2. 浙江大学医学院附属杭州市一医院重症医学科,杭州 310006
目前我国已进入老龄化,心血管疾病已经成为影响人类健康和寿命的主要疾病[1]。需要冠脉搭桥、瓣膜置换和主动脉夹层手术治疗的患者越来越多,这些都需要进行体外循环的支持。由于体外循环过程中,血液系统成分的破坏,炎症介质的激活,以及随后的复灌、复温等再灌注损伤,体外循环术后患者会出现不同程度的炎症激活,炎症指标会升高[2-4]。对于临床医生来说,判断患者术后是否存在感染,是否需要使用抗生素,是临床上非常常见的难题。单靠传统的炎症指标,例如白细胞(WBC)、C反应蛋白(CRP)和降钙素原(PCT)不能够满足临床上对于体外循环术后患者抗感染治疗的指导。有研究发现,血淀粉样蛋白A(SAA)能够更加准确的判断感染,但未在体外循环术后患者中应用[5-7]。因此,本研究拟探讨SAA能否有效诊断体外循环术后患者感染,并且能够预测患者的预后。
1 资料与方法 1.1 一般资料本研究为前瞻性观察性研究。研究周期为2017年1月至2019年1月。连续收集符合纳入标准的体外循环患者。纳入标准:(1)年龄≥18岁;(2)进行体外循环的患者;(3)术后收治入ICU。排除标准:(1)患者或家属拒绝参与研究;(2)肿瘤或其他终末期患者;(3)住院时间小于7 d。(4)排除风湿,类风湿免疫性疾病以及肾脏疾病等。本研究通过医院伦理委员会审核,研究前获得家属知情同意和签字。
1.2 研究方法本研究连续收集符合入选标准的体外循环患者,收集的临床信息包括患者性别,年龄,术前诊断,心功能分级,术前1天和术后第1、2、3天血淀粉样蛋白A(SAA),WBC,CRP,PCT,以及床边胸片,B超,血培养,尿常规等临床资料。患者围手术期是否感染由病区2名副主任医师职称以上的带组医师综合病情资料后判断是否有感染并制定抗感染方案,如有诊断方面的困难,均及时请医院感染科专科医师会诊。CRP的检测采用日本日立公司全自动生化分析仪(HITACHI 27060),PCT检测仪及试剂盒为德国Brahms公司生产(Brahms PCT-Q),SAA的检测采用免疫透射比浊法(日本日立7170A全自动生化仪),整个实验操作过程由本院检验科高年资技师完成。本研究中不同部位感染的标准为临床症状和辅助检查综合判断。肺部感染的标准:影像学提示肺部存在新发或进展炎性渗出,再加上以下两项或以上:(1)发热,体温38.5 ºC以上;(2)存在呼吸道感染症状和或体征,如气道脓性分泌物等,听诊存在湿啰音等;(3)辅助检查提炎症指标升高。血流感染:血培养阳性或血液高通量检测阳性且存在序贯器官衰竭评分增加2分以上。手术创面感染:手术创面局部存在红肿热痛和或炎性渗出的表现,可伴有或不伴有全身感染的表现,如发热等。尿路感染:尿液培养阳性和或尿常规检测提示感染,可伴有发热体温38.5 ºC以上或者尿路有脓性分泌物。肠道感染:存在腹泻且粪便培养阳性或常规检测提示感染,可伴有或不伴有发热体温38.5ºC以上。
1.3 统计学方法计量资料进行正态性检验,正态分布者以均数±标准差(Mean±SD)表示,非正态分布者以中位数和四分位数(interquartile range, IQR)表示;计数资料以比或率表示。两组正态分布的计量资料比较采用成组t检验,非正态分布的计量资料比较采用Mann-Whitney U检验;率的比较采用χ2检验。采用重复测量方差分析评估不同组别患者炎症指标的变化趋势差异。采用受试者工作特征曲线(ROC曲线)法计算各炎症指标对围手术期感染的判断效能。采用多因素Logistic回归分析影响患者住院病死的独立危险因素。所有的统计学处理和作图均采用SPSS 22.0软件(SPSS Inc., Chicago, IL),以P < 0.05为差异有统计学意义。
2 结果 2.1 研究对象的基本信息研究周期内共有150例患者纳入,年龄为58~89岁,(72±12)岁。其中男性81例(占54%),女性69例(占46%)。围手术期发生感染的患者有58例(占38.7%),感染部位主要是肺部感染39例(占67.2%),血流感染10例(占17.2%),手术创面感染4例(占6.9%),尿路感染3例(占5.2%),肠道感染2例(占3.5%)。感染组和非感染组患者在性别、年龄、术前主要诊断、心功能分级上差异无统计学意义(均P > 0.05)。住院期间有18例患者死亡,病死率占12%。死亡的原因主要是多脏器功能衰竭和脓毒症。
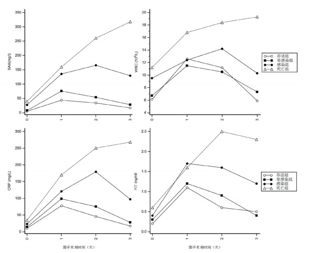
2.2 围手术期患者SAA和传统严重指标的动态变化图 1描述了感染组和非感染组患者、死亡组和存活组患者围手术期SAA和传统炎症指标(WBC、CRP和PCT)的变化趋势。可知,对于所有体外循环的手术患者,手术后第一天的炎症指标均较术前升高。经过重复测量方差分析可知,非感染组患者术后SAA和传统炎症指标(WBC、CRP和PCT)的下降速度明显快于感染组患者,F值分别为133.6、90.2、117.5和76.8,均P < 0.05。死亡组患者术后3天内SAA和传统炎症指标(WBC、CRP和PCT)无明显下降趋势(上升趋势)。死亡组和存活组患者相比,指标变化趋势差异有统计学意义,F值分别为172.4、98.6、144.0和82.1,P < 0.05。
|
| 图 1 SAA和传统炎症指标在体外循环患者围手术期的变化趋势 |
|
|
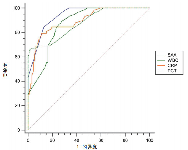
通过ROC曲线分析可知,术后第2天血SAA、WBC、CRP和PCT均能够鉴别患者有无感染,诊断的效能依次为SAA、CRP、PCT和WBC,灵敏度和特异性分别为84.48%和86.96%、79.31%和89.13%、65.52%和98.91%、89.66%和71.74%。临界值分别为118 mg/L、81 mg/L、1.4 ng/mL和10.7×109/L。图 2描述并对比了不同指标诊断感染的ROC曲线。经过统计比较可知,SAA诊断感染的效能优于WBC和PCT,P分别为0.03和0.04,与CRP的效能相当,P=0.13。其他两两比较差异无统计学意义,均P > 0.05。见表 1和图 2。
|
| 图 2 SAA和传统炎症指标评价体外循环术后患者感染的ROC曲线 |
|
|
| 指标 | 临界值 | AUC | 灵敏度 | 特异度 | 阳性似然比 | 阴性似然比 | 阳性预测值 | 阴性预测值 |
| SAA | 118 mg/L | 0.937 | 84.48 | 86.96 | 6.48 | 0.18 | 80.3 | 89.9 |
| WBC | 10.7×109/L | 0.872 | 89.66 | 71.74 | 3.17 | 0.14 | 66.7 | 91.7 |
| CRP | 81 mg/L | 0.893 | 79.31 | 89.13 | 7.3 | 0.23 | 82.1 | 87.1 |
| PCT | 1.4 ng/mL | 0.877 | 65.52 | 98.91 | 60.28 | 0.35 | 97.4 | 82.0 |
将患者性别、年龄、术前诊断、术前心功能分级、入ICU的24 h内APACHEII评分、是否感染、术后第1天血SAA和传统炎症指标为协变量进行住院期间是否病死的多因素Logistic回归分析。结果提示,术后第1天血SAA水平是患者住院病死的独立危险因素,OR为1.49(95%CI 1.27~2.96,P < 0.01)。此外,患者的年龄、APACHEⅡ评分和心功能分级也是住院病死的危险因素。见表 2。
| 危险因素 | OR | 95% CI | P值 |
| 年龄 | 1.08 | 1.04~1.22 | 0.02 |
| APACHEII评分 | 1.79 | 1.41~4.33 | < 0.001 |
| 心功能分级 | 1.62 | 1.08~2.54 | < 0.001 |
| 术后第1天SAA | 1.49 | 1.27~2.96 | < 0.001 |
SAA是一种急性期反应蛋白,在脊椎动物中高度保守,属于载脂蛋白家族中的异质类蛋白质,相对分子质量为13 581。人SAA基因位于第11号染色体,肝脏是SAA的主要合成部位,另外有极少部分在肝外合成[8-9]。在机体遭受感染、烧伤、创伤、手术等急性应激时,巨噬细胞和单核细胞被激活,释放炎症介质IL-1和TNF-α,后者继而刺激基质细胞表达炎症介质IL-6、IL-8和单核细胞趋化因子。这些炎症介质特别是IL-1和IL-6进入血循环而被运输至肝脏,刺激肝细胞和肝巨噬细胞合成SAA,此时循环血中SAA水平明显升高[10-11]。循环血中的SAA作为一种化学趋化物,诱导单核细胞、粒细胞、肥大细胞、T淋巴细胞等到达炎症部位。SAA的抗炎活性包括抑制淋巴细胞功能、抑制TNF-α和IL-1介导的发热反应以及抑制血小板的聚集等。SAA还可抑制中性粒细胞的呼吸爆发,防止组织细胞的氧化损伤。与C反应蛋白类似,SAA的浓度是反映感染性疾病早期炎症的敏感指标,有助于炎症的诊断、监测及治疗。PCT由166个氨基酸组成,是降钙素的前体,主要由甲状腺髓质C细胞产生。健康人由PCT基因(降钙素基因相关肽1,CALC-1)进行转录、翻译,仅在甲状腺髓质C细胞产生PCT。生成的PCT很快被特殊的酶裂解成三个物质:钙抑肽、降钙素、N末端氨基酸片段。只有少量的PCT被释放进入血液循环系统,其浓度一般<0.05 ng/mL。有研究表明,当机体发生炎症时,靶细胞(外周血单个有核细胞)在脂多糖等多种炎症相关因子作用下分泌PCT,PCT合成大于分解,未分解的PCT释放入血液,最终导致血液循环中的PCT升高。
本研究中SAA和传统炎症指标在体外循环术后均会发生不同程度的升高,主要原因是由于体外循环过程中,血液系统成分的破坏,以及炎症介质的激活,以及体外循环结束后,复灌,复温等再灌注损伤介导。但通过ROC曲线分析,SAA诊断体外循环患者围手术期感染的效能优于其他炎症指标。可能的原因是相对于CRP等急性时相蛋白,SAA对于感染的刺激更加敏感。
目前SAA的研究主要集中在对于感染的早期判断以及相关疾病预后的预警。例如SAA可作为女性冠脉疾病和心血管疾病预后的监测指标,SAA和流行性冠心病的联系,SAA在不稳定性心绞痛中的诊断价值,关于类风湿关节炎患者SAA水平变化及其临床意义的研究,以及连续性血液净化对多器官功能障碍综合征患者SAA表达和T淋巴细胞亚群的影响,以及在慢性阻塞性肺疾病急性加重期、肾脏相关疾病中的研究。国内有学者利用国产试剂盒检测SAA来鉴别诊断儿童细菌感染和病毒感染。研究结果提示SAA联合白细胞和C反应蛋白可较好的鉴别两者的感染。此外,也有学者评估SAA、降钙素原和高敏C反应蛋白在COPD患者急性加重期感染鉴别诊断中的作用。
本研究还发现术后第1天SAA能够较好的评估患者的预后,是患者不良预后的独立危险因素。研究还发现患者的年龄、APACHEII评分和心功能分级也是不良预后的独立危险因素。死亡组患者术后SAA水平持续升高,可能的原因与患者基础疾病较重,机体免疫功能极差,术后发生严重感染有关。
利益冲突 所有作者均声明不存在利益冲突。
| [1] | 中国心血管病报告编写组. 《中国心血管病报告2016》概要[J]. 中国循环杂志, 2017, 32(6): 521-530. DOI:10.3969/j.issn.1000-3614.2017.06.001 |
| [2] | 谭今, 刘胜中, 于涛, 等. 体外循环心脏直视术后手术部位感染的危险因素分析及炎症指标表达水平[J]. 中华医院感染学杂志, 2018, 28(22): 3430-3433, 3465. DOI:10.11816/cn.ni.2018-173577 |
| [3] | 樊国亮, 张英飞, 陈铁男, 等. 冠状动脉旁路移植术后肺部感染发生的危险因素分析[J]. 中国循环杂志, 2019, 34(2): 139-143. DOI:10.3969/j.issn.1000-3614.2019.02.006 |
| [4] | Salis S, Mazzanti VV, Merli G, et al. Cardiopulmonary bypass duration is an independent predictor of morbidity and mortality after cardiac surgery[J]. J Cardiothorac Vasc Anesth, 2008, 22(6): 814-822. DOI:10.1053/j.jvca.2008.08.004 |
| [5] | Yuan HN, Huang J, Lv B, et al. Diagnosis value of the serum amyloid A test in neonatal sepsis: a meta-analysis[J]. Biomed Res Int, 2013, 2013: 520294. DOI:10.1155/2013/520294 |
| [6] | Hedegaard SS, Wisborg K, Hvas AM. Diagnostic utility of biomarkers for neonatal sepsis: a systematic review[J]. Infect Dis (Lond), 2015, 47(3): 117-124. DOI:10.3109/00365548.2014.971053 |
| [7] | Arnon S, Litmanovitz I, Regev RH, et al. serum amyloid A: an early and accurate marker of neonatal early-onset Sepsis[J]. J Perinatol, 2007, 27(5): 297-302. DOI:10.1038/sj.jp.7211682 |
| [8] | Yamada T. Serum amyloid A (SAA): pathogenicity and implication of appearance in plasma[J]. Rinsho Byori, 2006, 54(5): 509-512. |
| [9] | Kuśnierz-Cabala B, Galicka-Latała D, Naskalski JW. Diagnostic value of serum amyloid A protein (SAA) determination[J]. Przegl Lek, 2007, 64(2): 115-117. |
| [10] | Wu TL, Chen Tsai I, Chang PY, et al. Establishment of an in-house ELISA and the reference range for serum amyloid A (SAA): complementarity between SAA and C-reactive protein as markers of inflammation[J]. Clin Chim Acta, 2007, 376(1/2): 72-76. DOI:10.1016/j.cca.2006.07.012 |
| [11] | Abe-Dohmae S, Kato KH, Kumon Y, et al. Serum amyloid A generates high density lipoprotein with cellular lipid in an ABCA1- or ABCA7-dependent manner[J]. J Lipid Res, 2006, 47(7): 1542-1550. DOI:10.1194/jlr.M600145-JLR200 |
2021, Vol. 30



