2. 青岛大学附属医院护理部 266003
2. Nursing Department, the Affiliated Hospital of Qingdao University, Qingdao 266003, China
中心静脉导管(central venous catheters,CVC)是重症患者抢救治疗过程中建立静脉通路的重要途径,但患者病情危重、开放的中心静脉系统会引起感染、血栓等严重并发症[1-4]。尤其是导管相关血流感染(catheter-related bloodstream infection,CRBSI)发生率高达3.10~11.18/千导管日[1, 4-5],CVC留置时间延长是CRBSI发生的独立危险因素[2],如何“尽早拔除CVC、缩短CVC留置时间”成为研究重点[6-7]。临床发现急诊入院重症患者常因血流动力学不稳定、需使用高渗或刺激性药物置入CVC,待病情稳定可拔除CVC替换为外周静脉留置针(peripheral intravenous catheter,PIV)时却有一半以上患者因外周静脉穿刺困难导致CVC留置无限期延长。中长导管(midline catheters,MC)长达7.5 cm~25 cm,超声引导置入贵要静脉或头静脉等较大较深静脉,穿刺成功率高、并发症发生率低,可连续使用1~4周[8-13],但在我国应用较少[14]。本研究遵循MAGIC血管通路适用性指南[8],针对急诊重症患者开展超声引导MC置入术作为尽早拔除CVC的替代方法,取得良好成效,现报道如下。
1 资料与方法 1.1 一般资料 1.1.1 研究对象双向队列观察性研究,按是否开展超声引导MC置入术形成2个队列。选取2019年3月至2019年12月青岛大学附属医院急诊重症医学科患者为MC组,应用超声引导MC置入术作为早期拔除CVC的替代方法(CVC-MC序贯治疗)。为避免季节因素干扰,选择上年同期(2018年3月至2018年12月)住院患者为对照组,采用常规CVC拔除后序贯留置针治疗(CVC-PIV序贯治疗)。纳入标准:(1)年龄≥18岁;(2)入住急诊重症医学科≥48 h。排除标准:(1)入科前已留置CVC或超声引导经外周置入中心静脉导管(peripherally inserted central catheter,PICC);(2)需留置血液透析管;(3)孕妇。研究已通过医院伦理委员会审批。
1.1.2 样本量估计采用标杆对照[4],CRBSI发生率为7.6/千导管日[15],取检验水准α=0.05,检验效能1-β=0.90,按照完全随机设计的两个总体率假设检验样本量估算公式[16],计算得每组至少需要观察1 749个CVC置管日数。
1.2 研究方法根据病情、遵循Michigan血管通路适用性指南[8],开辟中心或外周静脉通路。两组均使用单腔非抗生素涂层CVC(北京天地和协科技有限公司,国械注准20153030477),洗必泰消毒皮肤,解剖定位下置入CVC,置入全程遵循最大无菌屏障原则[13]。每日评估CVC使用必要性,对于血流动力学趋向稳定、输注药物pH值介于5~9之间且渗透压<900 mOsm/L的患者,考虑拔除CVC[13]。
1.2.1 对照组干预方法(CVC-PIV静脉通路序贯治疗)留置针穿刺成功后拔除CVC。穿刺过程中如遇“困难静脉”,则放弃更换外周静脉血管通路,继续保留CVC完成静脉输液治疗。满足以下任一项标准即判断为“困难静脉”[17]:①患者自述有困难静脉通路史或由熟练掌握静脉穿刺技术的护士行静脉穿刺,次数≥3次;②扎止血带后,双上肢无可见或可触及静脉。
1.2.2 MC组干预方法(CVC-MC静脉通路序贯治疗)引入超声引导MC置入技术。“困难静脉”者采取超声引导置入MC(佛山特种医用导管有限责任公司,国械注准20153772016),序贯完成静脉治疗。仰卧位,肩外展90°并稍微向外侧旋转,借助超声识别、评估右侧贵要静脉(平面外法),显示不清者次选肱静脉或头静脉;然后采用平面内穿刺法[18]、改良塞丁格技术行血管穿刺,导管置入18 cm~25 cm,尖端位于腋静脉或锁骨下静脉(图 1),根据临床指征判断MC是否需要拔除。
|
| 图 1 超声引导中长导管置入超声及X线图像 Fig 1 Ultrasonographic and X-ray images of ultrasound-guided placement of midline catheter |
|
|
患者的年龄、性别、ICU住院时间、静脉治疗时间、CVC留置时间、是否属于“困难静脉”、APACHE Ⅱ评分、CVC置管部位和疾病种类。
1.3.2 两组患者的CVC使用情况CVC留置时间和CVC使用率。CVC使用率(%)[19]=CVC使用日数/同期患者住院总日数×100%。
1.3.3 两组患者的导管相关并发症为使两组具有可比性,本研究将“导管相关并发症”定义为患者入住ICU期间发生的所有与CVC、MC、PIV静脉治疗导管相关的并发症之和。包括CRBSI和导管相关其他并发症。
(1)CRBSI发生率[4]:指患者在留置静脉导管期间或拔除静脉导管48 h内发生的原发性、且与其他部位存在的感染无关的血流感染,符合美国疾病控制中心诊断标准[5]。CRBSI发生率(‰)=(CRBSI发生例数/同期患者血管内导管留置总天数)×1 000/千导管日。
(2)其他导管相关并发症发生率[20]:指除CRBSI之外的静脉血管通路留置期间所发生的导管相关并发症之和。包括:有症状的导管相关血栓形成(catheter-related thrombosis,CRT)、误伤动脉、穿刺点局部血肿、气胸、导管堵塞、意外脱管、液体渗出/外渗、静脉炎等。
1.4 统计学方法采用单样本Kolmogorov-Smirnov检验判断计量资料分布是否服从正态分布。正态分布计量资料采用均值、标准差、频数及构成比进行统计描述;非正态分布、方差不齐计量资料采用中位数(四分位数)[M(QL, QU)]表示。两组或多组构成比(性别、疾病种类、静脉输液类型)的组间比较采用Pearson卡方或Fisher精确检验,两正态分布计量资料配对样本比较采用配对样本t检验,非正态分布资料组间比较采用两独立样本Mann-Whitney U秩和检验。绘制Kaplan-Meier生存曲线反映两组CVC留置时间,Log-rank检验比较两组CVC留置时间生存曲线是否有统计学意义。使用SPSS 22.0软件进行统计学分析,以P<0.05为差异有统计学意义。
2 结果 2.1 两组患者一般情况比较本研究共纳入529例患者,MC组278名、对照组251名。两组患者年龄、性别、ICU住院时间、静脉治疗总时间、困难静脉比例、APACHE Ⅱ评分、CVC置管部位、疾病种类等因素的差异均无统计学意义(P>0.05),见表 1。
| 指标 | MC组(n=278) | 对照组(n=251) | 统计量值 | P值 | ||
| (n, %) | Median(IQR) | (n, %) | Median(IQR) | |||
| 年龄(y) | 57.5(48-69.25) | 61(49-71) | ﹣1.096a | 0.273 | ||
| 性别 | 0.018b | 0.895 | ||||
| 男 | 179(64.4) | 163(64.9) | ||||
| 女 | 99(35.6) | 88(35.1) | ||||
| ICU住院时间(d) | 9.5(6-15) | 11(6-17) | ﹣1.489a | 0.137 | ||
| 静脉治疗时间(d) | 9(6-15) | 11(6-17) | ﹣1.362a | 0.173 | ||
| CVC留置时间(d) | 8(5-11) | 13(7-18) | ﹣6.546a | 0 | ||
| MC留置时间(d) | 16.5(11.25-26.75) | - | - | - | ||
| 困难静脉 | 88(31.7) | 83(33.1) | 0.120b | 0.729 | ||
| APACHE Ⅱ评分 | 17(13-21) | 17(14-21) | ﹣0.768a | 0.443 | ||
| CVC置管部位 | 2.073b | 0.355 | ||||
| 锁骨下静脉 | 120(59.1) | 122(54.7) | ||||
| 颈静脉 | 12(5.9) | 21(9.4) | ||||
| 股静脉 | 71(35.0) | 80(35.9) | ||||
| 疾病种类 | 3.528b | 0.619 | ||||
| 多脏器功能衰竭 | 89(32.0) | 88(35.1) | ||||
| 重症肺炎 | 50(18.0) | 51(20.3) | ||||
| 脓毒血症 | 45(16.2) | 30(12.0) | ||||
| 重症急性胰腺炎 | 43(15.5) | 35(13.9) | ||||
| 脑梗死 | 18(6.5) | 21(8.4) | ||||
| 其他 | 33(11.9) | 26(10.4) | ||||
| 注:a Mann-Whitney U秩和检验,Z值;b Pearson卡方,χ2值 | ||||||
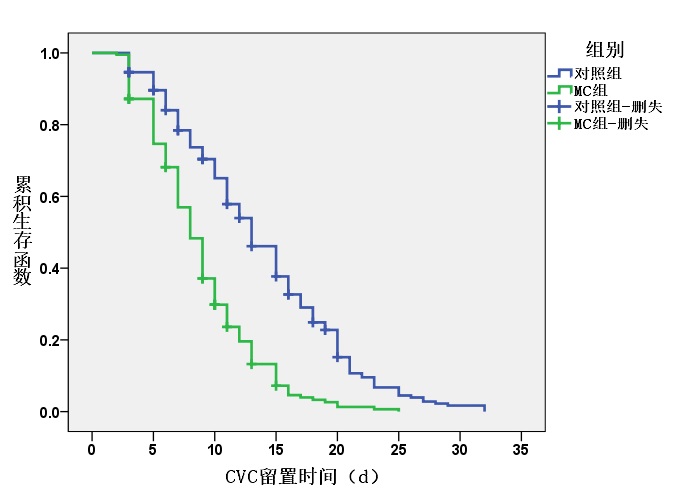
MC组CVC中位留置时间明显短于对照组(8 d vs. 13 d),Log-rank检验示χ2=72.410,P=0.000,两组生存时间差异有统计学意义,见图 2。分别统计每月患者ICU住院时间、静脉治疗时间、PIV使用时间,两组同比差异无统计学意义(P>0.05),具有可比性;MC组CVC留置时间显著低于对照组(1 751 d vs. 2 893 d)(P=0.000),CVC使用率也显著低于对照组(49.83% vs. 80.45%)(OR: 4.143,95% CI: 3.728~4.605)(P=0.000)。每月各静脉治疗途径使用同比详细情况见表 2、图 3,CVC使用率见,见图 4。
|
| 图 2 两组CVC留置时间比较(Kaplan-Meier法) Fig 2 Comparison of the CVC duration between the two groups (Kaplan-Meier method) |
|
|
| 月份 | ICU住院时间(d) | 静脉治疗时间(d) | CVC留置时间(d) | MC使用时间(d) | PIV使用时间(d) | CVC使用率(%) | ||||||||||
| 对照组 | MC组 | 对照组 | MC组 | 对照组 | MC组 | 对照组 | MC组 | 对照组 | MC组 | 对照组 | MC组 | |||||
| 3月 | 360 | 330 | 352 | 325 | 297 | 146 | 0 | 127 | 55 | 52 | 82.5 | 44.24 | ||||
| 4月 | 354 | 342 | 347 | 338 | 282 | 203 | 0 | 62 | 65 | 73 | 79.66 | 59.36 | ||||
| 5月 | 371 | 361 | 367 | 361 | 317 | 157 | 0 | 159 | 50 | 45 | 85.44 | 43.49 | ||||
| 6月 | 392 | 368 | 389 | 361 | 288 | 194 | 0 | 87 | 101 | 80 | 73.47 | 52.72 | ||||
| 7月 | 409 | 380 | 401 | 377 | 297 | 172 | 0 | 145 | 104 | 60 | 72.62 | 45.26 | ||||
| 8月 | 304 | 339 | 302 | 334 | 281 | 189 | 0 | 103 | 21 | 42 | 92.43 | 55.75 | ||||
| 9月 | 351 | 351 | 348 | 346 | 278 | 202 | 0 | 91 | 70 | 53 | 79.2 | 57.55 | ||||
| 10月 | 342 | 337 | 338 | 326 | 262 | 160 | 0 | 110 | 76 | 56 | 76.61 | 47.48 | ||||
| 11月 | 359 | 340 | 355 | 331 | 290 | 132 | 0 | 134 | 65 | 65 | 80.78 | 38.82 | ||||
| 12月 | 354 | 366 | 346 | 360 | 301 | 196 | 0 | 142 | 45 | 22 | 85.03 | 53.55 | ||||
| 合计 | 3596 | 3514 | 3545 | 3459 | 2893 | 1751 | 0 | 1160 | 652 | 548 | 80.45 | 49.83 | ||||
| t值 | 1.289 | 1.397 | 11.222 | ﹣12.009 | 1.786 | 735.617a | ||||||||||
| P值 | 0.230 | 0.196 | 0.000 | 0.000 | 0.108 | 0.000 | ||||||||||
| 注:aχ2值 | ||||||||||||||||
|
| 图 3 两组每月CVC、MC、PIV静脉治疗时间比较 Fig 3 Comparison of monthly CVC, midline catheter, and peripheral intravenous catheter duration between the two groups |
|
|
|
| 图 4 两组每月CVC使用率比较 Fig 4 Comparison of monthly CVC utilization ratios between the two groups |
|
|
减少ICU住院时间、开展超声引导中长导管置入术可显著降低CVC留置时间延长的风险(P=0.000);困难静脉、置管部位则是CVC留置时间延长的独立危险因素。困难静脉患者CVC留置时间延长风险是非困难静脉患者的2.003倍(P=0.000);经锁骨下静脉、颈静脉途径置入CVC导管,其留置时间延长的相对危险度分别是股静脉途径置管的2.414倍、1.488倍(P<0.05),而性别、年龄、APACHEⅡ评分以及疾病种类,则与CVC留置时间无明显相关(P>0.05),见表 3。
| 项目 | Wald值 | RR值 | 95% CI | P值 |
| 性别(女=1,男=0) | 2.51 | 1.187 | 0.960~1.467 | 0.113 |
| 年龄 | 0.004 | 1 | 0.994~1.006 | 0.947 |
| 困难静脉(否=1,是=0) | 33.963 | 2.003 | 1.586~2.531 | 0 |
| APACHEⅡ评分 | 0.501 | 0.993 | 0.975~1.012 | 0.479 |
| ICU住院时间 | 67.351 | 0.948 | 0.936~0.960 | 0 |
| 疾病种类 | 3.718 | 0.446 | ||
| 多脏器功能衰竭 | 0.993 | 1.202 | 0.837~1.727 | 0.319 |
| 重症肺炎 | 0.623 | 1.171 | 0.791~1.735 | 0.43 |
| 重症急性胰腺炎 | 0.039 | 0.964 | 0.669~1.389 | 0.843 |
| 脑梗死/脑出血 | 0.638 | 1.227 | 0.743~2.027 | 0.425 |
| 其他(参考) | - | 1 | - | - |
| 置管部位 | 52.22 | 0 | ||
| 锁骨下静脉 | 52.212 | 2.414 | 1.901~3.066 | 0 |
| 颈静脉 | 3.974 | 1.488 | 1.007~2.200 | 0.046 |
| 股静脉(参考) | - | 1 | - | - |
| 静脉治疗方式(对照组=1,MC组=0) | 58.26 | 0.4 | 0.316~0.506 | 0 |
对照组发生CRBSI 11例,MC组发生1例,均在CVC使用期间发生,未发生与MC、PIV相关的CRBSI。MC组CRBSI发生率显著低于对照组(0.571‰ vs 3.802‰),Fisher精确检验示差异有统计学意义(P=0.038)。
2.4.2 其他导管相关并发症两组导管相关其他并发症发生率差异无统计学意义(P=0.403),见表 4。
| 并发症 | MC组(n=278) | 对照组(n=251) | χ2值 | P值 |
| 有症状的导管相关血栓形成 | 2(0.719) | 3(1.195) | 0.672a | |
| 误伤动脉 | 8(2.878) | 5(1.992) | 0.432 | 0.511 |
| 穿刺点局部血肿 | 7(2.518) | 6(2.390) | 0.009 | 0.925 |
| 气胸 | 1(0.360) | 0 | 1.000a | |
| 导管堵塞 | 10(3.597) | 5(1.992) | 1.233 | 0.267 |
| 意外脱管 | 2(0.719) | 5(1.992) | 0.265a | |
| 渗出/外渗 | 5(1.799) | 8(3.187) | 1.061 | 0.303 |
| 静脉炎 | 4(1.439) | 7(2.789) | 1.181 | 0.277 |
| 并发症(至少发生上述一种) | 30(10.791) | 33(13.147) | 0.698 | 0.403 |
| 注:a Fisher精确检验,P值 | ||||
中心静脉导管成为急诊重症患者入院抢救治疗的常用输液通路,导管相关血流感染作为其严重的并发症之一,一旦发生将延长住院时间、增加医疗费用和病死率。2011年《导管相关血流感染预防控制指南》[21]强烈推荐为减少CRBSI发生率,要“尽早拔除中心静脉导管(ⅠA)”。临床上,常常由于外周静脉穿刺困难而导致使用中心静脉导管替代留置针,本研究结果也显示“困难静脉”发生CVC留置时间延长的风险是非困难静脉的2倍,大大增加了CVC留置时间。Bekçibaşi等[2]研究显示,中心静脉导管留置(15.9±12.7) d;国内某急诊ICU[22]使用CVC的患者中有68.3%留置时间超过7 d,最长超过28 d;Hu等[15]统计了国内4家医院的7间ICU显示CVC使用率为71%,均与本研究对照组数据基本一致。本研究作者从“困难静脉”导致的CVC无限期使用得到启示,借鉴超声引导MC置入技术,以解决急诊重症患者在稳定期静脉输注抗生素、镇静镇痛、营养支持等药物的需求。开展超声引导中长导管置入技术后,CVC留置时间和使用率分别降至8 d(P=0.000)、49.83%(P=0.000),提示开展该项技术可明显减少CVC留置时间、降低CVC使用率。其原因可能为应用超声可视化技术,在直视下动态、实时观察血管位置与形态,尤其能弥补肥胖、水肿、循环灌注不足等导致的肉眼不可见或无法触及血管等缺点,创伤小、一次穿刺成功率高,从而减少了临床上对CVC的需要[23]。Iordanou等[19]认为超声引导PICC置入和超声引导留置针穿刺同样可提高困难静脉穿刺成功率。PICC引起的导管相关血流感染等严重并发症发生率高于MC[24],且价格昂贵、受置管资质影响无法全天候使用,而MC使用安全性被逐渐认可[25-26],MAGIC血管通路适用性指南明确指出对于静脉治疗≤14 d的重症患者,使用MC优于PICC[8]。另外,临床上超声引导穿刺的留置针易发生外渗、脱管、堵塞、血栓形成、疼痛等并发症,使用时间不足24 h而提前拔除者占45%~47%[27]。因此,对于病情相对稳定的急诊重症患者,应用超声引导置入MC替代CVC,可减少重症患者对中心静脉导管的依赖,有效缩短CVC留置时间、降低CVC使用率,从根本上减少CRBSI发生的危险因素,是静脉序贯治疗更为理想的选择。
困难静脉、ICU住院时间、置管部位和是否开展超声引导中长导管置入术均是CVC留置时间延长的独立危险因素。经锁骨下静脉或颈静脉留置的CVC留置时间均长于股静脉途径置管(P<0.05),考虑是因为医护人员普遍知晓股静脉距离会阴较近、湿度大、皮肤寄生菌群多、易受排泄物污染,细菌定植或感染机会大,对其关注度高于经锁骨下静脉或颈静脉留置的CVC,置管后“每日评估”意识强、更易做到尽早拔除。提示临床工作中在关注股静脉置管的同时,也要重视经锁骨下静脉和颈静脉置入的CVC同样会发生CRBSI等严重并发症,需要尽早拔除。另外,开展超声引导中长导管置入术可避免困难静脉导致的CVC拔除延迟,帮助这部分患者摆脱对中心静脉导管的依赖,开展超声引导中长导管置入术后,发生CVC留置时间延长的危险是未开展该项技术的40.0%(RR=0.400,P=0.000),从本质上缩短了CVC留置时间。
本研究中对照组CRBSI发生率为3.802‰,低于国内同类三级甲等医院综合ICU水平(4.19‰)[1]。开展超声引导MC置入术后,CRBSI发生率由3.802/千导管日降低到0.571/千导管日,差异有统计学意义。考虑原因可能有二:其一,短时间内微生物大多定植于皮肤与导管之间的界面,随着导管留置时间的延长,微生物进入管腔,迅速黏附于管腔表面,聚集形成生物膜,进而发生CRBSI。9 d是中心静脉导管留置的安全期,假如大部分CVC留置时间能控制在9 d之内,CRBSI发生风险可降低为零。开展超声引导MC置入术,将CVC留置时间由13 d降低为8 d,从根本上降低了中心静脉相关CRBSI发生风险。其二,外周静脉也可导致CRBSI,但其发生率仅仅是中心静脉相关CRBSI的1/64,MC和PIV均属于外周静脉通路,其外周静脉相关CRBSI发生率自然低于中心静脉相关CRBSI发生率。本研究中并未发生与MC和PIV相关的CRBSI。黄立权等[5]研究显示,经腋静脉行CVC穿刺或者超声引导CVC穿刺,也可降低CRBSI发生率,可以通过实践进一步验证。静脉导管留置还存在其他并发症。研究结果表明,两组导管相关其他并发症(如血栓、误伤动脉、穿刺点局部血肿、气胸等)发生率差异无统计学意义,并且大多数严重并发症均与CVC有关。Chopra等[11]回顾性分析了12家医院2017年1月1日至2018年3月1日期间使用的1 161条MC相关并发症,有症状的导管相关血栓形成、导管堵塞、CRBSI的发生率分别为1.4%、2.2%和0.3%。本研究MC组在MC使用过程中,上述三者的发生率分别为1.667%、1.667%和0,与Chopra等[11]研究结果基本一致。发生有症状的导管相关血栓形成1例,考虑与该患者自身高凝状态且感染严重有关。另外,本研究从事MC穿刺的2名ICU护士均经过了血管超声的理论和实践培训,选用直径较小的4 Fr单腔MC导管,在超声引导直视下采用改良塞丁格技术将MC直接插入上臂高血流量的深静脉,实现了血管通路可视化和微创操作技术,避免盲穿过程中穿刺针对血管内皮细胞的高强度机械刺激,降低了血栓等并发症的发生率[33]。本研究发生导管堵塞1例(1.667%),导管拔出后可见附着在导管内壁上的药物沉淀,考虑由于输注了两种不相容的药物所致。MC最常见的静脉炎、外渗/渗出等局部并发症[10],在本研究中并未发生,考虑MC虽然属于外周静脉血管通路,但是其尖端位于上臂深静脉,血管粗大,完全可以满足药物的输注要求。
超声引导置入的中长导管属于外周静脉导管,既可解决外周静脉穿刺困难和中长期输液问题,又可通过缩短CVC留置时间来减少CRBSI等严重并发症的发生,使用时还不需要X线检查确定导管尖端位置,可成为患者CVC的替代方案,为急诊重症患者血管通路选择开辟了新途径,值得临床推广使用。
利益冲突 所有作者均声明不存在利益冲突
| [1] | 刘思娣, 黄勋, 曾翠, 等. 不同类别重症监护病房持续3年医院感染前瞻性目标性监测[J]. 中国感染控制杂志, 2019, 18(1): 17-21. DOI:10.12138/j.issn.1671-9638.20194234 |
| [2] | Bekçibaşi M, Dayan S, Aslan E, et al. Risk factors for central venous catheter-related bloodstream infections[J]. Infez Med, 2019, 27(3): 258-265. |
| [3] | 曾晓艳, 张晨美, 石玉沄. 儿童并发导管相关性血栓的危险因素分析[J]. 中华急诊医学杂志, 2020, 29(5): 719-723. DOI:10.3760/cma.j.issn.1671-0282.2020.05.021 |
| [4] | Karapanou A, Vieru AM, Sampanis MA, et al. Failure of central venous catheter insertion and care bundles in a high central line-associated bloodstream infection rate, high bed occupancy hospital[J]. Am J Infect Control, 2020, 48(7): 770-776. DOI:10.1016/j.ajic.2019.11.018 |
| [5] | 黄立权, 邱添, 刘孜卓, 等. 经腋静脉穿刺可减少中心静脉导管相关性血流感染的发生[J]. 中华急诊医学杂志, 2019, 28(10): 1305-1308. DOI:10.3760/cma.j.issn.1671-0282.2019.10.024 |
| [6] | 沈凌, 卢芳燕, 杨静, 等. 肝切除术后患者早期拔除中心静脉导管的安全性分析[J]. 中华急诊医学杂志, 2019, 28(6): 760-762. DOI:10.3760/cma.j.issn.1671-0282.2019.06.019 |
| [7] | Oliver G. Can CRBSIs be eliminated?[J]. Br J Nurs, 2018, 27(19): S3. DOI:10.12968/bjon.2018.27.19.s3 |
| [8] | Chopra V, Flanders SA, Saint S, et al. The Michigan appropriateness guide for intravenous catheters (MAGIC): results from a multispecialty panel using the RAND/UCLA appropriateness method[J]. Ann Intern Med, 2015, 163(6 suppl): S1-40. DOI:10.7326/m15-0744 |
| [9] | Bundgaard Madsen E, Sloth E, Skov Illum B, et al. The clinical performance of midline catheters-An observational study[J]. Acta Anaesthesiol Scand, 2020, 64(3): 394-399. DOI:10.1111/aas.13516 |
| [10] | Seo H, Altshuler D, Dubrovskaya Y, et al. The safety of midline catheters for intravenous therapy at a large academic medical center[J]. Ann Pharmacother, 2020, 54(3): 232-238. DOI:10.1177/1060028019878794 |
| [11] | Chopra V, Kaatz S, Swaminathan L, et al. Variation in use and outcomes related to midline catheters: results from a multicentre pilot study[J]. BMJ Qual Saf, 2019, 28(9): 714-720. DOI:10.1136/bmjqs-2018-008554 |
| [12] | Cawcutt KA, Hankins RJ, Micheels TA, et al. Optimizing vascular-access device decision-making in the era of midline catheters[J]. Infect Control Hosp Epidemiol, 2019, 40(6): 674-680. DOI:10.1017/ice.2019.49 |
| [13] | Mary Alexander M Rn, Crni®*C Faan. Infusion therapy standards of practice[M]. Norwood: Journal of Infusion Nursing, 2016. |
| [14] | 孙红, 王蕾, 关欣, 等. 全国部分三级甲等医院静脉治疗护理现状分析[J]. 中华护理杂志, 2014, 49(10): 1232-1237. DOI:10.3761/j.issn.0254-1769.2014.10.018 |
| [15] | Hu BJ, Tao LL, Rosenthal VD, et al. Device-associated infection rates, device use, length of stay, and mortality in intensive care units of 4 Chinese hospitals: International Nosocomial Control Consortium findings[J]. Am J Infect Control, 2013, 41(4): 301-306. DOI:10.1016/j.ajic.2012.03.037 |
| [16] | 李峥, 刘宇. 护理学研究方法[M]. 北京: 人民卫生出版社, 2012: 54. |
| [17] | Armenteros-Yeguas V, Gárate-Echenique L, Tomás-López MA, et al. Prevalence of difficult venous access and associated risk factors in highly complex hospitalised patients[J]. J Clin Nurs, 2017, 26(23/24): 4267-4275. DOI:10.1111/jocn.13750 |
| [18] | 床旁超声在急危重症临床应用专家共识组. 床旁超声在急危重症临床应用的专家共识[J]. 中华急诊医学杂志, 2016, 25(1): 10-21. DOI:10.3760/cma.j.issn.1671-0282.2016.01.005 |
| [19] | Iordanou S, Middleton N, Papathanassoglou E, et al. Should the CDC's recommendations for promptly removing unnecessary centrally inserted central catheters be enhanced? Ultrasound-guided peripheral venous cannulation to fully comply[J]. J Vasc Access, 2020, 21(1): 86-91. DOI:10.1177/1129729819863556 |
| [20] | Hodzic S, Golic D, Smajic J, et al. Complications related to insertion and use of central venous catheters (CVC)[J]. Med Arch, 2014, 68(5): 300-303. DOI:10.5455/medarh.2014.68.300-303 |
| [21] | O'grady NP, Alexander M, Dellinger EP, et al. Guidelines for the prevention of intravascular catheter-related infections[J]. Am J Infect Control, 2011, 39(4 Suppl 1): S1-34. |
| [22] | 陈敏, 朱日进, 陈锋, 等. 中心静脉导管相关性感染临床分析[J]. 中华急诊医学杂志, 2013, 22(4): 352-355. DOI:10.3760/cma.j.issn.1671-0282.2013.04.004 |
| [23] | Nielsen EB, Antonsen L, Mensel C, et al. The efficacy of midline catheters-a prospective, randomized, active-controlled study[J]. Int J Infect Dis, 2021, 102: 220-225. DOI:10.1016/j.ijid.2020.10.053 |
| [24] | Lescinskas EH, Trautner BW, Saint S, et al. Use of and patient-reported complications related to midline catheters and peripherally inserted central catheters[J]. Infect Control Hosp Epidemiol, 2020, 41(5): 608-610. DOI:10.1017/ice.2020.34 |
| [25] | Prasanna N, Yamane D, Haridasa N, et al. Safety and efficacy of vasopressor administration through midline catheters[J]. J Crit Care, 2021, 61: 1-4. DOI:10.1016/j.jcrc.2020.09.024 |
| [26] | Tripathi S, Kumar S, Kaushik S. The practice and complications of midline catheters: a systematic review[J]. Crit Care Med, 2021, 49(2): e140-e150. DOI:10.1097/CCM.0000000000004764 |
| [27] | Bahl A, Hang B, Brackney A, et al. Standard long Ⅳ catheters versus extended dwell catheters: a randomized comparison of ultrasound-guided catheter survival[J]. Am J Emerg Med, 2019, 37(4): 715-721. DOI:10.1016/j.ajem.2018.07.031 |
2021, Vol. 30



