology and chronic health evaluation Ⅱ, APACHE Ⅱ)、动脉血气结果及生化指标等一般情况信息。
1.3.1 超声评估膈肌厚度患者床头抬高30 ~ 45°,在SBT试验30 min时,采用6 ~ 13 MHz线阵探头,测量右侧膈肌厚度时可选取腋前线第7/8或8/9肋间,探头沿肋间隙放置,测量左侧膈肌厚度时可选取腋中线第7/8肋间,探头朝向患者头部。先在2D模式下找到需要测量的膈肌,然后选择M超模式,将采样线垂直于膈肌后,冻结3个呼吸周期的膈肌厚度并取平均值,测量并计算膈肌增厚率,计算公式为(吸气末膈肌厚度-呼气末膈肌厚度)/呼气末膈肌厚度×100%。
1.3.2 超声评估膈肌移动度在上述相同条件下,在SBT实验30 min时,使用3 ~ 5 MHz突阵探头,探头置于腋前线或锁骨中线与肋缘交界处,探头标志朝向外下方。先用2D模式找到需要测量的膈肌,再选择M超模式,取样线垂直于膈肌后冻结图像,测量3个呼吸周期的膈肌移动度并取平均值。
1.4 撤机成功与失败标准撤机成功标准:①通过SBT实验;②撤机48 h内未再插管或未行无创辅助通气治疗;③拔管后48 h内存活。撤机失败标准:① 3 min SBT实验及SBT实验失败;②撤机48 h内再插管或行无创辅助通气治疗;③拔管后48 h内患者家属放弃出院或患者死亡。SBT试验失败标准:① RSBI ﹥ 105次/(min·L);②呼吸频率﹥ 35次/min或 < 8次/min;③心率﹥ 140次/min或变化﹥ 20%,出现新发的心律失常;④收缩压﹥ 180 mmHg或﹤ 90 mmHg,或血压变化值﹥ 20%;⑤患者出现神志改变、躁动及呼吸费力等主观表现。
1.5 统计方法本实验所有数据均使用SPSS 22.0统计软件进行分析。符合正态分布或近似正态分布的计量资料以均数±标准差(Mean±SD)表示,经方差齐性检验后采用独立样本t检验将撤机成功组和撤机失败组进行比较;不满足正态分布的计量资料以四分位间距[M(P25,P75)]表示,两组间比较采用Wilcox秩和检验。计数资料以频数(百分比)(n, %)表示,采用χ2检验进行两组间比较。使用受试者工作(receiver operator characteristic,ROC)曲线分析各项指标的曲线下面积(area under the curve,AUC),以AUC ﹥ 0.5确定预测价值,计算约登指数并寻找最佳临界值、敏感度、特异度、阳性预测值和阴性预测值。以P <0.05为差异有统计学意义。
2 结果 2.1 一般资料本实验共纳入中南大学湘雅三医院危急重症医学中心行机械通气治疗的患者50例,撤机成功组36例(72.0%),撤机失败组14例(28.0%)。在所有的撤机失败的患者中,未通过SBT者3例(6.0%),48 h内再插管或再次上机者7例(14%),拔管后需要无创呼吸机支持者2例(4.0%),放弃治疗或死亡者2例(4.0%)。撤机成功组和撤机失败组两组研究对象的性别、年龄、BMI、动脉血气参数(如pH、pO2、pCO2、K+等)、白蛋白和平均动脉压差异无统计学意义(P>0.05),而APACHE Ⅱ评分、心率、呼吸频率和潮气量差异有统计学意义(P < 0.05)。撤机成功组机械通气时间、住ICU时间和住院时间明显少于撤机失败组,前两者差异有统计学意义(P < 0.05),住院时间差异无统计学意义(P>0.05)。两组患者的一般情况和生理学参数见表 1。
| 项目 | 撤机成功组(n=36) | 撤机失败组(n=14) | 检验统计量 | P值 |
| 性别(男/女) | 24/12 | 8/6 | 0.397 | 0.529 |
| 年龄(岁) | 56.42±16.26 | 65.64±15.77 | 1.816 | 0.076 |
| BMI(kg/m2) | 24.15±3.81 | 23.45±4.44 | 0.559 | 0.579 |
| APACHE Ⅱ评分 | 19.47±7.82 | 24.64±7.46 | 2.124 | 0.039 |
| pH | 7.42±0.05 | 7.40±0.04 | 7.40±0.04 | 0.27 |
| pO2(mmHg) | 111.11±22.43 | 118.66±25.60 | 1.028 | 0.309 |
| pCO2(mmHg) | 40.83±6.73 | 38.67±7.61 | 0.091 | 0.332 |
| OI(mmHg) | 325.89±73.68 | 337.29±70.25 | 0.497 | 0.621 |
| HB(g/L) | 86.00(76.25,104.50) | 86.50(74.75,101.00) | 0.151 | 0.880 |
| ALB(g/L) | 31.02±4.64 | 90.43±17.43 | 0.992 | 0.361 |
| K+(mmol/L) | 3.67±0.48 | 3.76±0.31 | 0.606 | 0.547 |
| 呼吸频率(次/ min) | 17.31±4.45 | 27.43±3.65 | 7.562 | < 0.001 |
| VT(mL) | 464.00(392.50,531.00) | 365.50(329.50,419.00) | 3.339 | 0.001 |
| MAP(mmHg) | 92.92±16.61 | 94.36±21.23 | 0.254 | 0.800 |
| 通气时间(h) | 56.00(48.00,109.00 | 159.00(112.75,256.95) | 3.779 | < 0.001 |
| 住ICU时间(h) | 133.75(93.75,253.50) | 360.25(167.00,687.25) | 3.090 | 0.002 |
| 住院时间(h) | 297.50(237.13,516.33) | 407.75(233.75,1076.63) | 1.242 | 0.214 |
| 注:BMI(身体质量指数);APACHE Ⅱ评分(急性生理学与慢性健康状况评分Ⅱ;OI(氧合指数;HB(血红蛋白);ALB(白蛋白;VT(潮气量;MAP(平均动脉压) | ||||
两组研究对象膈肌功能指标比较,撤机成功组浅快呼吸指数(40.49±19.21)次/(min·L)明显低于撤机失败组(76.14±24.63)次/(min·L),撤机成功组吸气末膈肌厚度(0.26±0.02)cm、呼气末膈肌厚度(0.21±0.02)cm、膈肌增厚率(25.51±6.16)%和膈肌移动度(1.36±0.42)cm明显高于撤机失败组(0.22±0.03),(0.18±0.02)cm、(18.82±5.49)%、(0.98±0.11)cm,上述差异均有统计学意义(P < 0.05),两组患者RSBI和膈肌功能指标见表 2。
| 项目 | 撤机成功组(n=36) | 撤机失败组(n=14) | 检验统计量 | P值 |
| RSBI[次(/ min·L)] | 40.49±19.21 | 76.14±24.63 | 5.438 | 0.001 |
| DTei(cm) | 0.26±0.02 | 0.22±0.03 | 5.437 | < 0.001 |
| DTee(cm) | 0.21±0.02 | 0.18±0.02 | 3.973 | < 0.001 |
| DTF(%) | 25.51±6.16 | 18.82±5.49 | 3.549 | 0.001 |
| DE(cm) | 1.36±0.42 | 0.98±0.11 | 3.317 | 0.002 |
| 注:RSBI(浅快呼吸指数;DTei(吸气末膈肌厚度;DTee(呼气末膈肌厚度;DTF(膈肌增厚率);DE(膈肌移动度) | ||||
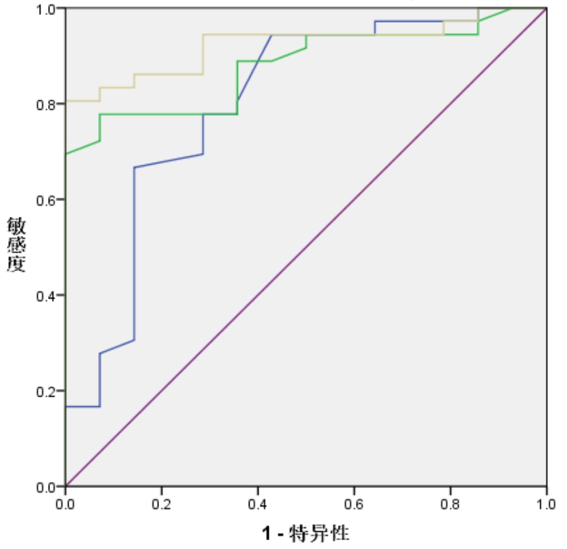
膈肌增厚率曲线下面积(AUC)为0.802(95%CI 0.65 ~ 0.95),最大约登指数为0.534,此时的临界值为22.45%,诊断的敏感度为66.7%,特异度为85.7%(图 1)。膈肌移动度曲线下面积(AUC)为0.880(95%CI 0.79 ~ 0.97),最大约登指数为0.706,此时的临界值为1.09 cm,诊断的敏感度为77.8%,特异度为92.9%(图 1)。浅快呼吸指数曲线下面积(AUC)为0.864(95%CI 0.73 ~ 0.99),诊断的敏感度和特异度分别为85.7%和86.1%(图 2)。联合膈肌增厚率和膈肌移动度两个指标的ROC曲线下面积(AUC)为0.925(0.85 ~ 0.99),诊断的敏感度和特异度为80.6%和100%(图 1)。见表 3。
|
| 图 1 膈肌增厚率(下)、膈肌移动度(中)及联合指标(上)的ROC曲线 |
|
|
|
| 图 2 RSBI的ROC曲线 |
|
|
| 参数 | AUC(95%CI) | 最佳临界值 | 敏感度(%) | 特异度(%) | 阳性预测值(%) | 阴性预测值(%) | P值 |
| DTF | 0.802(0.65~0.95) | 22.45% | 66.7 | 88.7 | 74.09 | 73.90 | < 0.001 |
| DE | 0.880(0.79~0.97) | 1.09 cm | 77.8 | 92.9 | 81.01 | 80.97 | < 0.001 |
| RSBI | 0.864(0.73~0.99) | -- | 85.7 | 86.1 | 84.75 | 84.73 | < 0.001 |
| 联合1 | 0.925(0.85~0.99) | -- | 80.6 | 100 | 100 | 75.93 | < 0.001 |
| 注:1:膈肌增厚率和膈肌移动度联合指标。DE(膈肌移动度);DTF(膈肌增厚率);RSBI(浅快呼吸指数) | |||||||
临床上大约40%的重症患者需要机械通气治疗[16-17],过早或延迟撤机都会增加患者的病死率及住院时间,加重患者及社会的经济负担。呼吸机的撤离一直是临床研究的重点和热点,应用最广泛的撤机指标是RSBI,它反映了呼吸肌负荷与耐受负荷能力之间的平衡[12],被认为是临床上指导撤机的最佳预测指标之一,阈值为105次/(min·L),低于该值时预测脱机的成功率较高。尽管RSBI诊断的敏感性较高,然而大量的临床研究发现预测撤机成功的特异性较差[18-19],可能原因是在自主呼吸实验时,当膈肌功能出现障碍无法满足潮气量要求时,机体可以动员辅助呼吸肌如肋间肌、胸锁乳突肌等收缩,使潮气量达到正常。但是辅助呼吸肌的耐力和收缩能力远不如膈肌,在撤机几小时后可能出现肌肉疲劳,从而引起潮气量下降无法满足机体需要,导致再次上机甚至再插管的可能。
随着床旁超声技术的发展,使用超声可以动态观察和精确测量膈肌移动和膈肌厚度的变化[20],并与传统的撤机指标RSBI比较三者预测撤机成功的指导价值。膈肌移动度是指膈肌吸气和呼气时发生的距离,可以反映膈肌的运动功能。Jiang等[21]首次利用M型超声测量DE来评估撤机成功率,发现其临界值为11 mm,敏感度和特异度均较高;Kim等[14]认为取膈肌移动度1 cm作为最佳临界值时,其预测撤机的成功率高于浅快呼吸指数指数。本研究使用ROC曲线和约登指数分析得出膈肌移动度的最佳临界值为1.09 cm,其敏感度和特异度分别为77.8%和92.9%。由于膈肌厚度存在个体差异性,且单侧膈肌萎缩的患者健侧膈肌可以代偿,因而膈肌增厚率较膈肌厚度更能反应膈肌的收缩能力。DiNino等[15]发现取膈肌增厚率30%作为最佳临界值时,其预测撤机的敏感度和特异度均较高。本研究分析得出膈肌增厚率的最佳临界值为22.45%,其敏感度和特异度分别为66.7%和88.7%。这个临界值低于之前文献报道的30%,这可能与膈肌增厚率较大的变异性有关,最近有文献报道约29%的正常人也可以出现膈肌增厚率低于10%的情况[22];也可能与部分患者在收集数据时未完全脱离呼吸机(采用PSV或CPAP模式)导致出现一定的实验误差有关。本研究分析RSBI预测撤机的敏感性和特异性分别为85.7%和86.1%,DTF和DE预测机械通气患者撤机的效能并不比RSBI更优异。联合DTF和DE两个指标,分析发现这两者联合指标的ROC曲线下面积为0.925(95%CI 0.85 ~ 0.99),预测撤机成功的敏感度和特异度为80.6%和100%,可以认为两个联合指标的预测效能更优异。
而且本研究撤机失败组的RSBI远远低于Tobin等[23]确定的预测撤机失败的最佳临界值105次/(min · L),国内部分学者的临床研究也出现同样的问题[24],可能与下列原因有关:一是长时间机械通气患者,本科呼吸治疗师和康复医师每日都会对这类患者进行呼吸肌锻炼,以减少呼吸机对膈肌的影响,从而导致撤机时潮气量能维持正常;二是呼吸治疗师对于拟撤机患者的时机把握可能与临床医师有一定的差异;三是可能与不同的研究中心纳入对象的人群不同有关[25]。
本研究发现撤机成功组的机械通气时间和住ICU明显低于撤机失败组,这和之前的文献研究一致,可能是呼吸机撤离后可以减少危重患者镇静镇痛和肌松药物的使用,能最大限度降低对膈肌收缩功能的影响;中心静脉置管和人工气道的拔除也可以减少ICU获得性感染的发生,从而减少血管活性药物的使用;康复治疗师尽早指导患者进行康复训练及下床活动能够加快患者肌肉收缩功能的恢复。本研究撤机成功组的住院时间长于撤机失败组,但差异无统计学意义,可能与部分撤机失败的患者家属放弃治疗有关,也可能与撤机成功失败患者多发伤或者外科术后在院治疗时间长有关。
然而本研究仍存在诸多不足,一是入选的研究对象较少可能令研究存在偏倚;二是未收集机械通气前研究对象的膈肌移动度和膈肌厚度的基础值,尚不能认为机械通气会导致膈肌萎缩和膈肌功能障碍,需要在后面的研究中进一步完善;三是超声在很大程度上与操作者的经验和选取的角度有关,同时对于如腹内压增高、肥胖和腹水等情况的患者,会影响膈肌显像,影响测量的结果。最近有学者发现膈肌浅快呼吸指数(呼吸频率与膈肌移动度的比值)指导撤机的预测效能更好,需要进一步研究证实。
利益冲突 所有作者均声明不存在利益冲突
| [1] | Wunsch H, Linde-Zwirble WT, Angus DC, et al. The epidemiology of mechanical ventilation use in the United States[J]. Crit Care Med, 2010, 38(10): 1947-1953. DOI:10.1097/ccm.0b013e3181ef4460 |
| [2] | Esteban A, Anzueto A, Frutos F, et al. Characteristics and outcomes in adult patients receiving mechanical ventilation: a 28- day international study[J]. JAMA, 2002, 287(3): 345-355. DOI:10.1001/jama.287.3.345 |
| [3] | Dreyfuss D, Saumon G. Ventilator-induced lung injury[J]. Am J Respir Crit Care Med, 1998, 157(1): 294-323. DOI:10.1164/ajrccm.157.1.9604014 |
| [4] | Vassilakopoulos T, Petrof BJ. Ventilator-induced diaphragmatic dysfunction[J]. Am J Respir Crit Care Med, 2004, 169(3): 336-341. DOI:10.1164/rccm.200304-489cp |
| [5] | Demoule A, Jung B, Prodanovic H, et al. Diaphragm dysfunction on admission to the intensive care unit.Prevalence, risk factors, and prognostic impact: a prospective study[J]. Am J Respir Crit Care Med, 2013, 188(2): 213-219. DOI:10.1164/rccm.201209-1668oc |
| [6] | Tobin MJ. Narrative review: ventilator-induced respiratory muscle weakness[J]. Ann Intern Med, 2010, 153(4): 240. DOI:10.7326/0003-4819-153-4-201008170-00006 |
| [7] | Haitsma JJ. Diaphragmatic dysfunction in mechanical ventilation[J]. Curr Opin Anaesthesiol, 2011, 24(2): 214-218. DOI:10.1097/aco.0b013e3283440185 |
| [8] | Ratnovsky A, Elad D. Anatomical model of the human trunk for analysis of respiratory muscles mechanics[J]. Respir Physiol Neurobiol, 2005, 148(3): 245-262. DOI:10.1016/j.resp.2004.12.016 |
| [9] | Powers SK, Shanely RA, Coombes JS, et al. Mechanical ventilation results in progressive contractile dysfunction in the diaphragm[J]. J Appl Physiol, 2002, 92(5): 1851-1858. DOI:10.1152/japplphysiol.00881.2001 |
| [10] | Sassoon CSH, Caiozzo VJ, Manka A, et al. Altered diaphragm contractile properties with controlled mechanical ventilation[J]. J Appl Physiol, 2002, 92(6): 2585-2595. DOI:10.1152/japplphysiol.01213.2001 |
| [11] | Grosu HB, Lee YI, Lee J, et al. Diaphragm muscle thinning in patients who are mechanically ventilated[J]. Chest, 2012, 142(6): 1455-1460. DOI:10.1378/chest.11-1638 |
| [12] | Yang KL, Tobin MJ. A prospective study of indexes predicting the outcome of trials of weaning from mechanical ventilation[J]. N Engl J Med, 1991, 324(21): 1445-1450. DOI:10.1056/nejm199105233242101 |
| [13] | Spadaro S, Grasso S, Mauri T, et al. Can diaphragmatic ultrasonography performed during the T-tube trial predict weaning failure? The role of diaphragmatic rapid shallow breathing index[J]. Crit Care, 2016, 20: 305. DOI:10.1186/s13054-016-1479-y |
| [14] | Kim WY, Suh HJ, Hong SB, et al. Diaphragm dysfunction assessed by ultrasonography: Influence on weaning from mechanical ventilation[J]. Crit Care Med, 2011, 39(12): 2627-2630. DOI:10.1097/ccm.0b013e3182266408 |
| [15] | DiNino E, Gartman EJ, Sethi JM, et al. Diaphragm ultrasound as a predictor of successful extubation from mechanical ventilation[J]. Thorax, 2014, 69(5): 431-435. DOI:10.1136/thoraxjnl-2013-204111 |
| [16] | Wunsch H, Linde-Zwirble WT, Angus DC, et al. The epidemiology of mechanical ventilation use in the United States[J]. Crit Care Med, 2010, 38(10): 1947-1953. DOI:10.1097/ccm.0b013e3181ef4460 |
| [17] | Peñuelas O, Frutos-Vivar F, Fernández C, et al. Characteristics and outcomes of ventilated patients according to time to liberation from mechanical ventilation[J]. Am J Respir Crit Care Med, 2011, 184(4): 430-437. DOI:10.1164/rccm.201011-1887oc |
| [18] | Huang CT, Yu CJ. Conventional weaning parameters do not predict extubation outcome in intubated subjects requiring prolonged mechanical ventilation[J]. Respir Care, 2013, 58(8): 1307-1314. DOI:10.4187/respcare.01773 |
| [19] | Savi A, Teixeira C, Silva JM, et al. Weaning predictors do not predict extubation failure in simple-to-wean patients[J]. J Crit Care, 2012, 27(2): 221. DOI:10.1016/j.jcrc.2011.07.079 |
| [20] | Goligher EC, Laghi F, Detsky ME, et al. Measuring diaphragm thickness with ultrasound in mechanically ventilated patients: feasibility, reproducibility and validity[J]. Intensive Care Med, 2015, 41(4): 642-649. DOI:10.1007/s00134-015-3687-3 |
| [21] | Jiang JR, Tsai TH, Jerng JS, et al. Ultrasonographic evaluation of liver/spleen movements and extubation outcome[J]. Chest, 2004, 126(1): 179-185. DOI:10.1016/s0012-3692(15)32912-3 |
| [22] | Harper CJ, Shahgholi L, Cieslak K, et al. Variability in diaphragm motion during normal breathing, assessed with B-mode ultrasound[J]. J Orthop Sports Phys Ther, 2013, 43(12): 927-931. DOI:10.2519/jospt.2013.4931 |
| [23] | Tobin MJ, Guenther SM, Perez W, et al. Konno-mead analysis of ribcage-abdominal motion during successful and unsuccessful trials of weaning from mechanical Ventilation1–3[J]. Am Rev Respir Dis, 1987, 135(6): 1320-1328. DOI:10.1164/arrd.1987.135.6.1320 |
| [24] | 王志力, 李建国, 邓彬, 等. 评价膈肌浅快呼吸指数和膈肌增厚分数在机械通气撤机中的诊断价值[J]. 中国急救医学, 2018, 38(5): 385-389. DOI:10.3969/j.issn.1002-1949.2018.05.003 |
| [25] | Alvisi R, Volta CA, Righini ER, et al. Predictors of weaning outcome in chronic obstructive pulmonary disease patients[J]. Eur Respir J, 2000, 15(4): 656-662. DOI:10.1034/j.1399-3003.2000.15d06.x |
| [26] | Zambon M, Greco M, Bocchino S, et al. Assessment of diaphragmatic dysfunction in the critically ill patient with ultrasound: a systematic review[J]. Intensive Care Med, 2017, 43(1): 29-38. DOI:10.1007/s00134-016-4524-z |
2020, Vol. 29



