2. 中国人民解放军总医院第一临床中心急诊医学科, 北京 100853
2. Department of Emergency Medicine, The First Medical Center of PLA General Hospital, Beijing 100853, China
中国每年因冠心病导致的猝死人群占猝死人群总数的一半以上[1]。急性冠脉综合征(acute coronary syndrome,ACS)常以急性胸痛起病,在数小时或数天内致死。尽管传统的研究注重病史、心电图和实验室评估,但早期诊断的分子标志物多年没有更新,一些漏诊误诊时有发生[2]。早期诊断对于及时缓解心肌损伤、指导最佳药物治疗及血运重建方面具有重要意义。生长分化因子15(growth differentiation factor15, GDF15)作为新型的心血管疾病标志物,对心血管疾病的预后预测价值,近年来受国内外学者广泛关注[3-4]。但是GDF15对急性胸痛的早期诊断预测价值尚未见报道。本研究旨在探索GDF15在急性胸痛中的早期诊断价值。
1 资料与方法 1.1 一般资料选取2020年1月至11月于解放军总医院海南医院急诊科就诊的急性胸痛患者96名进行比较。纳入标准:①就诊前24 h内新发胸痛症状的患者;②排除因外伤引起的胸痛患者;③排除因未能完善检查而导致诊断不清楚的患者。联合两名急诊科主治医师对患者病史进行回顾,明确胸痛的发生病因,并根据国家胸痛中心对于胸痛进行分类,分别分成:ST段抬高型心肌梗死组(STEMI组)、非ST段抬高型心肌梗死组(NSTEMI组)、不稳定心绞痛(UA组)、心源性心痛组、非心源性胸痛组及其他组。因呼吸心搏骤停组来诊前已死亡,未能明确诊断,故将其归入其他组。ACS包括ST段抬高型心肌梗死、非ST段抬高型心肌梗死及不稳定心绞痛,故将急性胸痛分为ACS相关性胸痛和非ACS相关性胸痛两大类[5]。
1.2 研究方法 1.2.1 临床检验指标患者入院后30 min内收集首次静脉血标本,采血离心后留取血浆样本。其中:肌钙蛋白T(Troponin t, TnT), 肌酸激酶(Creatine Kinase, CK),肌酸激酶同工酶(Creatine Kinase isoenzyme MB, CK-MB),GDF15,B型钠尿肽(B type Natriuretic Peptide, BNP)。生化检查采用自动血生化分析仪(Hitach 7600DDP,日本),在解放军总医院海南医院生化科进行;GDF15采用荧光免疫层析法测定试剂盒(上海乐合生物科技有限公司,中国)进行检测。所有结果均通过本院伦理委员会论证(伦理审核号:第S2019-087-01号),所有结果均征得患者知情同意。
1.2.2 心脏射血分数测定使用床旁超声机(LOGIQ e, 美国)或Siemens 2000超声机(Siemens, 德国)进行心脏射血分数测量。操作人员均为超声科主治以上医师。
1.2.3 冠状动脉造影及Gensini评分(反映血管狭窄程度)进行冠状动脉造影者均是心内科高级职称亲自在解放军总医院海南医院导管室实施,植入支架有两种,包括美敦力支架(美国)和乐普支架(中国)。手术前均得到患者本人及家属知情同意并签字。根据美国心脏病协会所规定的冠状动脉血管图像记分分段评价标准,采用Gensini积分系统,对每支冠脉血管病变狭窄程度进行定量评定:即狭窄程度以最严重处为标准,狭窄直径 < 25%计1分,≥25%~ < 50%计2分,≥50%~ < 75%计4分,≥75%~ < 90%计8分,≥90%~ < 99%计16分,≥99%计32分。根据不同冠脉分支将以上得分乘以相应系数,左主干病变:得分×5;左前降支病变: 近端×2.5,中段×1.5;对角支病变:D1×1,D2×0.5;左回旋支病变:近端×2.5,远端×1;后降支×1;后侧支×0.5;右冠状动脉病变:近、中、远和后降支均×1。各病变支得分总和即为患者的冠状动脉病变狭窄程度总积分[6]。
1.3 统计学方法使用SPSS 19.0统计软件进行统计学分析。当计量资料符合正态性分布,采用独立样本t检验;不符合正态分布的数据采用Mann-Whitney U检验进行比较。采用R语言pROC包绘制受试者工作特征曲线(ROC),计算AUC值,评价各指标对ACS相关性胸痛的诊断效能。相关性分析采用正态分布变量的Pearson相关分析。相关性分析图、箱型图等由Prism Graphpad8完成绘制,以P<0.05为差异具有统计学意义。
2 结果 2.1 急性胸痛各组间一般情况比较通过比较急性胸痛各组间性别、年龄及既往史(糖尿病、高血压),发现急性胸痛中总的趋势呈现男多女少(72.92% vs. 27.08, %), 年龄(60.19±17.41)岁。其中以心源性心痛与呼吸心搏骤停组男女比例最大,均为(85.71% vs. 14.29, %),年龄最大的组别为UA组,年龄(64.67±13.87)岁,年龄最小的组别是呼吸心搏骤停组,仅为47.29±9.99岁。STEMI组、NSTEMI组、UA组中既往罹患高血压病比例较高,所有组别均未在既往罹患糖尿病中表现出明显优势(见表 1)。
| 组别 | 例数 | 性别 (男,%) |
年龄(岁,Mean±SD) | 高血压史(n, %) | 糖尿病史(n, %) |
| 非心源性胸痛 | 23 | 15(65.22) | 55.96±23.11 | 8 (34.8) | 4 (17.3) |
| 心源性心痛 | 14 | 12(85.71) | 65.21±13.58 | 8 (57.1) | 6 (42.9) |
| 呼吸心搏骤停 | 7 | 6(85.71) | 47.29±9.99 | 1 (14.3) | 2 (28.5) |
| UA | 16 | 10(62.50) | 64.67±13.87 | 13 (81.2) | 6 (37.5) |
| NSTEMI | 19 | 14(73.68) | 62.70±14.87 | 14 (73.7) | 5 (26.3) |
| STEMI | 17 | 13(76.47) | 62.36±15.05 | 11 (64.7) | 4 (13.5) |
| 总数 | 96 | 70(72.92) | 60.19±17.41 | 55 (57.3) | 27 (28.1) |
进一步比较急性胸痛各组间检验指标的差异情况,发现急性胸痛中肌钙蛋白T(TnT)、肌酸激酶(CK)、肌酸激酶同工酶(CK-MB)、脑利钠肽前体(BNP)、GDF15在各组间的差异均具有统计学意义,表明这些指标在急性胸痛均具有鉴别诊断价值(见表 2)。
| 组别 | 例数 | 肌钙蛋白T(ng/mL) | 肌酸激酶(U/L) | 肌酸激酶同工酶(U/L) | 脑利钠肽前体(pg/mL) | GDF15(ng/mL) |
| 非心源性胸痛 | 23 | 0.015±0.017 | 128.79±110.85 | 7.04±5.68 | 55.9±23.6 | 0.87±0.33 |
| 心源性心痛 | 14 | 0.073±0.137 | 121.09±85.88 | 19.12±6.81 | 915.45±1150.79 | 1.89±1.23 |
| 呼吸心搏骤停 | 7 | 1.705±0.959 | 349.00±369.85 | 168.13±161.20 | 10880.00±16558.02 | 2.92±1.55 |
| UA | 16 | 0.017±0.018 | 110.85±128.79 | 15.68±7.04 | 313.90±368.59 | 1.70±1.04 |
| NSTEMI | 19 | 0.731±1.562 | 203.92±162.10 | 30.21±23.68 | 1765.90±2209.95 | 2.84±1.96 |
| STEMI | 17 | 2.077±3.443 | 921.1±1228.9 | 97.66±118.70 | 2316.2±3965.35 | 3.37±2.37 |
| F值 | 4.729 | 5.829 | 9.751 | 6.268 | 6.832 | |
| P值 | <0.001 | <0.001 | <0.001 | <0.001 | <0.001 |
ACS包含STEMI、NSTEMI及UA。通过将这三类组别合并成ACS相关性胸痛组,并与剩余的非ACS相关性胸痛组进行比较, GDF15在ACS相关性胸痛组患者血浆中的浓度更高,且结果具有统计学意义[(2.360±1.710) ng/mL vs. (1.380±1.040) ng/mL, P < 0.01]。见图 1。
|
| 图 1 GDF15在ACS相关性胸痛组与非ACS相关性胸痛组的浓度比较 Fig 1 Comparison of GDF15 concentrations between ACS associated chest pain group and non-ACS associated chest pain group |
|
|
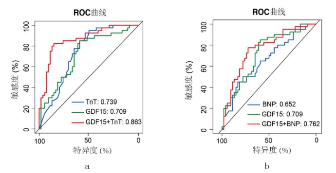
TnT,GDF15,TNT联合GDF15的AUC值分别为0.739、0.709、0.863,而BNP以及TNT+BNP作为指标的AUC值分别为0.652、0.762。与传统的诊断标志物相比较,TnT联合GDF15具有更加良好的诊断价值(见图 2)。
|
| A: TnT、GDF15及联合诊断在ACS相关性胸痛中的诊断价值;B:BNP、GDF15及联合诊断在ACS相关性胸痛中的诊断价值 图 2 TnT、BNP和GDF15在ACS相关性胸痛中的诊断价值 Fig 2 Diagnostic value of TNT, BNP and GDF15 in ACS related chest pain |
|
|
为了评估GDF15与患者心脏功能指标、血管狭窄程度以及患者康复情况之间的关系,我们试图比较GDF15与心脏射血分数、Gensini评分、植入支架个数及患者住院天数之间的相关性。结果显示GDF15浓度分别与心脏射血分数负相关,Gensini评分正相关,植入支架个数正相关,患者住院天数正相关,结果具有统计学意义。此外,也发现支架植入个数越多,GDF15的浓度越高,这从侧面反映GDF15在一定程度上能体现心脏的病变程度。
| 指标 | 例数 | GDF15(ng/mL) | P1值 | P2值 | P3值 |
| 心脏射血分数 | 0.0176 | 0.0014 | |||
| < 50 | 7 | 4.094±2.085 | |||
| 50~60 | 31 | 2.198±1.969 | |||
| > 60 | 15 | 1.679±0.812 | |||
| Gensini评分 | 0.018 | ||||
| 1~80 | 25 | 1.797±1.286 | |||
| 80~160 | 8 | 4.363±2.114 | |||
| 植入支架个数 | 0.0246 | 0.0446 | 0.0357 | ||
| 0 | 5 | 0.798±0.511 | |||
| 1 | 17 | 2.493±1.771 | |||
| 2 | 6 | 2.640±1.925 | |||
| ≥3 | 3 | 4.828±1.536 |
|
| 图 3 GDF15与心脏射血分数、Gensini评分、植入支架个数及患者住院天数之间的关系 Fig 3 The association of GDF15 with ejection fraction, Gensini score, number of stents implanted, and length of hospital stay |
|
|
急性胸痛是临床较为常见的一类症状,其病因复杂多变,需要对多种疾病进行鉴别诊断[7]。通过对患者一般情况进行分析,本课题组发现性别、年龄及高血压病史与急性胸痛的发生呈明显的相关性,与既往报道[8]一致。在对急性胸痛检验分析中发现,各组间心肌标记物、BNP及GDF15具有差异性,是临床胸痛患者最主要的鉴别诊断手段。在ACS相关性胸痛及心源性胸痛中,GDF15浓度明显高于其他组。进一步分析发现,GDF15联合TnT可提高ACS的诊断价值。相关性分析发现,GDF15浓度与患者病情严重程度呈正相关。
ACS常以急性胸痛为主要症状,有时也以其他不典型症状为首发症状[9]。临床上常以临床症状、心电图及心肌酶谱来诊断急性心肌梗死[10], 但对于急性冠脉综合征中同样危险的不稳定心绞痛缺乏早期检测手段[11],只能通过GRACE评分、TIMI评分和CRUSADE评分间接评估危险程度来决定是否需要住院进一步完善心脏CT或冠脉造影检查。尽管如此,仍然有大量急性冠脉综合征的患者被误诊,甚至有2%~5%的患者在急诊科就已被漏诊[9]。其中一部分患者既往罹患肿瘤疾病,在肿瘤治疗过程中出现了心血管损伤。血管痉挛、血栓形成以及辐射引起的心血管损伤均会促使急性冠脉综合征的形成。这一系列症状常常与癌痛难以鉴别,其他如大麻类止痛药的滥用也会增加急性冠脉综合征的风险。急性冠脉综合征的分类主要依赖心电图上的ST段表现。一旦确定为ST段抬高型心肌梗死,需要立即进行溶栓或经皮冠状动脉介入术。而非ST段抬高型心肌梗死及不稳定心绞痛在病理生理上发生机制及造成后果完全一致,使得不稳定心绞痛的鉴别诊断成为了许多临床医生不得不面对的难题之一。
GDF15在动脉粥样硬化斑块的形成和破裂中起着重要作用。TnT是诊断急性心肌梗死的典型标记物,但其对不稳定心绞痛并不敏感,所以急需其他心肌标记物弥补这一缺陷。传统的CK、CK-MB、BNP等心肌标记物主要对急性心肌梗死或心力衰竭有诊断价值。本研究中发现,GDF15和TnT联合可提高ACS的诊断价值。这意味着在急性胸痛早期即可明确ACS的诊断,对于挽救损伤的心肌意义重大,同时早期干预也使得ACS相关并发症的减少,降低了猝死、再次梗死以及心衰的发生率。这也是单纯TnT诊断ACS的不足之处。不仅如此,GDF15的浓度还与急性冠脉综合征的病情严重程度呈正相关。GDF15可以作为独立因素预测心血管患者死亡风险,且递增风险在传统的低风险患者中表现得更加明显。
利益冲突 所有作者均声明不存在利益冲突
| [1] | Zhang S. Sudden cardiac death in China: current status and future perspectives[J]. Europace, 2015, 17(Suppl 2): ii14-ii18. DOI:10.1093/europace/euv143 |
| [2] | Expert Panel on Cardiac Imaging, Batlle JC, Kirsch J, et al. ACR appropriateness criteria? chest pain-possible acute coronary syndrome[J]. J Am Coll Radiol, 2020, 17(5S): S55-S69. DOI:10.1016/j.jacr.2020.01.027 |
| [3] | Sharma A, Vaduganathan M, Ferreira JP, et al. Clinical and biomarker predictors of expanded heart failure outcomes in patients with type 2 diabetes mellitus after a recent acute coronary syndrome: insights from the EXAMINE trial[J]. J Am Heart Assoc, 2020, 9(1): e012797. DOI:10.1161/jaha.119.012797 |
| [4] | Buljubasic N, Vroegindewey MM, Oemrawsingh RM, et al. Temporal pattern of growth differentiation factor-15 protein after acute coronary syndrome (From the BIOMArCS Study)[J]. Am J Cardiol., 2019, Jul 1;124(1): 8-13. DOI:10.1016/j.amjcard.2019.03.049. |
| [5] | 王雅, 蔡凌云, 陈志美, 等. 急性冠脉综合征患者经皮冠状动脉介入治疗术后再入院影响因素的系统评价[J]. 中华急诊医学杂志, 2021, 30(1): 104-108. DOI:10.3760/cma.j.issn.1671-0282.2021.01.021 |
| [6] | Gensini GG. A more meaningful scoring system for determining the severity of coronary heart disease[J]. Am J Cardiol, 1983, 51(3): 606. DOI:10.1016/s0002-9149(83)80105-2 |
| [7] | Alderwish E, Schultz E, Kassam Z, et al. Evaluation of acute chest pain: Evolving paradigm of coronary risk scores and imaging[J]. Rev Cardiovasc Med, 2019, 20(4): 231-244. DOI:10.31083/j.rcm.2019.04.589 |
| [8] | McConaghy JR, Sharma M, Patel H. Acute chest pain in adults: outpatient evaluation[J]. Am Fam Physician, 2020, 102(12): 721-727. |
| [9] | Smith LM, Ashburn NP, Snavely AC, et al. Identification of very low-risk acute chest pain patients without troponin testing[J]. Emerg Med J, 2020, 37(11): 690-695. DOI:10.1136/emermed-2020-209698 |
| [10] | 张新超, 陈曦. 2020年老年心血管急重症研究进展[J]. 中华急诊医学杂志, 2021, 30(2): 144-151. DOI:10.3760/cma.j.issn.1671-0282.2021.02.003 |
2021, Vol. 30



