多发伤已成为人类致死和致残的最主要的原因之一[1-2]。多发伤是指同一致病因素作用下,所致的两个或两个以上解剖部位或脏器的损伤,同时其中至少有一处危及生命;其严重程度则依照ISS评分而定,当ISS>16分时定义为严重多发伤[3]。严重多发伤患者存在有不同程度的创伤性休克,组织损伤,同时液体复苏过度所致的容量过负荷及大剂量血管活性药物的应用等,均可导致急性肾损伤(acute kidney injury, AKI)的发生[4]。当严重多发伤患者合并AKI,其进展为多器官功能障碍和死亡的风险均明显增加[5-6]。但目前临床上缺乏对严重多发伤患者发生AKI的早期预测指标,因此,从患者肾脏灌注相关指标入手,寻找严重多发伤患者发生AKI的预测因子,从而制定降低或避免AKI发生的个体化治疗方案,将有益于改善多发伤患者的预后。
1 资料与方法 1.1 入组标准选取2019年01月至2019年12月中南大学湘雅三医院创伤中心的严重多发伤患者为研究对象(图 1)。纳入标准:①年龄在18~80岁之间;②符合严重多发伤诊断标准(ISS>16分);③住院时间超过24 h;④无肾脏实质损伤;⑤神志清楚配合测压。
|
| 图 1 入组患者的研究方案图 Fig 1 The flow chart of the enrolled patients |
|
|
排除标准:①患者入院后因各种原因死亡且受伤至死亡时间<24 h;②明显消化道穿孔,腹腔内实质脏器破裂大出血等48 h内需急诊腹部探查手术指征患者;③明显大量血气胸、大量心包积液、进行性血胸等48 h内需急诊胸部手术患者;④上肢动脉畸形、桡动脉闭塞或上肢骨筋膜室综合征等48 h内需急诊骨科手术患者;⑤48 h内需气管插管呼吸机辅助呼吸患者;⑥既往确诊肾实质病变及慢性肾功能不全者;⑦受伤至入院超过24 h患者。
本项目研究经中南大学湘雅三医院伦理委员会批准并同意实施(伦理编号:2018-S256),由于回顾性研究的特性,无需签署患者知情同意书。
1.2 临床资料与分组患者一般资料(年龄、性别等),临床资料(ISS评分,住院首次抽血结果,包括血常规,肝肾功能,血清乳酸等)、24 h内尿量均通过本院急诊及住院系统获取;患者上肢平均动脉压(MAP)通过桡动脉置管测压获取;中心静脉压(CVP)通过颈内静脉置管或锁骨上静脉置管测压(呼气末测压)获取;腹内压(IAP)通过留置尿管进行膀胱测压获取[7]。MAP、CVP及IAP在入TICU的0 h,6 h,12 h及24 h持续监测;肾脏灌注压估算值(estimated renal perfusion pressure,eRPP)采用下列计算公式计算:eRPP =MAP-(IAP+CVP);上述指标单位均为mmHg计算(1 mmHg = 1.36 cmH2O,1 mmHg=0.133 kPa,1 cmH2O=0.098 kPa)。按2012年全球肾脏病预后组织(KDIGO)标准对急性肾损伤进行诊断和分级[8]。其中主要终点为入院72 h内急性肾损伤的发生;次要终点包括患者ICU住院时间、住院病死率。
1.3 统计学方法本研究采用SPSS 26.0及PRISM 8.3.0软件进行统计学分析及作图,计量资料用均数±标准差(Mean±SD)或百分比(%)表示。采用ROC曲线对相关指标的诊断价值进行分析并寻找最佳截断值;组间比较采用Student's t-test检验,检测指标与临床病理特征相关性分析采用χ2检验,多因素变量分析采用logistic回归进行检验。以P < 0.05为差异有统计学意义。
2 结果 2.1 一般资料比较本研究最终纳入173例严重多发伤患者,其中AKI组42例,非AKI组131例。两组间在年龄、性别、胆红素、入科时尿素氮与肌酐水平上差异无统计学意义。同时AKI组血清白蛋白水平[(32.21±5.20)g/L vs. (34.83±4.20)g/L, P =0.001]及24 h尿量[(711.90±241.38)mL vs.(1 101.21±509.86)mL, P < 0.001)显著低于非AKI组,且AKI组患者血清乳酸水平[(2.80±0.96)mmol/L vs. (1.89±0.63)mmol/L, P < 0.001)、ISS评分[(29.05±5.91) vs. (22.17±4.02), P < 0.001]、APECHE Ⅱ评分[(38.84±21.47) vs. (31.45±18.24), P =0.03]、SOFA评分[(5.26±2.08) vs. (3.14±1.34), P < 0.001]及住院病死率(9.52% vs. 2.29%, P =0.04)均高于非AKI组。同时AKI组ICU住院时间均较非AKI组长[(8.43±6.46)d vs (6.42±3.78)d,P =0.01](表 1)。
| 指标 | AKI组(n=42) | 非AKI组(n=131) | t值 | P值 |
| 一般情况 | ||||
| 男/女 | 23/19 | 69/62 | -0.24 | 0.82 |
| 年龄(岁) | 52.48±12.47 | 50.05±14.79 | 0.96 | 0.34 |
| 实验室指标 | ||||
| 血红蛋白(g/L) | 83.83±18.59 | 89.68±17.32 | -1.87 | 0.06 |
| 血小板(×109 /L) | 109.71±52.07 | 126.73±54.12 | -1.79 | 0.08 |
| 总胆红素(μmol/L) | 16.60±6.52 | 17.12±8.44 | -0.37 | 0.71 |
| 白蛋白(g/L) | 32.21±5.20 | 34.83±4.20 | -3.31 | 0.001 |
| 尿素氮(mmol/L) | 6.68±4.35 | 6.12±3.42 | 0.86 | 0.39 |
| 肌酐(μmol/L) | 92.48±22.47 | 88.42±18.49 | 1.17 | 0.24 |
| 血清乳酸(mmol/L) | 2.80±0.96 | 1.89±0.63 | 7.05 | <0.001 |
| 疾病严重程度评分表 | ||||
| ISS评分 | 29.05±5.91 | 22.17±4.02 | 8.54 | <0.001 |
| APECHE Ⅱ评分 | 38.84±21.47 | 31.45±18.24 | 2.19 | 0.03 |
| SOFA评分 | 5.26±2.08 | 3.14±1.34 | 7.72 | <0.001 |
| 终点相关指标 | ||||
| 住院病死率(%) | 9.52 | 2.29 | 2.08 | 0.04 |
| ICU住院时间(d) | 8.43±6.46 | 6.42±3.78 | 2.48 | 0.01 |
| 24 h尿量(mL) | 711.90±241.38 | 1101.21±509.86 | -4.77 | <0.001 |
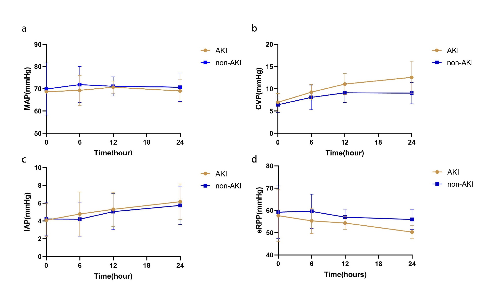
对患者入院0 h、6 h、12 h及24 h的MAP、CVP、IAP及eRPP值进行分析,结果如表 2所示,经过液体复苏及处理后,AKI组与非AKI组的MAP及IAP在不同时间段均差异无统计学意义(P > 0.05)见表 2。但AKI组患者的CVP较非AKI组明显增高,eRPP明显降低(P < 0.05),且两组患者的CVP及eRPP值在入院24 h时差异最为显著,见图 2。
| 指标 | AKI组(n=42) | 非AKI组(n=131) | t值 | P值 |
| MAP (mmHg) | ||||
| 0 h | 68.69±11.10 | 69.89±11.75 | -0.59 | 0.56 |
| 6 h | 69.33±6.78 | 71.87±8.15 | -1.82 | 0.07 |
| 12 h | 70.71±2.75 | 71.11±4.29 | -0.57 | 0.57 |
| 24 h | 69.02±5.06 | 70.73±6.38 | -1.58 | 0.12 |
| CVP (mmHg) | ||||
| 0 h | 6.95±1.96 | 6.41±1.74 | 1.70 | 0.09 |
| 6 h | 9.24±1.74 | 8.08±2.78 | 2.53 | 0.01 |
| 12 h | 11.05±2.37 | 9.09±2.15 | 5.00 | <0.001 |
| 24 h | 12.57±3.61 | 9.02±2.39 | 7.35 | <0.001 |
| IAP (mmHg) | ||||
| 0 h | 4.10±1.86 | 4.23±1.83 | -0.41 | 0.68 |
| 6 h | 4.79±2.48 | 4.20±1.92 | 1.61 | 0.11 |
| 12 h | 5.31±1.93 | 5.05±2.03 | 0.74 | 0.46 |
| 24 h | 6.17±1.99 | 5.75±2.16 | 1.11 | 0.27 |
| eRFF (mmHg) | ||||
| 0 h | 57.64±11.72 | 59.25±11.81 | -0.77 | 0.44 |
| 6 h | 55.31±5.69 | 59.59±7.70 | -3.33 | 0.001 |
| 12 h | 54.36±2.87 | 56.98±3.60 | -4.30 | <0.001 |
| 24 h | 50.29±3.00 | 55.96±4.58 | -7.53 | <0.001 |
|
| 图 2 不同时间段的平均动脉压(A)、中心静脉压(B)、腹内压(C)及预估肾灌注压(D)在AKI组与非AKI组的水平比较 Fig 2 The MAP (A), CVP (B), IAP (C) and eRFF (D) values during different timeframes in the AKI group and non-AKI group |
|
|
采用logistic回归模型对上述指标进行多因素分析,发现入院24 h尿量(RR:0.997,P = 0.001)、24 h CVP值(RR: 1.558,P < 0.001)和eRPP值(RR:0.578,P < 0.001)对严重多发伤患者发生AKI具有独立预测价值,见表 3。
| 预测因子 | B | SE | RR | 95% CI | P值 |
| 血红蛋白(g/L) | -0.019 | 0.019 | 0.981 | 0.945-1.019 | 0.322 |
| 血小板(×109 /L) | -0.007 | 0.006 | 0.993 | 0.981-1.005 | 0.265 |
| 白蛋白(g/L) | -0.032 | 0.073 | 0.968 | 0.840-1.116 | 0.655 |
| 血清乳酸(mmol/L) | 0.763 | 0.499 | 2.145 | 0.806-5.708 | 0.126 |
| 24 h CVP (mmHg) | 0.443 | 0.124 | 1.558 | 1.222-1.985 | <0.001 |
| 24 h eRPP (mmHg) | -0.549 | 0.140 | 0.578 | 0.439-0.760 | <0.001 |
| 24 h尿量(mL) | -0.003 | 0.001 | 0.997 | 0.996-0.999 | 0.001 |
进一步通过ROC曲线分析患者入院24 h尿量、CVP及eRPP值的诊断价值及寻求最佳截断值;结果显示,24 h的eRPP比24 h的CVP值具有更好的预测价值(AUC:0.844;其中eRPP =54.5 mmHg为最佳截断值,灵敏度为58.8%;特异度:95.2%),见图 3。
|
| 24 h尿量(A)、24 h CVP(B)及24 h eRPP(C)的曲线下面积分别为0.730、0.734与0.844 图 3 ROC曲线分析24 h尿量、CVP值与eRPP值。 Fig 3 Receiver operating characteristic (ROC) curves to analyze the 24 h urine output, values of CVP and eRPP |
|
|
创伤性休克是严重多发伤患者早期的死亡原因之一[9-10]。休克可引起低体温,酸中毒与凝血障碍,甚至创伤性凝血病的发生,并最终导致患者死亡[11-12]。因此早期充分的液体复苏纠正休克,有助于改善患者预后和降低病死率[13]。但目前临床缺乏液体复苏的个体化精准治疗方案,复苏不充分,则肾脏灌注不足导致肾缺血,但若复苏过量,则液体过负荷导致肾淤血,二者均可引起肾脏的缺氧性改变,导致肾小球滤过功能障碍,此外因缺氧所致的局部炎症介质的释放则进一步加重肾单位的损伤,并最终导致AKI的发生[14-15]。当严重多发伤患者出现AKI后,更易发生多器官功能障碍综合征(MODS),极大的增加了患者的死亡风险[16-18]。因此,积极寻找精准的液体复苏方案,维持适度的肾脏灌注,预防AKI的发生,是目前严重多发伤患者的救治过程中亟需解决的问题。
既往在脓毒血症及心脏外科手术术后患者的观察性研究中发现,中心静脉压过高或腹内压过高,可导致AKI的发生,提示CVP、IAP可作为AKI发生的独立预测因子及液体复苏的导向指标。然而CVP值可受到多种因素的干扰,如腹腔内压,心功能等,并且存在明显的个体化差异。并且IAP也是一项多变值,受诸多因素影响可能导致结果产生明显偏移,即使腹内压正常,仍可能发生AKI,因此CVP或IAP均不能作为AKI发生的独立预测指标。
由于肾脏前后负荷的增加均可导致AKI的发生,故保证恰当的肾动静脉压力差即肾灌注压(RPP)是预防AKI发生的有效措施。但临床工作中患者肾动静脉压力监测难度较大,能否通过简单易行的方法估算出RPP值,指导临床液体治疗,将是一种有益尝试。
根据血流动力学特点,MAP在一定程度上能反映肾动脉压力,CVP+IAP能反映肾静脉压力,计算二者的差值可得到肾灌注压估算值eRPP,即eRPP =MAP-(CVP+IAP)。从理论上,eRPP能反映出实际肾灌注压水平的变化,可能成为AKI发生的有效预测指标。相较单独MAP、CVP或IAP,eRPP可有效减少各个指标互相影响所带来的较大偏移。通过本研究发现,严重多发伤患者的血清白蛋白水平、乳酸水平、24 h尿量、ISS评分、SOFA评分、APECHE Ⅱ评分与AKI的发生相关,AKI组患者较非AKI组ICU住院时间长、病死率高。通过动态监测MAP、CVP、IAP与eRPP值发现,较高的CVP与较低的eRPP则与患者发生AKI的风险显著相关,为发生AKI的独立预测因子,进一步的ROC分析发现相较于CVP,24 h eRPP更具有预测价值。且当eRPP低于54.5 mmHg时,其与AKI的发生显著相关。且在本研究中并未发现两组间MAP(两组均>65 mmHg)差异有统计学意义,这提示在经过积极液体复苏保证足够的肾动脉灌注前提下,还应该重点关注循环负荷与腹腔内压情况,因此可能可通过eRPP监测来制定个体化液体复苏方案,从而达到最佳复苏效果,降低严重多发伤患者的AKI的发生。
当然,本研究仍具有一定的局限性,因为本实验AKI组的样本量稍少,可能会由于样本量的偏移而对实验结果产生一定的影响。此外,由于本研究是回顾性研究,无法通过结果判断eRPP的升高对肾脏功能是否具有保护作用,未来仍需要大规模前瞻性随机对照研究对此证实。另外,本研究排除了大量胸腔积液等致胸外压明显改变及腹腔需紧急手术致腹内压明显改变的情况,未来仍需后续进一步研究来发现此类患者最佳肾灌注指标。
利益冲突 所有作者均声明不存在利益冲突
| [1] | He JY, Xiao WX, Schwebel DC, et al. Road traffic injury mortality and morbidity by country development status, 2011-2017[J]. Chin J Traumatol, 2021, 24(2): 88-93. DOI:10.1016/j.cjtee.2021.01.007 |
| [2] | 李冬冬, 张忠伟, 黄剑吟, 等. 创伤患者炎症因子水平变化的临床意义[J]. 中华急诊医学杂志, 2020, 29(10): 1333-1336. DOI:10.3760/cma.j.issn.1671-0282.2020.10.011 |
| [3] | 张连阳, 黄显凯, 姚元章, 等. 多发伤病历与诊断: 专家共识意见(2013版)[J]. 创伤外科杂志, 2014, 16(2): 192-193. |
| [4] | 李楠, 王恒进, 蒋春明, 等. 多发伤后急性肾损伤的危险因素分析及其对预后的影响[J]. 创伤外科杂志, 2016, 18(11): 675-677. DOI: CNKI:SUN:CXWK.0.2016-11-011. |
| [5] | Ülger F, Pehlivanlar Küçük M, Küçük AO, et al. Evaluation of acute kidney injury (AKI) with RIFLE, AKIN, CK, and KDIGO in critically ill trauma patients[J]. Eur J Trauma Emerg Surg, 2018, 44(4): 597-605. DOI:10.1007/s00068-017-0820-8 |
| [6] | Ahmed N, Mathew RO, Kuo YH, et al. Risk of severe acute kidney injury in multiple trauma patients: Risk estimation based on a national trauma dataset[J]. Injury, 2020, 51(1): 45-50. DOI:10.1016/j.injury.2019.11.008 |
| [7] | 重症患者腹内高压监测与管理专家共识(2020版)[J]. 中华消化外科杂志, 2020, 19(10): 1030-1037. DOI: 10.3760/cma.j.cn115610-20200814-00552. |
| [8] | Kellum JA, Lameire N. Diagnosis, evaluation, and management of acute kidney injury: a KDIGO summary (Part 1)[J]. Crit Care, 2013, 17(1): 204. DOI:10.1186/cc11454 |
| [9] | 常保国, 李培民. 严重多发伤早期死亡原因分析[J]. 中国药物与临床, 2018, 18(05): 808-810. DOI: CNKI:SUN:YWLC.0.2018-05-078. |
| [10] | Chokotho LC, Mulwafu W, Nyirenda M, et al. Establishment of trauma registry at Queen Elizabeth Central Hospital (QECH), Blantyre, Malawi and mapping of high risk geographic areas for trauma[J]. World J Emerg Med, 2019, 10(1): 33-41. DOI:10.5847/wjem.j.1920-8642.2019.01.005 |
| [11] | Gebhard F, Huber-Lang M. Polytrauma--pathophysiology and management principles[J]. Langenbecks Arch Surg, 2008, 393(6): 825-31. DOI:10.1007/s00423-008-0334-2 |
| [12] | 李辉, 陈少军, 唐朝晖, 等. 多发伤患者低体温、酸中毒及凝血功能障碍临床研究[J]. 中华急诊医学杂志, 2015, 24(3): 310-314. DOI:10.3760/cma.j.issn.1671-0282.2015.03.018 |
| [13] | 杨帆, 白祥军, 刘开俊, 等. 严重多发伤并发症的早期控制[J]. 中华急诊医学杂志, 2009, 18(6): 628-631. DOI:10.3760/cma.j.issn.1671-0282.2009.06.020 |
| [14] | 李晴晴, 段美丽, 李昂. 急性肾损伤患者长期预后及肾功能恢复研究进展[J]. 中华急诊医学杂志, 2020, 29(9): 1143-1147. DOI:10.3760/cma.j.issn.1671-0282.2020.09.001 |
| [15] | Hoste EAJ, Kellum JA, Selby NM, et al. Global epidemiology and outcomes of acute kidney injury[J]. Nat Rev Nephrol, 2018, 14(10): 607-625. DOI:10.1038/s41581-018-0052-0 |
| [16] | 刘琳, 王铂, 于健, 等. ICU严重多发伤患者预后相关因素分析[J]. 中国综合临床, 2014, 30(3): 318-321. DOI:10.3760/cma.j.issn.1008-6315.2014.03.033 |
| [17] | 彭艳, 邹鑫森. 早期连续性肾脏替代治疗对严重多发伤合并急性肾损伤预后影响的临床研究[J]. 中国全科医学, 2020, 23(26): 3268-3273. DOI:10.12114/j.issn.1007-9572.2020.00.108 |
2021, Vol. 30



