2. 徐州医科大学研究生院&急救与救援医学系 221002;
3. 江苏省卫生应急研究所&徐州市急诊医学重点实验室,徐州 221002;
4. 南京医科大学附属江宁医院急诊科 211100
2. Graduate School of Xuzhou Medical University/Department of Emergency and Rescue Medicine, Xuzhou Medical University, Xuzhou 220002, China;
3. Jiangsu Provincail Institute of Health Emergency/Xuzhou Key Laboratory of Emergency Medicine, Xuzhou 220002, China;
4. Emergency Medicine Department, the Affiliated Jiangning Hospital of Nanjing Medical University, Nanjing 211100, China
心脏骤停(cardiac arrest,CA)是临床预后极差的急危重症之一,随着心肺复苏术(cardiopulmonary resuscitation,CPR)不断探索、改良及推广,CA患者存活率有所改善,但仍处于较低状态[1-2],根据一项北京市院内心脏骤停(in-hospital cardiac arrest,IHCA)的相关数据分析显示北京市IHCA自主循环恢复(restoration of spontaneous circulation,ROSC)的比例为35.5%,存活出院率为9.1%,而神经功能恢复较好的仅有6.4%[3]。目前关于ROSC后CA患者预后的预测指标主要是针对神经系统预后的,如72 h瞳孔对光反射、肌痉挛等临床指标,以及脑电图、神经系统影像、体感诱发电位、NSE及S100B蛋白等;这些指标的特异性及敏感性均不高[4]。高敏C反应蛋白(high sensitivity C-reactive protein,hs-CRP)及血清白蛋白(albumin,Alb)均是主要由肝脏分泌的急性时项蛋白。hs-CRP在以往的研究中主要是用于评价炎症反应程度的指标,最近的研究发现,其与心血管疾病的预后密切相关;Alb作为一种负向性蛋白,在呼吸、消化、肿瘤等相关疾病的研究中有一定价值[5-6]。hs-CRP及Alb的反向相关性使得其比值可以更好的放大这一特点,目前对于其比值的相关预测研究主要集中在心血管疾病中[7],其与ROSC心脏骤停患者预后的相关研究少见,本文旨在探讨hs-CRP/Alb比值在预测ROSC后IHCA患者14 d生存情况中的临床价值。
1 资料与方法 1.1 一般资料选取2017年1月至2020年9月徐州医科大学附属医院收治的符合2015AHA心肺复苏与心血管急救指南标准,经CPR后ROSC的IHCA患者为研究对象。根据14 d后存活情况分为死亡组和存活组。
研究经徐州医科大学附属医院伦理委员会审查批准,批准文号:XYFY2019-KL089-01。
纳入标准:①院内急性起病的IHCA;②年龄≥18周岁;③ IHCA的原因是非感染性疾病(急性心肌梗死、心力衰竭、急性脑卒中、重度贫血等)。
排除标准:①恶性消耗性疾病及自身免疫性疾病;②影响血清白蛋白合成的肝脏疾病;③患有导致hs-CRP升高的感染性和炎性疾病;④临床资料及随访资料不全者。
1.2 方法依据2019年更新的IHCA的Utstein复苏登记模板,回顾性建立患者的基线特征表;收集包括患者性别、年龄、首次监测心率、复苏前是否使用心电监护、CRP时间、肾上腺素的使用情况、复苏时通气方式、心脏骤停病因、既往病史等资料。其他资料为复苏前Alb及ROSC后24 h血pH值、血乳酸、hs-CRP和Alb浓度,计算hs-CRP/Alb比值[8-9]。
1.3 统计学方法采用SPSS 21.0统计软件对数据进行分析。计量资料经正态性检验,符合正态分布的数据均均数±标准差(Mean±SD)表示,组间比较采用独立样本t检验;不符合正态分布资料采用中位数(四分位数)表示,组间比较采用Mann-Whitney U检验。分类计数资料采用例数(百分比)表示,组间比较采用χ2检验。采用Logistic回归分析影响患者死亡的危险因素。采用ROC曲线评价hs-CRP/Alb对患者死亡的风险预测价值。以P< 0.05为差异有统计学意义。
2 结果 2.1 死亡和存活组患者临床特征比较研究期间共发生867例IHCA,经过入排标准筛查后,最终107例患者入组,其中存活组45例、死亡组62例,短期存活率为42.0%。
两组患者的性别、年龄、既往病史、使用心电监护、复苏时通气方式、首次监测心率人数所占比例、复苏前Alb差异均无统计学意义(P > 0.05)。死亡组患者非心源性猝死、使用肾上腺素剂量 > 5 mg占比,心肺复苏持续时间,血乳酸和hs-CRP水平,以及hs-CRP/Alb明显高于存活组;而Alb水平和pH值明显低于存活组,差异均有统计学意义(P< 0.05)。见表 1。
| 临床特征 | 总体(n=107) | 存活组(n=45) | 死亡组(n=62) | t/χ2/Z值 | P值 |
| 年龄(岁) | 64.30±14.68 | 63.58±14.65 | 64.82±14.80 | 0.431 | 0.667 |
| 性别(男/女) | 71/36 | 27/18 | 44/18 | 1.405 | 0.236 |
| 既往病史(n, %) | |||||
| 高血压 | 50(46.7) | 23(51.1) | 27(43.5) | 0.599 | 0.439 |
| 冠心病 | 59(55.1) | 26(57.8) | 33(53.2) | 0.218 | 0.640 |
| 糖尿病 | 21(19.6) | 8(17.8) | 13(21.0) | 0.168 | 0.682 |
| 呼吸系统疾病 | 14(13.1) | 5(11.1) | 9(14.5) | 0.266 | 0.606 |
| 消化系统疾病 | 22(20.6) | 9(20.0) | 13(21.0) | 0.015 | 0.903 |
| 脑血管疾病 | 39(36.4) | 17(37.8) | 22(35.5) | 0.059 | 0.808 |
| 肾功能异常 | 28(26.2) | 11(24.4) | 17(27.4) | 0.119 | 0.730 |
| CA类型(n, %) | 6.393 | 0.011 | |||
| 心源性 | 56(52.3) | 30(66.7) | 26(41.9) | ||
| 非心源性 | 51(47.7) | 15(33.3) | 36(58.1) | ||
| 肾上腺素剂量(mg) | 7.453 | 0.006 | |||
| ≤5 | 78(72.9) | 39(86.7) | 39(62.9) | ||
| >5 | 29(27.1) | 6(13.3) | 23(37.1) | ||
| 血乳酸(mmol/L) | 3.70(1.90, 8.20) | 2.00(1.15, 4.45) | 5.55(2.88, 10.25) | -4.248 | < 0.001 |
| 血pH | 7.34(7.24, 7.41) | 7.38(7.31, 7.43) | 7.29(7.12, 7.38) | -3.929 | < 0.001 |
| CPR持续时间(min) | 10.00(5.00, 16.00) | 5.00(3.50, 10.00) | 15.00(6.00, 22.00) | -4.881 | < 0.001 |
| 复苏前Alb(g/L) | 38.05±4.39 | 38.78±3.43 | 37.52±4.92 | 1.474 | 0.143 |
| Alb(g/L) | 33.30±5.48 | 36.04±5.25 | 31.31±4.77 | 4.846 | < 0.001 |
| hs-CRP(mg/L) | 45.80(14.40, 83.90) | 13.20(4.30, 27.50) | 67.15(44.95, 112.65) | -6.402 | < 0.001 |
| hs-CRP/Alb | 1.35(0.41, 2.71) | 0.33(0.11, 0.83) | 2.15(1.40, 3.54) | -6.620 | < 0.001 |
| 使用心电监护(n, %) | 84(78.5) | 36(80.0) | 48(77.4) | 0.103 | 0.748 |
| 复苏时通气方式(n, %) | 0.804 | 0.370 | |||
| 球囊 | 54(50.5) | 25(55.6) | 29(46.8) | ||
| 呼吸机 | 53(49.5) | 20(44.4) | 33(53.2) | ||
| 首次监测心率(n, %) | 2.705 | 0.100 | |||
| 不可除颤心率 | 33(30.8) | 10(22.2) | 23(37.1) | ||
| 可除颤心率 | 74(69.2) | 35(77.8) | 39(62.9) | ||
| 注:CA:心脏骤停,CPR:心肺复苏,Alb:血清白蛋白,hs-CRP:高敏C反应蛋白,hs-CRP/Alb:高敏C反应蛋白/血清白蛋白 | |||||
以患者是否死亡为因变量,以单因素分析中有统计学意义的指标为自变量(变量及赋值见表 2),采用条件向前法建立二元Logistic回归模型。结果显示使用肾上腺素剂量(> 5 mg占比)、血乳酸水平、心肺复苏持续时间、hs-CRP/Alb等变量有统计学意义(P< 0.05),是影响患者死亡的独立危险因素,见表 3。
| 因素 | 赋值 |
| 预后 | 未死亡=0,死亡=1 |
| 猝死类型 | 心源性=1,非心源性=2 |
| 使用肾上腺素剂量 | ≤5 mg=0,> 5 mg=1 |
| 乳酸 | 数值型 |
| 血pH | 数值型 |
| 心肺复苏持续时间 | 数值型 |
| hs-CRP/Alb | 数值型 |
| 因素 | B | SE | Wald χ2 | P值 | OR(95% CI) |
| 使用肾上腺素剂量(mg) | 1.466 | 0.681 | 4.634 | 0.031 | 4.333(1.14~16.465) |
| 血乳酸(mmol/L) | 0.177 | 0.078 | 5.209 | 0.022 | 1.194(1.025~1.391) |
| 心肺复苏持续时间(min) | 0.117 | 0.042 | 7.890 | 0.005 | 1.124(1.036~1.219) |
| hs-CRP/alb | 1.323 | 0.309 | 18.285 | 0.000 | 3.753(2.047~6.881) |
| 常量 | -3.967 | 0.847 | 21.941 | 0.000 | 0.019 |
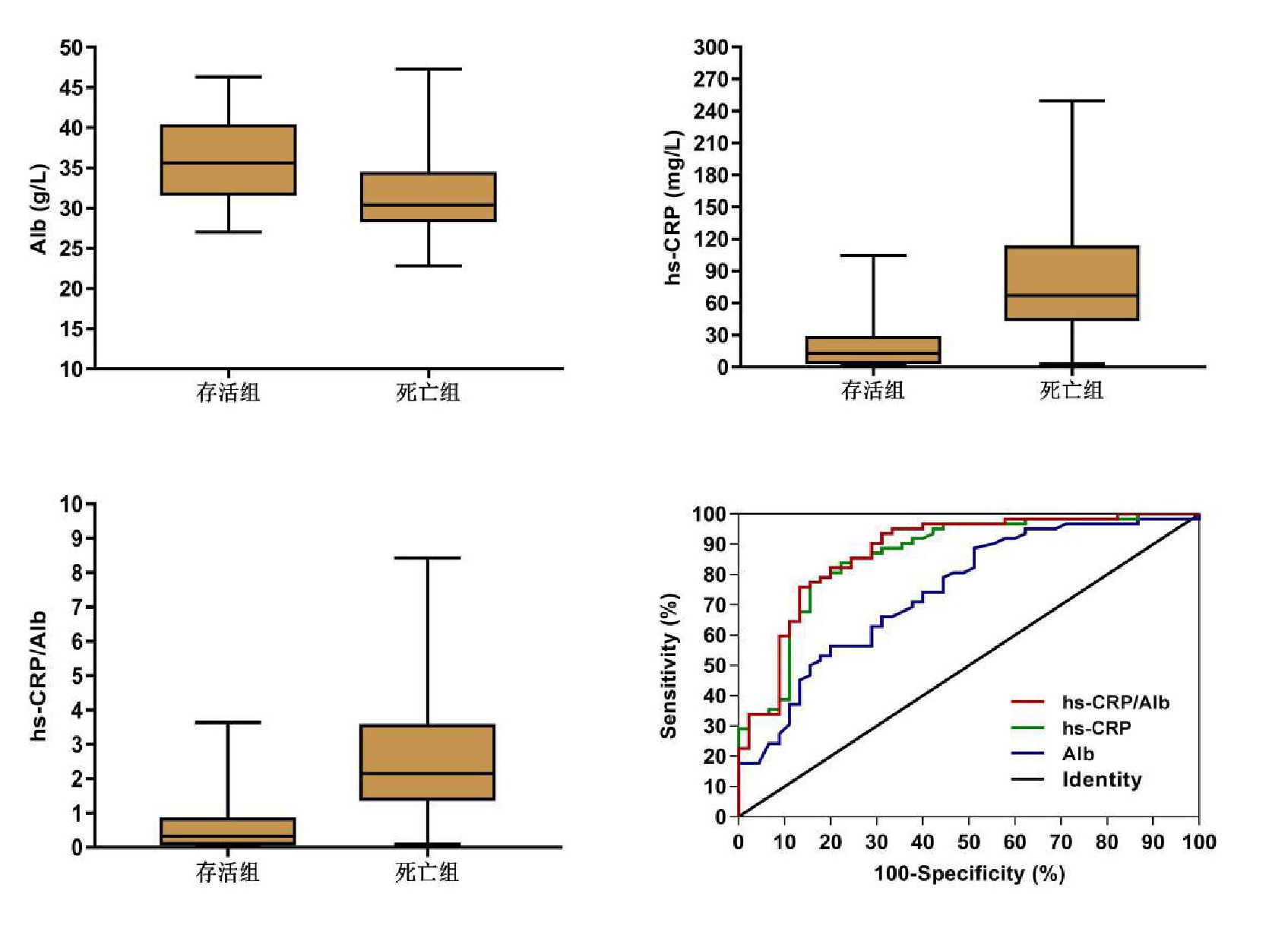
hs-CRP/Alb、hs-CRP、Alb对患者死亡均有一定预测价值,其中hs-CRP/Alb比值对心脏骤停ROSC患者14 d生存情况的预测价值最佳, 见图 1。预测患者死亡的曲线下面积、灵敏度和特异度见表 4。
|
| 图 1 患者hs-CRP/Alb、hs-CRP、Alb水平分布及ROC曲线 Fig 1 Horizontal distribution and ROC curve of hs-CRP/ Alb, hs-CRP and Alb |
|
|
| 参数 | hs-CRP/Alb | hs-CRP | Alb |
| AUC (95% CI) | 0.876 (0.807~0.945) | 0.864 (0.792~0.936) | 0.745 (0.651~0.839) |
| P值 | < 0.001 | < 0.001 | < 0.001 |
| 阈值 | 1.394 | 42.2 | 37.1 |
| 灵敏度 | 75.8 | 77.4 | 88.7 |
| 特异度 | 86.7 | 84.4 | 48.9 |
CA起病急、预后差。国内外文献表明,经CPR后ROSC的患者短期内存活情况不容乐观,其与心脏骤停后综合征(post-cardiac arrest syndrome,PCAS)密切相关[10]。本研究选取IHCA经复苏ROSC的患者为研究对象,评价ROSC后24 h内hs-CRP、Alb、hs-CRP/Alb比值三项指标对CA患者预后的评估价值。研究结果显示,三项指标对患者死亡均有一定预测价值,其中hs-CRP/Alb比值对ROSC患者14 d生存情况的预测价值最佳。
hs-CRP在急性炎症、感染、肿瘤、组织创伤等情况下,短期内迅速升高,其升高速度、程度及持续时间与疾病的炎症反应程度高度相关。在以往的临床运用中,其主要被用来评价感染性疾病的严重程度[11]。近期,越来越多的研究发现其与心血管疾病的不良预后密切相关,高水平的hs-CRP是急性心肌梗死、心肌病、心肌炎等心血管疾病的独立危险因素[5]。
血清Alb由肝细胞在粗面内质网上的圆形多核糖体中产生的。其主要的生理作用包括维持胶体渗透压、维持酸碱平衡稳定、抗氧化和清除氧自由基、合成和转运内源性及外源性物质、抗细胞凋亡、调节微血管通透性、抗凝防止血栓形成等;其水平降低被考虑与急性炎症反应消耗增加及基础营养状态较差有关。多项研究表明低白蛋白血症与全身炎症反应综合征、严重创伤、烧伤、慢性肝肾疾病等多种疾病的不良临床预后相关,可作为其发病率和病死率的独立预测因子[6,12-13]。
因hs-CRP与Alb具有良好的反向相关性,其比值已被广泛用于多种炎症相关性疾病的预后评估中[14]。本研究显示,ROSC后IHCA患者hs-CRP/Alb比值较低提示其14 d内存活可能性更大,hs-CRP/Alb比值是心脏骤停患者预后的独立预测因素,提示使用hs-CRP/Alb比值作为评估CA患者预后的指标是可行的。其机制可能是:ROSC后CA患者会经历全身组织缺血、缺氧、再灌注,从而诱发全身炎症反应综合征(systemic inflammatory response,SIRS),hs-CRP在炎症反应中迅速升高,而Alb在炎症反应中因消耗增加而减少,升高及减少的程度均与炎症反应程度相关;本研究对比两组患者复苏前Alb,结果差异无统计学意义,考虑不良预后与患者基础营养状态关联较小。本研究中复苏成功的患者大多送至ICU继续治疗,患者在ICU的治疗过程中会应用人血Alb进行治疗,但有研究显示纠正危重患者Alb水平并不能改善其预后相关指标,例如病死率、ICU住院时间及机械通气时间等,考虑其因自体Alb与外源性人血Alb的代谢差异相关,因此暂不考虑因输注人血Alb而产生的结果偏倚[5-6, 15]。
本研究的局限性在于:研究提取的样本数据为复苏后24 h内的hs-CRP及Alb,没有根据时间推移动态采集并研究其水平变化;随访时间较短,不能预测其长期生存情况,需进一步延长随访时间以判断其对长期预后的预测价值;本研究没有对患者的神经功能预后进行评估,可进行前瞻性随访进一步研究。虽然本研究存在局限性,但研究结果提示hs-CRP/Alb比值可以预测CA患者的短期生存情况,可指导临床针对预后不佳的患者积极调整治疗方案。
利益冲突 所有作者均声明不存在利益冲突
| [1] | Piscator E, Göransson K, Forsberg S, et al. Prearrest prediction of favourable neurological survival following in-hospital cardiac arrest: The Prediction of outcome for In-Hospital Cardiac Arrest (PIHCA) score[J]. Resuscitation, 2019, 143: 92-99. DOI:10.1016/j.resuscitation.2019.08.010 |
| [2] | 褚永华, 王以文, 须欣. 自动心肺复苏机在院外心搏骤停抢救中的应用[J]. 中华急诊医学杂志, 2020, 29(1): 54-57. DOI:10.3760/cma.j.issn.1671-0282.2020.01.008 |
| [3] | Shao F, Li CS, Liang LR, et al. Incidence and outcome of adult in-hospital cardiac arrest in Beijing, China[J]. Resuscitation, 2016, 102: 51-56. DOI:10.1016/j.resuscitation.2016.02.002 |
| [4] | Wang CH, Chang WT, Su KI, et al. Neuroprognostic accuracy of blood biomarkers for post-cardiac arrest patients: a systematic review and meta-analysis[J]. Resuscitation, 2020, 148: 108-117. DOI:10.1016/j.resuscitation.2020.01.006 |
| [5] | Castro AR, Silva SO, Soares SC. The use of high sensitivity C-reactive protein in cardiovascular disease detection[J]. J Pharm Pharm Sci, 2018, 21: 496-503. DOI:10.18433/jpps29872 |
| [6] | Rozga J, Piątek T, Małkowski P. Human albumin: old, new, and emerging applications[J]. Ann Transplant, 2013, 18: 205-217. DOI:10.12659/aot.889188 |
| [7] | Karabağ Y, Çağdaş M, Rencuzogullari I, et al. Usefulness of the C-reactive protein/albumin ratio for predicting no-reflow in ST-elevation myocardial infarction treated with primary percutaneous coronary intervention[J]. Eur J Clin Invest, 2018, 48(6): e12928. DOI:10.1111/eci.12928 |
| [8] | Nolan JP, Berg RA, Andersen LW, et al. Cardiac arrest and cardiopulmonary resuscitation outcome reports: update of the utstein resuscitation registry template for in-hospital cardiac arrest: a consensus report from a task force of the international liaison committee on resuscitation (American heart association, European resuscitation council, Australian and new Zealand council on resuscitation, heart and stroke foundation of Canada, InterAmerican heart foundation, resuscitation council of southern Africa, resuscitation council of Asia)[J]. Circulation, 2019, 140(18): e746-e757. DOI:10.1161/cir.0000000000000710 |
| [9] | 张重阳, 张风云, 王耀辉, 等. 基于utstein模式下秦皇岛地区院外心搏骤停旁观者心肺复苏的现状分析[J]. 中华危重病急救医学, 2020, 32(9): 1096-1100. DOI:10.3760/cma.j.cn121430-20200714-00520 |
| [10] | Xu F, Zhang Y, Chen Y. Cardiopulmonary resuscitation training in China: current situation and future development[J]. JAMA Cardiol, 2017, 2(5): 469-470. DOI:10.1001/jamacardio.2017.0035 |
| [11] | Ridker PM. A test in context: high-sensitivity C-reactive protein[J]. J Am Coll Cardiol, 2016, 67(6): 712-723. DOI:10.1016/j.jacc.2015.11.037 |
| [12] | 杨江江, 王东海, 杨娜, 等. 白蛋白替代治疗纠正脓毒症患者低白蛋白血症作用的倾向性评分匹配研究[J]. 中华急诊医学杂志, 2020, 29(3): 409-412. DOI:10.3760/cma.j.issn.1671-0282.2020.03.020 |
| [13] | Cetin M, Zencir C, Tasolar H, et al. The association of serum albumin with coronary slow flow[J]. Wien Klin Wochenschr, 2014, 126(15/16): 468-473. DOI:10.1007/s00508-014-0559-8 |
| [14] | Süleymanoğlu M, Burak C, Gümüşdağ A, et al. Assessment of the relation between C-reactive protein to albumin ratio and the severity and complexity of peripheral arterial disease[J]. Vascular, 2020, 28(6): 731-738. DOI:10.1177/1708538120925952 |
| [15] | Kunutsor SK, Seidu S, Katechia DT, et al. Inverse association between serum albumin and future risk of venous thromboembolism: interrelationship with high sensitivity C-reactive protein[J]. Ann Med, 2018, 50(3): 240-248. DOI:10.1080/07853890.2018.1441537 |
2021, Vol. 30



