2. 中日友好医院临床试验病房, 北京 100085
近年来,随着器官移植、肿瘤化疗以及糖皮质激素、免疫抑制剂及广谱抗菌药物的广泛应用,念珠菌血症发病率呈明显上升趋势,且常预后不佳[1]。由于其临床症状表现与细菌感染相似,这就给临床医生的早期诊断造成一定程度上的困难。而作为诊断金标准的血培养,容易受到检测周期、标本采集时机和抗生素应用等诸多因素的影响,往往不能指导初始治疗方案的制定。
降钙素原(procalcitonin, PCT)是细菌感染的生物标志物,已有研究[2-8]表明,细菌菌血症患者的PCT水平高于念珠菌血症,但PCT在不同革兰染色细菌菌血症和念珠菌血症的鉴别诊断中的作用尚不明确,该研究的目的是探讨PCT血清浓度在不同革兰染色细菌菌血症之间及其与念珠菌血症的鉴别诊断中的价值,为临床上早期选择恰当的抗感染治疗提供思路。
1 资料与方法 1.1 一般资料收集2015年1月至2020年6月于中日友好医院急诊重症监护室(EICU)、呼吸重症监护室(RICU)和外科重症监护室(SICU)诊断为血流感染(bloodstream infection, BSI)的住院患者的临床资料,入选标准:①年龄≥18岁;②住院期间至少一次血培养阳性且同时进行PCT检测。排除标准:资料不全;标本污染及失访。
BSI的诊断标准参照我国卫生部2001年颁布的《医院感染诊断标准(试行)》,在临床诊断的基础上,具备以下条件之一即可诊断:①2次或以上血培养为相同病原菌且临床医生认定为致病菌;②1次血培养阳性且临床医生结合临床资料及治疗反应最终认定为致病菌。培养的凝固酶阴性葡萄球菌及其他皮肤共生菌在缺乏临床和实验室证据支持为致病菌时,均视为污染。
本研究符合医学伦理学标准,并获得中日友好医院伦理委员会审核批准(审批号:2017-110)。
1.2 研究方法 1.2.1 血培养临床疑诊脓毒症患者,在应用抗菌药物之前,按照操作规范采集血液标本送检,将血培养瓶置于Bactec™ FX全自动血培养仪(美国BD公司)中,血培养报阳者进行革兰氏染色镜检,采用常规方法和基质辅助激光解吸电离飞行时间质谱法(Bruker Daltonik, Germany)鉴定病原微生物。
1.2.2 PCT所有患者PCT检测与血培养送检时间间隔在24 h内,采用酶联荧光分析试验(ELFA,法国梅里埃公司)进行定量检测,检出限为0.05 μg/L,推荐阳性临界值为0.5 μg/L。
1.2.3 资料收集回顾性收集患者进行血培养当天的参数,包括生命体征、意识状态、氧合指数、血常规、肝肾功能、尿量等,计算序贯器官衰竭评分(sequential organ failure assessment, SOFA)。根据感染病原菌种类分为细菌菌血症和念珠菌血症,根据不同的革兰染色,细菌菌血症又进一步分为革兰阴性菌(gram-negative bacteria, GNB)菌血症、革兰阳性菌(gram-positive bacteria, GPB)菌血症,比较生物标志物PCT在不同病原体BSI之间是否存在差异,评估其对病原学诊断的价值。
1.3 统计学方法应用SPSS 23.0软件进行分析,符合正态分布的计量资料以均数±标准差(Mean±SD)表示;不符合正态分布的计量资料以中位数(四分位数)[M(QL,QU)]表示,组间比较采用非参数Kruskal-Wallis ANOVA检验。计数资料以率或构成比表示,采用χ2检验。应用受试者工作特征曲线(receiver operating characteristic curve, ROC)分析PCT对病原学诊断的效能。以P<0.05为差异有统计学意义。
2 结果 2.1 患者临床特征在1 456例BSI患者中,单一细菌感染1 261例(86.6%),念珠菌感染患者80例(5.5%),混合感染(两种或以上细菌和(或)真菌)115例(7.9%);其中,最常见的感染来源为肺部感染,占57.7%(840/1 456),其次为腹腔感染(21.6%)和泌尿系感染(8.4%)。细菌菌血症组PCT高于念珠菌血症组(P<0.05),而与混合感染组PCT值的差异无统计学意义。在SOFA方面,混合感染组高于念珠菌血症组及细菌血症组(P<0.05)。在病死率方面,BSI患者28 d病死率为24.5%(356/1 456),60 d病死率为30.6%(446/1 456);无论28 d还是60 d病死率,混合感染组均明显高于细菌菌血症组和念珠菌血症组(P<0.01)。见表 1。
| 临床特征 | 细菌菌血症(n=1 261) | 念珠菌血症(n=80) | 混合感染(n=115) | P值 |
| 性别(男性)(n,%) | 756(59.9) | 48(60.0) | 74(64.3) | 0.653 |
| 年龄(岁) | 74(62-81) | 71(66-81) | 76(66-85) | 0.133 |
| 既往病史(n,%) | ||||
| 实体肿瘤 | 198(15.7) | 28(35.0) | 28(24.3) | 0.000 |
| 血液肿瘤 | 42(3.3) | 2(2.5) | 2(1.7) | 0.609 |
| 免疫系统疾病 | 45(3.6) | 3(3.8) | 6(5.2) | 0.669 |
| 器官移植 | 9(0.7) | 0 | 1(0.9) | ---- |
| 感染来源(n,%) | ||||
| 肺部感染 | 717(56.9) | 54(67.5) | 69(60.0) | 0.152 |
| 腹腔感染 | 264(20.9) | 16(20.0) | 35(30.4) | 0.057 |
| 泌尿系感染 | 122(9.7) | 0 | 0 | ---- |
| 感染性心内膜炎 | 28(2.2) | 0 | 0 | ---- |
| 导管相关感染 | 94(7.5) | 5(6.3) | 11(9.6) | 0.644 |
| 其他感染来源 | 36(2.9) | 5(6.3) | 0 | ---- |
| 临床资料及评分 | ||||
| WBC(×109) | 10.4(7.0~14.5) | 8.7(6.9~12.9) | 8.6(6.3~12.6) | 0.074 |
| PLT(×109) | 167.0(96.0~248.0) | 189.0(128.5~260.5) | 151.5(69.5~213.0) | 0.151 |
| CRP(mg/mL) | 86.8(22.0~152.5) | 48.0(23.0~130.0) | 160.1(95.4~190.0) | 0.075 |
| Lac(mmol/L) | 2.0(1.1~2.8) | 1.6(0.87~1.9) | 2.9(1.7~3.6) | 0.065 |
| PCT(μg/L) | 2.3(0.5~13.4) | 1.1(0.4~3.4) | 1.8(0.2~16.7) | 0.040 |
| SOFA(分) | 4(2~6) | 3(2~5) | 5(2~8) | 0.029 |
| 死亡(n,%) | ||||
| 28 d死亡 | 284(22.5) | 26(32.5) | 46(40.0) | 0.000 |
| 60 d死亡 | 354(28.1) | 36(45.0) | 56(48.7) | 0.000 |
在所有单一细菌BSI患者中,GNB感染667例(52.9%),GPB 594例(47.1%)。GNB感染患者的PCT值显著高于GPB和念珠菌感染{3.4μg/L [95%可信区间(95%CI)0.7~17.0μg/L]比1.3μg/L(95%CI 0.4~7.3 μg/L);3.4 μg/L(95%CI 0.7~17.0 μg/L)比1.1 μg/L(95%CI 0.4~3.4 μg/L);P<0.01},而PCT在GPB菌血症与念珠菌血症间差异无统计学意义(P=0.321)。见图 1。
|
| PCT:降钙素原;GNB:革兰阴性菌;GPB:革兰阳性菌;CA:念珠菌 图 1 与病原体类型相关的PCT水平(μg/L) Fig 1 PCT levels associated with different pathogen types |
|
|
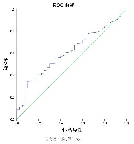
PCT鉴别诊断单一细菌菌血症与念珠菌血症的ROC曲线下面积(area under ROC, AUROC)为0.612(95%CI为0.533~0.691);应用PCT鉴别诊断细菌菌血症的最佳截断值为7.25 μg/L,敏感性为34.2%,特异性可达90.0%;当PCT为0.51 μg/和2.01 μg/L时,诊断细菌菌血症的敏感性和特异性分别为73.3%和65.0%。见图 2,表 2。
|
| PCT为降钙素原;GNB为革兰阴性菌;GPB为革兰阳性菌;CA为念珠菌 图 2 PCT诊断细菌菌血症与念珠菌血症的ROC曲线 Fig 2 ROC curve of PCT in differential diagnosis of bacteremia and candidemia |
|
|
| PCT截断值(μg/L) | 敏感性(%) | 特异性(%) | PPV(%) | NPV(%) | 约登指数 |
| 0.51 | 73.3 | 35.0 | 93.9 | 8.9 | 0.083 |
| 2.01 | 51.4 | 65.0 | 95.2 | 9.1 | 0.164 |
| 4.41 | 40.2 | 80.0 | 96.5 | 9.1 | 0.202 |
| 7.25 | 34.2 | 90.0 | 97.9 | 9.3 | 0.242 |
| 10.30 | 28.2 | 92.5 | 97.5 | 8.6 | 0.207 |
| 注:PCT:降钙素原;PPV:阳性预测值;NPV:阴性预测值 | |||||
PCT鉴别GNB菌血症与念珠菌血症的AUROC为0.695(95%CI 0.614~0.776),其最佳截断值为7.32 μg/L,敏感性为43.5%,特异性为90.0%;当PCT值为0.51 μg/L和4.41 μg/L时,其诊断GNB菌血症的敏感性和特异性分别为84.9%和80.0%。见图 3。
|
| PCT为降钙素原;GNB为革兰阴性菌;GPB为革兰阳性菌;ROC为受试者工作特征曲线 图 3 PCT诊断GNB菌血症与念珠菌血症(A)、GNB菌血症与GPB菌血症(B)的ROC曲线 Fig 3 ROC curve of PCT in differential diagnosis of bacteremia due to GNB infection and candidemia (A), bacteremia due to GNB and GPB infection (B) |
|
|
PCT鉴别诊断GNB菌血症与GPB菌血症的AUROC为0.713(95%CI 0.672~0.755),其最佳截断值为0.52 μg/L,敏感性为84.9%,特异性为49.8%;当PCT值为7.36 μg/L,其诊断GNB菌血症的特异性可达80.1%。见表 3,表 4。
| PCT截断值(μg/L) | 敏感性(%) | 特异性(%) | PPV(%) | NPV(%) | 约登指数 |
| 0.51 | 84.9 | 35.0 | 90.5 | 19.7 | 0.199 |
| 2.03 | 61.8 | 67.5 | 92.8 | 17.4 | 0.293 |
| 4.41 | 49.5 | 80.0 | 94.8 | 16.8 | 0.295 |
| 7.32 | 43.5 | 90.0 | 97.0 | 17.0 | 0.335 |
| 10.30 | 36.1 | 91.5 | 96.4 | 15.5 | 0.276 |
| 注:PCT为降钙素原;PPV为阳性预测值;NPV为阴性预测值 | |||||
| PCT截断值(μg/L) | 敏感性(%) | 特异性(%) | PPV(%) | NPV(%) | 约登指数 |
| 0.52 | 84.9 | 49.8 | 62.4 | 65.4 | 0.347 |
| 1.00 | 71.2 | 55.6 | 61.2 | 55.0 | 0.268 |
| 2.01 | 61.8 | 66.7 | 64.6 | 55.0 | 0.285 |
| 5.13 | 46.7 | 76.1 | 66.0 | 51.6 | 0.228 |
| 7.36 | 42.8 | 80.1 | 68.3 | 51.6 | 0.229 |
| 注:PCT:降钙素原;PPV:阳性预测值;NPV:阴性预测值 | |||||
本研究发现,与念珠菌血症相比较,细菌菌血症患者的PCT水平升高更明显,尤其是GNB感染者;当PCT血清浓度分别为7.25 μg/L和7.32 μg/L,其鉴别诊断细菌菌血症、GNB菌血症与念珠菌血症的特异性可达90.0%。
PCT是一种无激素活性的降钙素前体蛋白,由116个氨基酸组成,健康人血清中的含量极低;细菌感染时,在内毒素、肿瘤坏死因子(TNF-α)、白介素-6(IL-6)的作用下,PCT大量分泌至血液中,导致其血浆水平显著升高[9];而念珠菌感染患者由于炎症反应受损、免疫细胞衰竭以及阳性共刺激分子减少等[10-12],导致念珠菌血症患者PCT水平较低[13-14],这与本研究中的细菌菌血症患者PCT水平高于念珠菌血症相吻合。由于缺少细胞壁,即缺少刺激PCT分泌的因素之一——内毒素(脂多糖),导致GPB感染患者PCT水平往往低于GNB[15-19]。本研究中,GNB菌血症患者PCT水平明显高于GPB菌血症及念珠菌血症患者,而在GPB菌血症与念珠菌血症之间差异无统计学意义,这与Thomas-Rüddel等[20]的研究结果相似。
由于GNB、GPB及念珠菌感染所致的PCT水平升高不同,因此其不同血清浓度可能对病原体感染类型具有鉴别诊断意义。张晓冬[21]等的研究发现,PCT鉴别诊断GNB与GPB的AUROC为0.749(95%CI 0.654~0.845),鉴别诊断GNB与真菌感染的AUROC为0.739(95%CI 0.619~0.859),而对GPB与真菌感染无鉴别意义,这与本研究相类似;Lai等[22]的Meta分析发现,PCT诊断GNB菌血症的AUROC为0.80(95%CI 0.76~0.83),最佳截断值为1.3μg/L,综合敏感性和特异性分别为0.71和0.76;最近的一项大规模的前瞻性研究[20]也发现,PCT鉴别诊断GNB菌血症与GPB菌血症/念珠菌血症的AUROC为0.69(95%CI 0.67~0.72),最佳截断值为17.5 μg/L,敏感性和特异性分别为0.59和0.70;这与本研究中的PCT的诊断效能相类似。在本研究中,当PCT截断值为7.25 μg/L,诊断细菌菌血症的特异性为90.0%,PPV可达97.9%;当PCT截断值为7.32 μg/LL时,诊断GNB菌血症的敏感性为43.5%,特异性为90.0%。不同研究中的最佳截断值存在差异,其原因可能与病原体和感染部位的分布有关。
本研究的不足之处:本研究为回顾性研究,因此PCT水平可能受到患者发病与采血时间间隔不固定的干扰;且纳入的一些SICU病例存在非感染性的因素,如创伤、外科手术等,影响PCT水平,使得研究结果可能存在一定偏倚,因此有待进行前瞻性、多中心、大样本资料进一步验证。
综上,本研究表明,PCT能够提供BSI患者可能的病原学方面的额外信息,尤其是较高的PCT水平往往提示GNB菌血症可能。
利益冲突 所有作者均声明不存在利益冲突。
| [1] | 中国成人念珠菌病诊断与治疗专家共识组. 中国成人念珠菌病诊断与治疗专家共识[J]. 中华内科杂志, 2020, 59(1): 5-17. DOI:10.3760/cma.j.issn.0578-1426.2020.01.002 |
| [2] | Charles PE, Dalle F, Aho S, et al. Serum procalcitonin measurement contribution to the early diagnosis of candidemia in critically ill patients[J]. Intensive Care Med, 2006, 32(10): 1577-1583. DOI:10.1007/s00134-006-0306-3 |
| [3] | Martini A, Gottin L, Menestrina N, et al. Procalcitonin levels in surgical patients at risk of candidemia[J]. J Infect, 2010, 60(6): 425-430. DOI:10.1016/j.jinf.2010.03.003 |
| [4] | Cortegiani A, Russotto V, Montalto F, et al. Procalcitonin as a marker of Candida species detection by blood culture and polymerase chain reaction in septic patients[J]. BMC Anesthesiol, 2014, 14: 9. DOI:10.1186/1471-2253-14-9 |
| [5] | Miglietta F, Faneschi ML, Lobreglio G, et al. Procalcitonin, C-reactive protein and serum lactate dehydrogenase in the diagnosis of bacterial sepsis, SIRS and systemic candidiasis[J]. Infez Med, 2015, 23(3): 230-237. |
| [6] | Pieralli F, Corbo L, Torrigiani A, et al. Usefulness of procalcitonin in differentiating Candida and bacterial blood stream infections in critically ill septic patients outside the intensive care unit[J]. Intern Emerg Med, 2017, 12(5): 629-635. DOI:10.1007/s11739-017-1627-7 |
| [7] | Murri R, Mastrorosa I, Taccari F, et al. Procalcitonin is useful in driving the choice of early antibiotic treatment in patients with bloodstream infections[J]. Eur Rev Med Pharmacol Sci, 2018, 22(10): 3130-3137. DOI:10.26355/eurrev_201805_15072 |
| [8] | 唐洪影, 岳娜, 田彬, 等. 降钙素原在念珠菌血流感染中的辅助诊断价值[J]. 中华急诊医学杂志, 2018, 27(3): 254-258. DOI:10.3760/cma.j.issn.1671-0282.2018.03.006 |
| [9] | Brunkhorst FM, Heinz U, Forycki ZF. Kinetics of procalcitonin in iatrogenic sepsis[J]. Intensive Care Med, 1998, 24(8): 888-889. DOI:10.1007/s001340050683 |
| [10] | Spec A, Shindo Y, Burnham CA, et al. T cells from patients with Candida sepsis display a suppressive immunophenotype[J]. Crit Care, 2016, 20: 15. DOI:10.1186/s13054-016-1182-z |
| [11] | Cortegiani A, Russotto V, Raineri SM, et al. Dying with or because of invasive fungal infection? the role of immunity exhaustion on patient outcome[J]. Turk J Anaesthesiol Reanim, 2016, 44(6): 285-286. DOI:10.5152/tjar.2016.0013 |
| [12] | Russotto V, Cortegiani A, Raineri SM, et al. From bedside to bench: the missing brick for patients with fungal sepsis[J]. Crit Care, 2016, 20(1): 191. DOI:10.1186/s13054-016-1378-2 |
| [13] | Raineri SM, Cortegiani A, Vitale F, et al. Procalcitonin for the diagnosis of invasive candidiasis: what is the evidence?[J]. J Intensive Care, 2017, 5: 58. DOI:10.1186/s40560-017-0252-x |
| [14] | Dou YH, Du JK, Liu HL, et al. The role of procalcitonin in the identification of invasive fungal infection-a systemic review and meta-analysis[J]. Diagn Microbiol Infect Dis, 2013, 76(4): 464-469. DOI:10.1016/j.diagmicrobio.2013.04.023 |
| [15] | Yan ST, Sun LC, Lian R, et al. Diagnostic and predictive values of procalcitonin in bloodstream infections for nosocomial pneumonia[J]. J Crit Care, 2018, 44: 424-429. DOI:10.1016/j.jcrc.2017.12.022 |
| [16] | Yan ST, Sun LC, Jia HB, et al. Procalcitonin levels in bloodstream infections caused by different sources and species of bacteria[J]. Am J Emerg Med, 2017, 35(4): 579-583. DOI:10.1016/j.ajem.2016.12.017 |
| [17] | Leli C, Ferranti M, Moretti A, et al. Procalcitonin levels in gram-positive, gram-negative, and fungal bloodstream infections[J]. Dis Markers, 2015, 2015: 701480. DOI:10.1155/2015/701480 |
| [18] | Bilgili B, Haliloglu M, Aslan MS, et al. Diagnostic accuracy of procalcitonin for differentiating bacteraemic Gram-negative sepsis from Gram-positive sepsis[J]. Turk J of Anesth Rean, 2018, 46(1): 38-43. DOI:10.5152/TJAR.2017.88965 |
| [19] | Luo XF, Chen SZ, Zhang JX, et al. Procalcitonin as a marker of Gram-negative bloodstream infections in hematological patients with febrile neutropenia[J]. Leuk Lymphoma, 2019, 60(10): 2441-2448. DOI:10.1080/10428194.2019.1581928 |
| [20] | Thomas-Rüddel DO, Poidinger B, Kott M, et al. Influence of pathogen and focus of infection on procalcitonin values in sepsis patients with bacteremia or candidemia[J]. Crit Care, 2018, 22(1): 128. DOI:10.1186/s13054-018-2050-9 |
| [21] | 张晓冬, 龚平, 王文娟, 等. 血Presepsin、降钙素原和C反应蛋白对脓毒症患者不同病原菌感染鉴别价值的比较[J]. 中华急诊医学杂志, 2019, 28(7): 875-879. DOI:10.3760/cma.j.issn.1671-0282.2019.07.014 |
| [22] | Lai LY, Lai YJ, Wang H, et al. Diagnostic accuracy of procalcitonin compared to C-reactive protein and interleukin 6 in recognizing gram-negative bloodstream infection: a meta-analytic study[J]. Dis Markers, 2020, 2020: 4873074. DOI:10.1155/2020/4873074 |
2021, Vol. 30



