近年来,脓毒性休克的发病率逐年升高,病情发展迅速,病死率可达20%~80%,已成为重症监护病房死亡的最常见原因[1-2]。在对危重症患者的救治过程中,液体复苏成为救治的关键,通常因无法准确评估患者的心脏功能或个体对液体复苏治疗的反应差异,延误液体复苏时间或补液过量导致心脏负荷加重,因此,熟练掌握容量评估的手段对临床救治危重患者显得尤为重要。
目前血流动力学监测是临床容量评估中最常用的措施。评估患者容量反应性一般通过:⑴观察患者心率、尿量、意识状态、有无花斑等;⑵被动抬腿试验(passive leg raising,PLR)通过动员内脏循环中的非张力血液来模拟液体的快速输注,可动员约300 mL的血液,对心脏前负荷有显著影响[3];⑶容量负荷试验是一种评价容量反应性而非治疗的诊断方法,一般在30 min内输入晶体液500~1 000 mL或胶体液300~500 mL,即能判断出患者对容量及耐受性的反应能力。呼气末阻断试验(end-expiratory occlusion,EEO)与吸气末阻断试验(end-inspiratory occlusion,EIO)基于机械通气心肺交互作用的原理,可早期评估容量反应性。机械通气时超声监测下腔静脉直径的变化,计算呼吸变异指数(rspiratory variation index,RVI),达到早期评估容量反应性的作用。
本研究以脓毒性休克的患者为研究对象,用Vigileo监测EEO前后、EIO前后及容量负荷试验(volume expansion test,VE)前后各血流动力学指标的变化,为临床应用EEO、EIO联合超声评估容量反应性提供理论基础和临床依据。
1 资料与方法 1.1 研究对象采用前瞻性研究,纳入2016年10月至2018年2月就诊于新疆医科大学第一附属医院急诊重症监护室(EICU)脓毒性休克的患者共59例。本研究通过医院伦理委员会审批,编号:K202001-22。
1.2 纳入与排除标准 1.2.1 纳入标准⑴纳入患者符合2016脓毒症及脓毒性休克诊断标准3.0[1];⑵收缩压 < 90 mmHg(1 mmHg=0.133 kPa),或血压下降 > 40 mmHg;⑶2 h尿量 < 0.5 mL/(kg·h);心动过速(心率 > 100次/min);⑷不能自行清除上呼吸道分泌物、胃内反流物和出血,随时有误吸危险者;⑸下呼吸道分泌物过多或出血需要反复吸引者;⑹患者自主呼吸突然停止,紧急建立人工气道行机械通气者;⑺因诊断和治疗需要,在短时间内要反复行支气管镜者,为减少患者的痛苦和操作方便,事先行气管插管。
1.2.2 排除标准⑴自主呼吸功能过强不能完成制定的呼气末阻断或吸气末阻断过程(15 s);⑵氧合指数 < 100 mmHg;⑶有未控制的大出血;⑷有深静脉血栓形成或下肢静脉炎;⑸腹腔压力过高;⑹存在补液试验及股动脉置管禁忌证;⑺ARDS患者或机械通气需要高PEEP维持的患者。
患者纳入流程见图 1。
|
| 图 1 纳入流程图 Fig 1 The flow chart of the enrolled patients |
|
|
急诊重症监护室中确诊为脓毒性休克的患者,镇静后行气管插管接呼吸机辅助通气,序贯进行EEO、EIO及VE。
EEO评估容量反应性变化:⑴EEO前基线(基线1):受试者取半卧位,床头抬高约45°,床尾放平,平稳5 min,此时为基线1。⑵EEO的实施:按下呼吸机的“呼气保持”按钮,受试者呼气状态保持约15 s。
EIO评估容量反应性变化:(开始前暂停5 min,消除EEO效应),⑴EIO前基线(基线2):受试者取半卧位,床头抬高约45°,床尾放平,稳定5 min,此时为基线2。⑵EIO的实施:按下呼吸机的“吸气保持”按钮,受试者吸气状态保持约15 s。
VE的实施:⑴VE前基线(基线3):患者完成EIO休息5 min,此时为基线3。⑵VE的实施:通过使用加压输液袋,加压300 mmHg,在5~10 min内快速输入生理盐水250 mL。
1.4 血流动力学监测采用Vigileo-FloTrac系统监测血流动力学指标变化,经股动脉或桡动脉监测有创血压,Vigileo系统连接FloTrac换能器(Vigileo system,Edwards Lifesciences,美国),监测中心静脉压(central venous pressure,CVP)、平均动脉压(mean arterial pressure,MAP)、每搏变异度(stroke volume variation,SVV)及心脏指数(cardiac index,CI)等,所有结果在每个时间点连续记录3次并取平均数。容量负荷试验后心脏指数ΔCI≥15%为容量有反应组,ΔCI < 15%为容量无反应组[4]。
1.5 呼吸机参数设定呼吸机(Evita 4,Dräger Medical,Lübeck,Germany)辅助呼吸,容量控制通气VCV模式,吸氧体积分数100%,流量触发灵敏度为2 L/min,潮气量8 mL/kg,PEEP为5 cmH2O(1 cmH2O=0.098 kPa)。
1.6 超声检测超声选用Philips CX 50型超声机(Philips ultrasound system, Philips Healthcare,DA Best,荷兰)和3.5 MHz微凸阵列探头,患者取仰卧位,选取距肝静脉和下腔静脉汇合前2 cm处为下腔静脉管径测量点,M模式用于获取约15 s IVCD的变化(包含3个呼吸周期)。直径测量取自下腔静脉管壁的一侧内缘到另一侧内缘,测量3次取均数作为最终测量值,呼吸变异指数(RVI)=(IVCDmax-IVCDmin)/IVCDmax×100%。
1.7 质量控制Vigileo置管为同一名高年资主治医师完成,以保证操作手段、方式的一致性。下腔静脉直径超声检测人员为本院超声室可独立完成超声检测的医务人员。
1.8 统计学方法运用SPSS 21.0软件进行统计分析。计量资料采用均数±标准差(Mean±SD)表示,首先进行正态性检验,如果满足正态性且方差齐,则采用LSD-t检验进行组间比较;否则采用非参数秩和检验。计数资料采用频数(百分率)表示,组间比较采用χ2检验。采用受试者工作特征曲线(receiver operating characteristic,ROC)及Delong法,用于分析不同监测指标在脓毒性休克患者容量反应性中的预测价值,以P < 0.05为差异有统计学意义。
2 结果 2.1 两组患者的一般临床资料容量有反应组与无反应组的患者在年龄、性别、心率、呼吸频率、乳酸、降钙素原、氧合指数、体质量指数、慢性阻塞性肺病、冠心病、ICU病死率、吸呼比、潮气量、使用去甲肾上腺素、去甲肾上腺素剂量、APACHEⅡ评分、SOFA评分等方面比较,差异无统计学意义(均P > 0.05),见表 1。
| 指标 | 容量有反应组 (n=37) |
容量无反应组 (n=22) |
t/χ2值 | P值 |
| 年龄(岁, Mean±SD) | 59.7±19.1 | 58.3±18.9 | 0.273 | 0.786 |
| 男/女(例) | 24/15 | 11/9 | 0.234 | 0.628 |
| 心率(次/min, Mean±SD) | 78±13 | 80±12 | -0.588 | 0.559 |
| 呼吸频率(次/min, Mean±SD) | 21±3 | 20±4 | 1.092 | 0.280 |
| 乳酸(mmol/L, Mean±SD) | 4.38±1.09 | 5.01±1.49 | -1.869 | 0.067 |
| 降钙素原(μg/L, Mean±SD) | 15.37±3.19 | 14.18±2.49 | 1.498 | 0.140 |
| 氧合指数(mmHg, Mean±SD) | 412±34 | 397±36 | 1.603 | 0.114 |
| 体质量指数(kg/m2, Mean±SD) | 22.36±3.20 | 21.09±3.22 | 1.471 | 0.147 |
| 慢性阻塞性肺病(例,%) | 12(32.43) | 8(36.37) | 0.095 | 0.758 |
| 冠心病(例,%) | 15(40.54) | 10(45.45) | 0.136 | 0.712 |
| ICU病死率(例,%) | 10(27.03) | 8(36.36) | 0.567 | 0.451 |
| 吸呼比(Mean±SD) | 0.41±0.09 | 0.39±0.07 | 0.893 | 0.376 |
| 潮气量(mL, Mean±SD) | 456±43 | 470±37 | -1.272 | 0.209 |
| 使用去甲肾上腺素(例,%) | 21(56.76) | 13(59.09) | 0.031 | 0.861 |
| 去甲肾上腺素剂量[μg/(kg·min), Mean±SD] | 1.27±0.61 | 1.39±0.77 | -0.662 | 0.511 |
| APACHEⅡ评分(Mean±SD) | 15.81±4.35 | 14.37±5.04 | 1.159 | 0.251 |
| SOFA评分(Mean±SD) | 7.34±2.11 | 6.88±1.94 | 0.834 | 0.408 |
EEO-ΔCVP、VE-ΔCVP、EEO-ΔSVV、EIO-ΔSVV、VE-ΔSVV、EEO-ΔRVI、EIO-ΔRVI、VE-ΔRVI在容量有反应组与无反应组之间比较,差异有统计学意义(均P < 0.05);EIO-ΔCVP、EEO-ΔMAP、EIO-ΔMAP、VE-ΔMAP、EEO-ΔCI、EIO-ΔCI、VE-ΔCI在容量有反应组与无反应组之间比较,差异均无统计学意义(均P > 0.05),见表 2。
| 指标 | 容量有反应组 (n=37) |
容量无反应组 (n=22) |
t值 | P值 |
| EEO-ΔCVP | 1.5±0.5 | 1.2±0.4a | 2.393 | 0.020 |
| EIO-ΔCVP | -1.1±0.5 | -0.9±0.5 | 1.486 | 0.143 |
| VE-ΔCVP | 1.6±0.4 | 0.9±0.6a | 3.446 | 0.001 |
| EEO-ΔMAP | 12±4 | 10±4 | 1.857 | 0.069 |
| EIO-ΔMAP | 5±3 | 6±2 | 1.388 | 0.170 |
| VE-ΔMAP | 10±4 | 11±3 | 1.014 | 0.315 |
| EEO-ΔSVV | -3.9±0.6 | -3.3±0.8a | 3.275 | 0.002 |
| EIO-ΔSVV | 3.2±0.7 | 2.7±0.5a | 2.931 | 0.005 |
| VE-ΔSVV | -4.6±0.9 | -3.8±0.8a | 3.437 | 0.001 |
| EEO-ΔCI | 2.5±0.5 | 2.2±0.7 | 1.916 | 0.061 |
| EIO-ΔCI | -1.3±0.4 | -1.2±0.5 | 0.845 | 0.402 |
| VE-ΔCI | 2.8±0.8 | 2.4±0.7 | 1.943 | 0.057 |
| EEO-ΔRVI | -12.5±5.1 | -8.3±4.2a | 3.258 | 0.002 |
| EIO-ΔRVI | 10.9±4.1 | 7.8±3.4a | 2.985 | 0.004 |
| VE-ΔRVI | -15.3±5.7 | -10.2±4.6a | 3.559 | < 0.01 |
| 注:EEO为呼气末阻断试验,EIO为吸气末阻断试验,VE为容量负荷试验,CVP为中心静脉压,MAP为平均动脉压,SVV为每搏变异度,RVI为呼吸变异指数;Δ指试验后与试验前的差值;与容量有反应组比较,aP < 0.05 | ||||
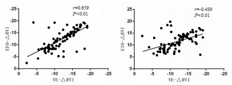
EEO-ΔRVI、EIO-ΔRVI与VE-ΔRVI有相关性(r=0.695,P < 0.01;r=-0.489,P < 0.01);EEO-ΔCVP与VE-ΔCVP有相关性(r=0.566,P < 0.01);EEO-ΔSVV、EIO-ΔSVV与VE-ΔSVV有相关性(r=0.842,P < 0.01;r=-0.727,P < 0.01),见图 2~4。
|
| 图 2 EEO-ΔRVI、EIO-ΔRVI与VE-ΔRVI的相关性分析(n=57) Fig 2 Correlation analysis between EEO-ΔRVI, EIO-ΔRVI and VE-ΔRVI (n=57) |
|
|
|
| 图 3 EEO-ΔCVP与VE-ΔCVP以及EEO-ΔSVV与VE-ΔSVV的相关性分析(n=57) Fig 3 Correlation analysis between EEO-ΔCVP and VE-ΔCVP, EEO-ΔSVV and VE-ΔSVV (n=57) |
|
|
|
| 图 4 EIO-ΔSVV与VE-ΔSVV的相关性分析(n=57) Fig 4 Correlation analysis between EIO-ΔSVV and VE-ΔSVV (n=57) |
|
|
EEO-ΔSVV、EEO-ΔRVI、EEO-ΔCVP、EIO-ΔSVV和EIO-ΔRVI预测脓毒性休克-机械通气患者容量反应性的ROC曲线。曲线下面积AUCEEO-ΔSVV > AUCEEO-ΔRVI > AUCEIO-ΔSVV > AUCEIO-ΔRVI > AUCEEO-ΔCVP。采用Delong法比较各个指标的曲线下面积,其中AUCEEO-ΔSVV vs AUCEEO-ΔRVI(Z=0.856,P=0.392);AUCEEO-ΔSVV vs AUCEEO-ΔCVP(Z=1.734,P=0.083);AUCEEO-ΔSVV vs AUCEIO-ΔSVV(Z=0.897,P=0.370);AUCEEO-ΔSVV vs AUCEIO-ΔRVI(Z=1.409,P=0.159);AUCEEO-ΔRVI vs AUCEEO-ΔCVP(Z=0.864,P=0.388);AUCEEO-ΔRVI vs AUCEIO-ΔSVV(Z=0.245,P=0.806);AUCEEO-ΔRVI vs AUCEIO-ΔRVI(Z=0.649,P=0.517);AUCEEO-ΔCVP vs AUCEIO-ΔSVV(Z=0.463,P=0.644);AUCEEO-ΔCVP vs AUCEIO-ΔRVI(Z=0.205,P=0.837);AUCEIO-ΔSVV vs AUCEIO-ΔRVI(Z=0.305,P=0.761)。
在临界值为-3.95,AUCEEO-ΔRVI=0.890,敏感度为0.818,特异度为0.892。见表 3和图 5。
| 指标 | AUC | 阈值 | 95%CI | 敏感度 | 特异度 | 假阳性率 | 假阴性率 | 约登指数 |
| EEO-ΔSVV | 0.890 | -3.95 | 0.792~0.988 | 0.818 | 0.892 | 0.108 | 0.182 | 0.71 |
| EEO-ΔRVI | 0.826 | -10.79 | 0.712~0.939 | 0.727 | 0.919 | 0.081 | 0.273 | 0.646 |
| EEO-ΔCVP | 0.738 | 1.06 | 0.603~0.873 | 0.682 | 0.811 | 0.189 | 0.318 | 0.493 |
| EIO-ΔSVV | 0.800 | 4.70 | 0.657~0.943 | 0.773 | 0.838 | 0.162 | 0.227 | 0.611 |
| EIO-ΔRVI | 0.767 | 10.35 | 0.624~0.910 | 0.773 | 0.811 | 0.189 | 0.227 | 0.584 |
|
| 图 5 EEO、EIO中SVV、RVI和CVP在预测脓毒性休克-机械通气患者ROC曲线 Fig 5 ROC curve of SVV, RVI and CVP in EEO and EIO in predicting patients with septic shock-mechanical ventilation |
|
|
脓毒性休克是急诊科与ICU常见的危重疾病,液体复苏是脓毒性休克的主要治疗方法,指南优先考虑早期进行液体复苏,及时准确地评估容量反应性和强化液体管理尤为重要[5-8]。
传统的压力指标如肺动脉楔压[9-10],容量指标如全心舒张末期容积等可反映当下的容量负荷状态[11-12];脉搏变异度或收缩压变异度等指标均取决于心肺相互作用,可用来判断容量反应性,但受到呼吸条件、相关设备及有创操作等限制,在临床中未能得到广泛应用[13-15];除此之外,容量负荷试验对于处在Frank-Starling曲线平台期的患者还有可能诱发肺水肿、严重心力衰竭等并发症,临床应用限制较多[16-17]。
EEO及EIO基于机械通气心肺交互作用的原理,为容量反应性评估提供一种新的检测手段[18-20]。在机械通气期间,吸气时胸腔内压、肺内压升高,静脉回流减少和右心室前负荷降低,同时,跨肺压升高导致右心室后负荷增加,引起右心室的射血减少,最终左心室充盈压减少,左心室的射血分数在吸气末达到最低水平;呼气相则与之相反。因此通过阻断呼吸周期数秒将达到改变左室射血分数的目的,从而可以早期判断患者容量情况,且操作简单,适用于危重症机械通气患者[21]。
目前超声心动图测量的左心室流出道速度时间积分(VTI)变化可以评估容量反应性。然而,VTI诊断阈值增加4%。超声心动图的准确性不足以可靠地检测这种小的变化。据报道,通过经胸超声心动图测量的下腔静脉直径的变化可以更准确地评估患者的容量反应性。有研究发现,在自主呼吸的患者中通过呼吸振幅的改变引起下腔静脉直径变化,可较好地预测患者容量反应性[22],同时下腔静脉直径变化指数也可用于心律失常患者。本研究通过在呼气末及吸气末中断机械通气15 s,联合超声监测下腔静脉直径变化,对脓毒性休克患者容量反应性进行评估。
本研究中容量有反应组与无反应组的患者在年龄、性别、心率、呼吸频率、乳酸水平、降钙素原水平、氧合指数、体质量指数、慢性阻塞性肺病、冠心病、ICU病死率、吸呼比、潮气量、使用去甲肾上腺素、去甲肾上腺素剂量、APACHEⅡ评分、SOFA评分等方面比较,差异均无统计学意义(均P > 0.05),说明在脓毒性休克-机械通气患者中一般因素的改变对容量反应性的评估效能欠佳。
目前液体复苏的终点尚存在较大争议,使用CVP指导液体管理的基础来自CVP可以反映血管内容量变化[23]。Georges等[24]研究发现,EEO-ΔCVP可更好地评估患者容量反应性。在本研究中发现,EEO-ΔCVP、VE-ΔCVP在容量有反应组与无反应组之间比较,差异有统计学意义(P < 0.05),且EEO-ΔCVP与VE-ΔCVP有明显的相关性(P < 0.05)。本研究结果与CVP在ICU危重患者容量反应性的评估中具有良好的效果,可早期促进脏器功能恢复的研究[25-27]结论一致。
MAP是通过监测收缩压及舒张压得来的,为保证组织灌注良好,一般建议将MAP维持在最低水平以上[28]。有研究表明,采用EEO、EIO联合经食管超声检测CI可更好地评估危重患者容量反应性,准确率更高[14]。本研究发现,EEO-ΔMAP、EIO-ΔMAP、VE-ΔMAP、EEO-ΔCI、EIO-ΔCI、VE-ΔCI在容量有反应组与无反应组之间比较,差异无统计学意义(P > 0.05),本研究结果与Monge García等[29]研究结论一致。考虑到本研究纳入样本量较少,后期需增加样本量,并进一步寻找相关临床证据,为后期容量反应的评估提供依据。
SVV作为有创血流动力学监测指标,有研究表明,SVV预测容量反应性的敏感度和特异度明显优于静态前负荷,SVV是容量反应性的可靠预测因子[30-32]。本研究发现,EEO-ΔSVV、EIO-ΔSVV、VE-ΔSVV在容量有反应组与无反应组之间比较,差异均有统计学意义(P < 0.05)。相关性分析显示,EEO-ΔSVV、EIO-ΔSVV与VE-ΔSVV有相关性(P < 0.05),提示EEO-ΔSVV、EIO-ΔSVV在预测容量反应性中预测价值与金标准VE-ΔSVV一致,与Rathore等[30]研究结论一致,提示SVV在评估容量反应性中确实存在优越性,可为液体管理提供指导。
在机械通气期间,患者胸腔内正压通常会引起下腔静脉直径增加,通过计算下腔静脉直径变异度(RVI)来预测容量反应性,对液体复苏有一定指导意义[33-34]。本研究中EEO-ΔRVI、EIO-ΔRVI、VE-ΔRVI在容量有反应组与无反应组之间比较,差异均有统计学意义(P < 0.05),且在EEO-ΔRVI、EIO-ΔRVI与VE-ΔRVI有相关性(P < 0.05),与Long等[35]及Vaish等[36]研究结论一致,提示RVI在未来容量反应性的预测中具有重要价值。
本研究中,EEO-ΔSVV、EEO-ΔRVI、EEO-ΔCVP、EIO-ΔSVV和EIO-ΔRVI在容量有反应组和容量无反应组间差异有统计学意义,将上述指标进一步整合,制作预测脓毒性休克-机械通气患者容量反应性的ROC曲线,其中EEO-ΔSVV预测容量反应性的AUC=0.890(95%CI:0.792~0.988),采用Delong法比较各指标的AUC发现差异均无统计学意义,提示EEO-ΔRVI、EEO-ΔCVP、EIO-ΔSVV和EIO-ΔRVI在预测脓毒性休克-机械通气患者容量反应性中与EEO-ΔSVV一致,检验效果良好,为临床监测患者容量反应性提供良好理论依据,与Reisi等[37]研究结果相符。
本研究局限性:本研究为单中心小样本研究,收集样本量偏少,后期可开展多中心研究并进一步扩大样本量,且研究的血流动力学指标有限,后期将进一步优化试验设计。
综上所述,本研究通过在EEO、EIO及VE状态下监测SVV、RVI、CVP、CI、MAP等血流动力学指标评估脓毒性休克-机械通气患者容量反应性,发现SVV、RVI在评估容量反应性时效果良好,且优于CVP、MAP、CI。因此,今后在急诊科、重症监护室中对危重患者容量反应性评估时可根据实际情况评估相关指标,指导危重患者液体管理治疗。
利益冲突 所有作者均声明不存在利益冲突
| [1] | Singer M, Deutsehman CS, Seymour CW, et al. The third international consensus definitions for sepsis and septic shock[J]. JAMA, 2016, 315(8): 801-810. DOI:10.33883/jms.v18i2.269 |
| [2] | Fenton KE, Parker MM. Cardiac function and dysfunction in Sepsis[J]. Clin Chest Med, 2016, 37(2): 289-298. DOI:10.1016/j.ccm.2016.01.014 |
| [3] | Jabot J, Teboul JL, Richard C, et al. Passive leg raising for predicting fluid responsiveness: importance of the postural change[J]. Intensive Care Med, 2009, 35(1): 85-90. DOI:10.1007/s00134-008-1293-3 |
| [4] | Monnet X, Osman D, Ridel C, et al. Predicting volume responsiveness by using the end-expiratory occlusion in mechanically ventilated intensive care unit patients[J]. Crit Care Med, 2009, 37(3): 951-956. DOI:10.1097/ccm.0b013e3181968fe1 |
| [5] | 薛贻敏, 曾丽娟, 陈德伟, 等. 被动抬腿试验结合颈总动脉峰流速变异度预测保留自主呼吸机械通气的重症脓毒症患者的容量反应性[J]. 中华医学杂志, 2018, 98(31): 2476-2480. DOI:10.3760/cma.j.issn.0376-2491.2018.31.005 |
| [6] | Préau S, Saulnier F, Dewavrin F, et al. Passive leg raising is predictive of fluid responsiveness in spontaneously breathing patients with severe Sepsis or acute pancreatitis[J]. Crit Care Med, 2010, 38(3): 819-825. DOI:10.1097/ccm.0b013e3181c8fe7a |
| [7] | Kupersztych-Hagege E, Teboul JL, Artigas A, et al. Bioreactance is not reliable for estimating cardiac output and the effects of passive leg raising in critically ill patients[J]. Br J Anaesth, 2013, 111(6): 961-966. DOI:10.1093/bja/aet282 |
| [8] | 季兵, 朱建良, 马丽梅, 等. 早期集束化治疗对脓毒症及脓毒性休克患者预后的影响[J]. 中华急诊医学杂志, 2019, 28(2): 170-174. DOI:10.3760/cma.j.issn.1671-0282.2019.02.008 |
| [9] | Monnet X, Letierce A, Hamzaoui O, et al. Arterial pressure allows monitoring the changes in cardiac output induced by volume expansion but not by norepinephrine[J]. Crit Care Med, 2011, 39(6): 1394-1399. DOI:10.1097/ccm.0b013e31820edcf0 |
| [10] | Muller L, Toumi M, Bousquet PJ, et al. An increase in aortic blood flow after an infusion of 100 mL colloid over 1 minute can predict fluid responsiveness[J]. Anesthesiology, 2011, 115(3): 541-547. DOI:10.1097/aln.0b013e318229a500 |
| [11] | Wu YF, Zhou SS, Zhou ZH, et al. A 10-second fluid challenge guided by transthoracic echocardiography can predict fluid responsiveness[J]. Crit Care, 2014, 18(3): R108. DOI:10.1186/cc13891 |
| [12] | Pierrakos C, Velissaris D, Scolletta S, et al. Can changes in arterial pressure be used to detect changes in cardiac index during fluid challenge in patients with septic shock?[J]. Intensive Care Med, 2012, 38(3): 422-428. DOI:10.1007/s00134-011-2457-0 |
| [13] | Monge García MI, Gil Cano A, Gracia Romero M, et al. Non-invasive assessment of fluid responsiveness by changes in partial end-tidal CO2 pressure during a passive leg-raising maneuver[J]. Ann Intensive Care, 2012, 2: 9. DOI:10.1186/2110-5820-2-9 |
| [14] | Wang XT, Zhao H, Liu DW, et al. Changes in end-tidal CO2 could predict fluid responsiveness in the passive leg raising test but not in the mini-fluid challenge test: a prospective and observational study[J]. J Crit Care, 2015, 30(5): 1061-1066. DOI:10.1016/j.jcrc.2015.05.019 |
| [15] | Mahjoub Y, Touzeau J, Airapetian N, et al. The passive leg-raising maneuver cannot accurately predict fluid responsiveness in patients with intra-abdominal hypertension[J]. Crit Care Med, 2010, 38(9): 1824-1829. DOI:10.1097/ccm.0b013e3181eb3c21 |
| [16] | Marik PE, Cavallazzi R. Does the central venous pressure predict fluid responsiveness? An updated meta-analysis and a Plea for some common sense[J]. Crit Care Med, 2013, 41(7): 1774-1781. DOI:10.1097/ccm.0b013e31828a25fd |
| [17] | Hong DM, Lee JM, Seo JH, et al. Pulse pressure variation to predict fluid responsiveness in spontaneously breathing patients: tidal vs forced inspiratory breathing[J]. Anaesthesia, 2014, 69(7): 717-722. DOI:10.1111/anae.12678 |
| [18] | Dépret F, Jozwiak M, Teboul JL, et al. Esophageal Doppler can predict fluid responsiveness through end-expiratory and end-inspiratory occlusion tests[J]. Crit Care Med, 2019, 47(2): e96-e102. DOI:10.1097/ccm.0000000000003522 |
| [19] | Jozwiak M, Depret F, Teboul JL, et al. Predicting fluid responsiveness in critically ill patients by using combined end-expiratory and end-inspiratory occlusions with echocardiography[J]. Crit Care Med, 2017, 45(11): e1131-e1138. DOI:10.1097/ccm.0000000000002704 |
| [20] | Biais M, Larghi M, Henriot J, et al. End-expiratory occlusion test predicts fluid responsiveness in patients with protective ventilation in the operating room[J]. Anesth Analg, 2017, 125(6): 1889-1895. DOI:10.1213/ane.0000000000002322 |
| [21] | 柳开忠, 曹永卿, 沈珏, 等.呼气末阻断试验联合脉搏轮廓分析技术对机械通气-休克患者容量反应性的预测价值[J/CD].中华危重症医学杂志: 电子版, 2015, 8(3): 159-164. DOI: 10.3877/cma.j.issn.1674-6880.2015.03.004. |
| [22] | Airapetian N, Maizel J, Alyamani O, et al. Does inferior vena cava respiratory variability predict fluid responsiveness in spontaneously breathing patients?[J]. Crit Care, 2015, 19: 400. DOI:10.1186/s13054-015-1100-9 |
| [23] | Central venous pressure: an indicator of circulatory hemodynamics.[M]//Mohrman DE, Heller LJ. Lange cardiovascular physiology[J].6th ed. New York: McGraw-Hill, 2006. |
| [24] | Georges D, de Courson H, Lanchon R, et al. End-expiratory occlusion maneuver to predict fluid responsiveness in the intensive care unit: an echocardiographic study[J]. Crit Care, 2018, 22(1): 32. DOI:10.1186/s13054-017-1938-0 |
| [25] | Legrand M, Soussi S, Depret F. Cardiac output and CVP monitoring… to guide fluid removal[J]. Crit Care, 2018, 22(1): 89. DOI:10.1186/s13054-018-2016-y |
| [26] | Rocklin DM. The role of the clinical examination in patients with heart failure: E-Z CVP[J]. JACC Heart Fail, 2018, 6(11): 972-973. DOI:10.1016/j.jchf.2018.08.002 |
| [27] | Shih TH, Tsou YH, Huang CJ, et al. The correlation between CVP and SVV and intraoperative minimal blood loss in living donor hepatectomy[J]. Transplant Proc, 2018, 50(9): 2661-2663. DOI:10.1016/j.transproceed.2018.04.007 |
| [28] | 李玉婷, 李洪祥, 郭健杏, 等. 平均动脉压对脓毒性休克患者发生急性肾损伤的影响[J]. 中华急诊医学杂志, 2019, 28(9): 1088-1092. DOI:10.3760/cma.j.issn.1671-0282.2019.09.006 |
| [29] | Monge García MI, Gil Cano A, Gracia Romero M. Dynamic arterial elastance to predict arterial pressure response to volume loading in preload-dependent patients[J]. Crit Care, 2011, 15(1): R15. DOI:10.1186/cc9420 |
| [30] | Rathore A, Singh S, Lamsal R, et al. Validity of pulse pressure variation (PPV) compared with stroke volume variation (SVV) in predicting fluid responsiveness[J]. Turk J Anaesth Reanim, 2017, 45(4): 210-217. DOI:10.5152/tjar.2017.04568 |
| [31] | Michelson PL, McCaslin DL, Jacobson GP, et al. Assessment of subjective visual vertical (SVV) using the "bucket test" and the virtual SVV system[J]. Am J Audiol, 2018, 27(3): 249-259. DOI:10.1044/2018_aja-17-0019 |
| [32] | Endo Y, Tamura J, Ishizuka T, et al. Stroke volume variation (SVV) and pulse pressure variation (PPV) as indicators of fluid responsiveness in sevoflurane anesthetized mechanically ventilated euvolemic dogs[J]. J Vet Med Sci, 2017, 79(8): 1437-1445. DOI:10.1292/jvms.16-0287 |
| [33] | Osman D, Ridel C, Ray P, et al. Cardiac filling pressures are not appropriate to predict hemodynamic response to volume challenge[J]. Crit Care Med, 2007, 35(1): 64-68. DOI:10.1097/01.ccm.0000249851.94101.4f |
| [34] | Zhang ZH, Xu X, Ye S, et al. Ultrasonographic measurement of the respiratory variation in the inferior vena cava diameter is predictive of fluid responsiveness in critically ill patients: systematic review and meta-analysis[J]. Ultrasound Med Biol, 2014, 40(5): 845-853. DOI:10.1016/j.ultrasmedbio.2013.12.010 |
| [35] | Long E, Oakley E, Duke T, et al. Does respiratory variation in inferior vena cava diameter predict fluid responsiveness: a systematic review and meta-analysis[J]. Shock, 2017, 47(5): 550-559. DOI:10.1097/shk.0000000000000801 |
| [36] | Vaish H, Kumar V, Anand R, et al. The correlation between inferior vena cava diameter measured by ultrasonography and central venous pressure[J]. Indian J Pediatr, 2017, 84(10): 757-762. DOI:10.1007/s12098-017-2433-y |
| [37] | Reisi M, Babaie S, Behzad A, et al. A comparison between the bedside sonographic measurements of the inferior vena cava indices and the central venous pressure while assessing the decreased intravascular volume in children[J]. Adv Biomed Res, 2018, 7(1): 97. DOI:10.4103/abr.abr_213_17 |
2020, Vol. 29



