羟考酮(oxycodone)是一种μ和κ双重受体激动的阿片类药物,是阿片受体的纯激动剂[1]。由于羟考酮药理作用和作用持续时间类似吗啡,但具有比吗啡起效快、生物利用度高、不良反应小等特点,近年来其临床应用愈发广泛[2-4]。研究发现阿片类药物如吗啡、舒芬太尼和雷米芬太尼等预先给药具有脑保护作用[5-6]。但有关羟考酮预先给药是否具有脑保护作用尚不清楚,本实验旨在探讨盐酸羟考酮对大鼠局灶性脑缺血-再灌注损伤是否具有保护作用。
1 材料与方法 1.1 实验动物与分组分组SPF级健康雄性SD大鼠72只,体质量200~250 g,由斯贝福(北京)生物技术有限公司提供,动物检疫合格证号:SYXK(鄂)2015-0025。本研究经武汉大学中南医院实验动物福利伦理审查委员会审查通过。SD大鼠随机(随机数字法)分为3组(每组24只):假手术组(Sham组)、局灶性脑缺血-再灌注组(I/R组)和盐酸羟考酮预处理组(Oxy组)。采用改良线栓法制备大鼠局灶性脑缺血-再灌注损伤模型。Oxy组于脑缺血前5 min,经尾静脉注射盐酸羟考酮(批号:BW266,萌蒂制药有限公司;中国)0.5 mg/kg,Sham组和I/R组则给予等量生理盐水1 mL。
1.2 大鼠局灶性脑缺血-再灌注模型的制备大鼠术前禁食12 h,自由饮水,腹腔注射10%水合氯醛350 mg/kg诱导麻醉,保留自主呼吸。采用改良Longa线栓法制备大鼠右侧大脑中动脉局灶性脑缺血-再灌注模型[7]。大鼠麻醉后,仰卧位固定,取颈正中切口,暴露右侧颈总动脉、颈外动脉及颈内动脉,结扎并游离颈外动脉主干,在游离段上剪一小口,将末端烧成圆头4-0尼龙线置入颈外动脉,经颈总动脉分叉入颈内动脉,深度由颈总动脉分叉处起约18~20 mm,直到有轻微阻力感为止。缺血2 h,将线栓退出恢复再灌注。术中用烤灯维持肛温36.5~37.5 ℃。
1.3 神经功能缺陷评分(NDS)的确定再灌注24 h时,采用Longa标准[7],由专业实验人员盲法评估大鼠NDS。(Longa标准无神经功能缺陷征象:0分;提尾不能完全伸展左侧前肢:1分;爬行向左侧转圈:2分;爬行困难,向左侧倾倒:3分;不能爬行:4分)。
1.4 脑含水量的测定大鼠深麻醉后,快速断头取脑,取缺血侧脑组织,滤纸吸去脑表面水分,分别称湿质量后,置于110℃烤箱中烘烤24 h至恒重,取出后立即称干质量。计算脑含水量=(湿质量-干质量)/湿质量×100%。
1.5 脑梗死体积的测定大鼠深麻醉后,断头取脑,置于-20 ℃冰箱10 min,沿冠状面均匀切成2 mm厚的脑片,迅速放入2% TTC溶液(37 ℃),染色20 min,4%多聚甲醛固定,24 h后用数码相机(SONY,DSC-H300,日本)拍照,输入计算机,用图像处理软件(NIH Image, 1.42, 美国)计算脑梗死体积百分比(红色区为正常脑组织,白色区为梗死区),为了消除脑水肿带来的影响,用梗死灶占对侧脑半球体积的百分比表示。
1.6 脑组织病理观察再灌注24 h后,经生理盐水及4%多聚甲醛行心脏灌流固定后将大鼠开颅取脑,取视交叉平面向后4 mm厚的冠状切片,常规梯度脱水,石蜡包埋,切片,行HE染色。400倍光镜下观察缺血侧脑皮质病理学变化。
1.7 缺血侧脑皮质炎症因子水平及MPO活性大鼠深麻醉后,断头取脑,快速取出缺血侧脑皮质,精确称重,预冷生理盐水制备20%脑组织匀浆,置于1.5 mL离心管中,4 ℃下3 000 r/min离心15 min,取上清液储存在-70 ℃冰箱待测。严格按照ELISA试剂盒(TNF-α、IL-1β和IL-10,武汉博士德生物工程有限公司,中国)及MPO试剂盒(武汉博士德生物工程有限公司,中国)说明书操作,测定脑组织中TNF-α、IL-1β和IL-10的含量及MPO活性。
1.8 Western blot检测NF-κB的表达取缺血侧脑皮质,常规匀浆、裂解,提取组织蛋白,测定浓度后,SDS-PAGE凝胶电泳,然后转模,封闭,室温下震荡2~3 h,加入兔抗鼠一抗孵育过夜,PBS洗膜,加入二抗,室温孵育2 h,PBS洗膜,DBA显色。图像分析仪测定各条带的灰度值。以目的蛋白与内参蛋白条带灰度值的比值反映NF-κB的表达水平。
1.9 统计学方法采用SPSS 20.0软件进行分析。正态分布的计量资料以均数±标准差(Mean±SD)表示,多组间比较采用单因素方差分析,组间两两比较采用LSD-t检验。以P < 0.05为差异有统计学意义。
2 结果 2.1 神经功能缺陷评分与脑含水量比较NDS评分三组之间比较差异有统计学意义(F=62.22,P < 0.01)。与Sham组比较,I/R组和Oxy组NDS评分升高(均P < 0.01);与I/R组NDS评分(2.6±1.1)比较,Oxy组NDS评分(1.7±0.9)显著降低(t=3.286,P=0.002)。
脑含水量三组之间差异有统计学意义(F=13.10,P=0.000 5)。与Sham组(76.0±1.7)%比较,I/R组(84.7±4.2)%和Oxy组(79.2±2.4)%脑含水量升高(均P < 0.05);与I/R组(84.7±4.2)%比较,Oxy组(79.2±2.4)%脑含水量显著降低(t=2.771,P= 0.019 7)。
2.2 脑梗死体积TTC染色结果显示,Sham组大鼠脑组织未见明显梗死区,I/R组和Oxy组可见明显的白色梗死区。脑梗死体积百分比与I/R组(34.8±6.0)%比较,Oxy组(23.0±5.4)%明显降低(t=3.574,P=0.005 1),见图 1。
|
| 与Sham组比较,aP < 0.05;与I/R组比较,bP < 0.05 图 1 TTC染色结果(A)及脑梗死体积百分比(B) Fig 1 Results of TTC staining and percentage of cerebral infarction volume |
|
|
Sham组脑皮质神经细胞形态正常,结构完整。I/R组细胞排列杂乱,水肿明显,可见大量神经细胞坏死,表现细胞变形,核仁消失,病变严重处可见坏死物脱失,残留疏松网状结构,细胞坏死明显。Oxy组与I/R组比较,神经细胞坏死、核固缩、核溶解程度显著减轻,存活神经细胞数明显增多,水肿减轻,细胞坏死率明显降低[(25.2±12.4)% vs(54.8±14.8)%,t=3.766,P=0.003 7),见图 2。
|
| A:Sham组;B:I/R组;C:Oxy组;D:各组细胞坏死率比较;与Sham组比较,aP < 0.05;与I/R组比较,bP < 0.05 图 2 大鼠脑组织病理学改变(HE, ×400) Fig 2 Pathological changes in rat brain tissue(HE, ×400) |
|
|
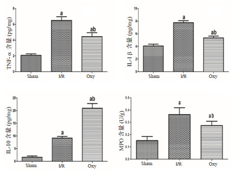
与Sham组相比,I/R组和Oxy组脑组织中炎症因子(TNF-α、IL-1β和IL-10)水平和MPO活性增加(均P < 0.05)。Oxy组与I/R组比较,脑组织TNF-α、IL-1β和MPO活性水平明显降低[(4.4±1.2)pg/mg vs(6.5±1.2)pg/mg;(5.4±0.7)pg/mg vs(7.8±0.8)pg/mg;(0.27±0.09)U/g vs(0.36±0.14)U/g,均P < 0.05],而抗炎因子IL-10升高[(20.9±4.5)pg/mg vs(9.2±1.6)pg/mg,t=6.036,P=0.000 1],见图 3。
|
| 与Sham组比较, aP < 0.05;与I/R组比较, bP < 0.05 图 3 大鼠脑组织炎症因子及MPO活性水平的变化 Fig 3 Changes of inflammatory factors and MPO activity level in rat brain tissue |
|
|
与Sham组相比,I/R组和Oxy组脑组织中NF-κB磷酸化水平显著增高(均P < 0.01);Oxy处理后NF-κB磷酸化水平较I/R组降低[(0.83±0.11)vs(1.23±0.33),t=2.814,P= 0.018 3],见图 4。
|
| 与Sham组比较,aP < 0.05;与I/R组比较,bP < 0.05 图 4 大鼠脑组织NF-κB磷酸化水平的变化 Fig 4 Changes in NF-κB phosphorylation level in rat brain tissue |
|
|
本研究采用大鼠局灶性脑缺血-再灌注模型来研究盐酸羟考酮对脑缺血损伤的作用。结果显示再灌注24 h,大鼠神经功能出现明显缺损;脑含水量显著增加,脑组织水肿明显;TTC染色显示脑组织出现明显的梗死灶;HE染色示皮质区细胞排列紊乱,大量神经细胞死亡,损伤严重,这些均证实了大鼠局灶性脑缺血-再灌注模型制备成功。
盐酸羟考酮是从阿片生物碱蒂巴因植物衍生物制成的半合成阿片类药物,可激动μ和κ阿片受体,是阿片受体的纯激动剂[1]。综合参考相关文献、本课题组在局灶性脑缺血-再灌注模型方面的前期研究及本次预实验结果[8-13],选择静脉预先给药剂量为0.5 mg/kg,给药时机为缺血前5 min。
脑缺血-再灌注损伤与很多因素相关,其中免疫炎症反应在脑缺血-再灌注损伤的病理过程中发挥着非常重要的作用,抑制炎症反应可减轻脑损伤[14-16]。本研究结果显示,盐酸羟考酮预先给药可改善大鼠的神经功能,明显降低脑含水量和脑梗死体积百分比,明显减轻脑损伤病理变化;降低促炎因子TNF-α和IL-1β的水平及MPO的活性,升高抗炎因子IL-10的水平。表明盐酸羟考酮可抑制局灶性脑缺血-再灌注大鼠脑组织炎症反应,减轻脑损伤。
NF-κB在中枢神经系统中广泛存在,胶质细胞、神经元和脑血管内皮细胞等均有表达,是目前发现的与炎症反应相关的重要转录因子之一,参与多种炎症细胞因子和促炎介质的调控[17-18]。在正常生理状态下,NF-κB与其抑制因子IκB相结合存在于细胞质中,不具有调节基因转录的功能;当细胞受到刺激后使IκB降解磷酸化,激活NF-κB进入细胞核,进而参与调节各种基因的转录。活化的NF-κB诱发大量促炎因子的合成和释放,产生炎症级联反应,参与脑损伤的病理生理过程[18-20]。促炎因子TNF-α和IL-1β基因表达主要由NF-κB调控[21]。国内外研究均表明抑制NF-κB的活性可减少脑缺血导致的脑损伤[17-22]。本研究显示I/R组脑组织NF-κB磷酸化水平明显增高,而Oxy组NF-κB磷酸化水平明显降低,提示Oxy减轻局灶性脑缺血-再灌注大鼠脑组织炎症反应的机制与抑制NF-κB活性相关。
综上所述,盐酸羟考酮预先给药可明显减轻大鼠局灶性脑缺血-再灌注导致的脑损伤, 其机制可能与抑制NF-κB活性,从而减轻炎症反应有关。
利益冲突 所有作者均声明不存在利益冲突
| [1] | 李心怡, 吴会生, 王成夭, 等. 羟考酮对大鼠内毒素性急性肺损伤的影响[J]. 中华麻醉学杂志, 2018, 38(3): 381-384. DOI:10.3760/cma.j.issn.0254-1416.2018.03.032 |
| [2] | 许艳, 单鹏, 周宁. 加巴喷丁、氨酚羟考酮联合马来酸氟吡汀在缓解老年带状疱疹患者后遗神经疼痛中的作用[J]. 中国老年学杂志, 2018, 38(23): 5766-5768. DOI:10.3969/j.issn.1005-9202.2018.23.053 |
| [3] | Tan HP, Conroy T. The effectiveness of intravenous oxycodone in the treatment of acute postoperative pain: a systematic review[J]. J Perianesthesia Nurs, 2018, 33(6): 865-879. DOI:10.1016/j.jopan.2017.05.010 |
| [4] | Kokki H, Kokki M, Sjövall S. Oxycodone for the treatment of postoperative pain[J]. Expert Opin Pharmacother, 2012, 13(7): 1045-1058. DOI:10.1517/14656566.2012.677823 |
| [5] | 王美芳, 孟尽海, 魏华. 舒芬太尼预处理对脑缺血再灌注损伤大鼠脑保护功能的影响[J]. 宁夏医科大学学报, 2011, 33(11): 1023-1025, 1032. DOI:10.16050/j.cnki.issn1674-6309.2011.11.044 |
| [6] | 苗晓茹, 熊利泽, 王强, 等. 雷米芬太尼预处理对大鼠局灶性脑缺血-再灌注损伤的保护作用[J]. 临床麻醉学杂志, 2006, 22(4): 277-279. DOI:10.3969/j.issn.1004-5805.2006.04.015 |
| [7] | Longa EZ, Weinstein PR, Carlson S, et al. Reversible middle cerebral artery occlusion without craniectomy in rats[J]. Stroke, 1989, 20(1): 84-91. DOI:10.1161/01.str.20.1.84 |
| [8] | Guo PP, Jin Z, Wu HS, et al. Effects of irisin on the dysfunction of blood-brain barrier in rats after focal cerebral ischemia/reperfusion[J]. Brain Behav, 2019, 9(10): e01425. DOI:10.1002/brb3.1425 |
| [9] | An XX, Li CX, Sahebally Z, et al. Pretreatment with oxycodone simultaneously reduces etomidate-induced myoclonus and rocuronium-induced withdrawal movements during rapid sequence induction[J]. Med Sci Monit, 2017, 23: 4989-4994. DOI:10.12659/msm.902652 |
| [10] | Wang W, Lv J, Wang Q, et al. Oxycodone for prevention of etomidate-induced myoclonus: a randomized double-blind controlled trial[J]. J Int Med Res, 2018, 46(5): 1839-1845. DOI:10.1177/0300060518761788 |
| [11] | Pergolizzi JVJr, Seow-Choen F, Wexner SD, et al. Perspectives on intravenous oxycodone for control of postoperative pain[J]. Pain Pract, 2016, 16(7): 924-934. DOI:10.1111/papr.12345 |
| [12] | 杨波, 张卫东, 夏彦民, 等. 盐酸羟考酮注射液对大鼠急性肺损伤的保护作用及机制分析[J]. 中华医学杂志, 2016, 96(31): 2498-2501. DOI:10.3760/cma.j.issn.0376-2491.2016.31.012 |
| [13] | 靖国庆, 范钧钊, 任瑶瑶, 等. 羟考酮预处理对大鼠肠缺血再灌注诱发肝损伤的影响及不同阿片受体在其中的作用[J]. 中华麻醉学杂志, 2015, 35(10): 1271-1273. DOI:10.3760/cma.j.issn.0254-1416.2015.10.027 |
| [14] | Zhu YY, Saito K, Murakami Y, et al. Early increase in mRNA levels of pro-inflammatory cytokines and their interactions in the mouse hippocampus after transient global ischemia[J]. Neurosci Lett, 2006, 393(2/3): 122-126. DOI:10.1016/j.neulet.2005.08.072 |
| [15] | Clark WM, Lutsep HL. Potential of anticytokine therapies in central nervous system ischaemia[J]. Expert Opin Biol Ther, 2001, 1(2): 227-237. DOI:10.1517/14712598.1.2.227 |
| [16] | Qin YY, Li M, Feng X, et al. Combined NADPH and the NOX inhibitor apocynin provides greater anti-inflammatory and neuroprotective effects in a mouse model of stroke[J]. Free Radic Biol Med, 2017, 104: 333-345. DOI:10.1016/j.freeradbiomed.2017.01.034 |
| [17] | Li XF, Su LK, Zhang XJ, et al. Ulinastatin downregulates TLR4 and NF-κB expression and protects mouse brains against ischemia/reperfusion injury[J]. Neurol Res, 2017, 39(4): 367-373. DOI:10.1080/01616412.2017.1286541 |
| [18] | Bai S, Hu ZY, Yang Y, et al. Anti-inflammatory and neuroprotective effects of triptolide via the NF-κB signaling pathway in a rat MCAO model[J]. Anat Rec, 2016, 299(2): 256-266. DOI:10.1002/ar.23293 |
| [19] | Zhang H, Sun XO, Xie YX, et al. Isosteviol sodium protects against permanent cerebral ischemia injury in mice via inhibition of NF-κB-mediated inflammatory and apoptotic responses[J]. J Stroke Cerebrovasc Dis, 2017, 26(11): 2603-2614. DOI:10.1016/j.jstrokecerebrovasdis.2017.06.023 |
| [20] | 葛赟, 黄曼, 颜成敏, 等. miR-34a调控Notch-1/NF-κB信号通路对脓毒症小鼠脑功能的保护作用[J]. 中华急诊医学杂志, 2017, 26(1): 76-81. DOI:10.3760/cma.j.issn.1671-0282.2017.01.015 |
| [21] | Li X, Huang LL, Liu G, et al. Ginkgo diterpene lactones inhibit cerebral ischemia/reperfusion induced inflammatory response in astrocytes via TLR4/NF-κB pathway in rats[J]. J Ethnopharmacol, 2020, 249: 112365. DOI:10.1016/j.jep.2019.112365 |
| [22] | Ali A, Shah FA, Zeb A, et al. NF-κB inhibitors attenuate MCAO induced neurodegeneration and oxidative stress: a reprofiling approach[J]. Front Mol Neurosci, 2020, 13: 33. DOI:10.3389/fnmol.2020.00033 |
2020, Vol. 29



