回顾性选取2019年1月至2020年3月安徽医科大学第三附属医院呼吸与危重症医学科收治的160例老年CAP患者的临床资料。纳入标准:年龄≥65岁,符合2016年中华医学会呼吸病学分会《中国成人社区获得性肺炎诊断和治疗指南》诊断标准[6]。排除标准:合并恶性肿瘤;存在免疫抑制(长期口服免疫抑制剂、实体器官移植、脾切除后、AIDS);合并血液系统疾病;严重心肝肾功能不全;医院获得性肺炎;临床资料不完整者。本研究通过安徽医科大学第三附属医院伦理委员会批准:伦研批第2020(46)号,均获得患者或家属的知情同意。
1.2 研究方法 1.2.1 患者分组依据患者30 d的预后情况,分为存活组127例[其中男性71例,女性56例,年龄65~99岁,(78.67±7.88)岁]和死亡组33例[其中男性21例,女性12例,年龄65~97岁,(82.91±7.24)岁]。
1.2.2 信息采集及观察指标(1)收集患者的基本信息,包括:性别、年龄、基础疾病、临床表现和住院时间;完整记录患者入院时的生命体征及体格检查,记录CURB-65评分。CURB-65评分包括:意识状态改变,血尿素氮>7 mmol/L,呼吸频率≥30次/min,收缩压 < 90 mmHg和(或)舒张压≤60 mmHg,年龄≥65岁,以上5项,每项1分,总分5分。(2)收集血常规中白细胞总数、中性粒细胞总数、淋巴细胞总数、血红蛋白及血小板,计算NLR。收集血检中C反应蛋白(C-reactive protein, CRP)、降钙素原(procalcitonin,PCT)、血清白蛋白、尿素氮、肌酐、血钠、D-二聚体及纤维蛋白原。上述指标采用安徽医科大学第三附属医院检验科全自动生化仪(美国罗氏Cobas 8000)和血检仪(日本sysmex XN9000)检测。
1.3 统计学方法采用SPSS 25.0统计学软件对数据进行分析。正态分布的计量资料用均数±标准差(Mean±SD)表示,两组间比较采用两独立样本t检验;非正态分布的计量资料以[M(P25,P75)]表示,两组间比较采用Mann-Whitney U检验;计数资料用例或百分比表示,组间比较采用Pearson χ2检验;患者的死亡危险因素分析采用二元多因素Logistic回归分析;采用受试者工作特征曲线(receiver operating characteristic,ROC)分析各指标对老年CAP患者死亡风险的预测价值。以P < 0.05为差异有统计学意义。
2 结果 2.1 两组患者一般临床资料比较入组的160例患者中存活组127例,死亡组33例,存活组和死亡组患者性别比较差异无统计学意义(P>0.05),合并存在慢性心血管疾病、慢性呼吸系统疾病、糖尿病及慢性肾功能不全的比例差异无统计学意义(P>0.05),发病时存在发热、咳嗽、胸痛的比例以及两组的住院时间均差异无统计学意义(P>0.05)。但死亡组患者年龄偏大,合并存在神经系统疾病患者较多以及存在胸闷症状的比例较高,与存活组相比差异有统计学意义(P < 0.05)。见表 1。
| 指标 | 存活组(n=127) | 死亡组(n=33) | t/χ2值 | P值 |
| 年龄(岁,Mean±SD) | 78.67±7.88 | 82.91±7.24 | -2.797 | 0.006 |
| 性别(男/女,例) | 71/56 | 21/12 | 0.641 | 0.423 |
| 合并症(n, %) | ||||
| 慢性心血管疾病 | 51(40.16) | 19(57.58) | 3.229 | 0.072 |
| 慢性呼吸系统疾病 | 12(9.45) | 6(18.18) | 2.001 | 0.157 |
| 糖尿病 | 28(22.05) | 10(30.30) | 0.986 | 0.321 |
| 慢性肾功能不全 | 7(5.51) | 5(15.15) | 3.509 | 0.061 |
| 神经系统疾病 | 45(35.43) | 22(66.67) | 10.498 | 0.001 |
| 临床特征(n, %) | ||||
| 发热 | 78(61.42) | 22(66.67) | 0.308 | 0.579 |
| 咳嗽 | 110(86.61) | 29(87.88) | 0.037 | 0.848 |
| 胸闷 | 37(29.13) | 17(51.52) | 5.868 | 0.015 |
| 胸痛 | 10(7.87) | 1(3.03) | 0.960 | 0.327 |
| 住院时间(d,Mean±SD) | 11.93±4.97 | 9.91±8.55 | 1.760 | 0.080 |
与存活组比较,死亡组患者淋巴细胞总数显著下降,血红蛋白及血清白蛋白水平明显减少(均P < 0.05);死亡组的中性粒细胞总数、血尿素氮、D二聚体、NLR、CRP、PCT及CURB-65评分明显高于存活组,两组间差异有统计学意义(均P < 0.05)。见表 2。
| 指标 | 存活组(n=127) | 死亡组(n=33) | t/Z值 | P值 |
| 白细胞总数(109/L) | 8.54(5.93, 11.37) | 10.58(6.84, 14.97) | -1.894 | 0.058 |
| 中性粒细胞总数(109/L) | 6.48(4.02, 8.83) | 9.23(5.66, 13.25) | -2.543 | 0.011 |
| 淋巴细胞总数(109/L) | 1.12(0.79, 1.59) | 0.78(0.53, 0.99) | -4.538 | < 0.001 |
| 血红蛋白(g/L) | 121.8±17.53 | 114.27±25.15 | 1.993 | 0.048 |
| 血小板(109/L) | 200(150, 253) | 185(155, 249) | -0.217 | 0.828 |
| 血清白蛋白(g/L) | 36.89±5.58 | 32.26±7.29 | 3.969 | < 0.001 |
| 尿素氮(mmol/L) | 7.19±4.69 | 10.75±5.79 | -3.687 | < 0.001 |
| 血肌酐(μmol/L) | 83.43±48.41 | 101.27±60.37 | -1.789 | 0.076 |
| 血钠(mmol/L) | 139.26±6.32 | 138.96±9.07 | 0.214 | 0.831 |
| D-二聚体(mg/L) | 0.87(0.47, 1.76) | 2.42(1.27, 3.83) | -4.304 | < 0.001 |
| 纤维蛋白原(g/L) | 4.89±1.65 | 5.08±1.43 | -0.601 | 0.549 |
| NLR | 5.65(3.08, 9.92) | 15.49(10.60, 19.36) | -5.716 | < 0.001 |
| CRP(mg/L) | 46.1(23.0, 102.0) | 104.80(53.37, 138.03) | -3.140 | 0.002 |
| PCT(ng/mL) | 0.10(0.05, 0.48) | 0.65(0.30, 3.55) | -4.597 | < 0.001 |
| CURB-65评分(分) | 1.58±0.77 | 2.76±0.87 | -7.599 | < 0.001 |
| 注:NLR:中性粒细胞/淋巴细胞比值;CRP:C反应蛋白;PCT:降钙素原 | ||||
对上述单因素分析中有统计学意义的变量纳入多因素Logistic方程,结果显示,NLR和CURB-65评分是老年CAP患者30 d死亡的独立危险因素(P < 0.01)。见表 3。
| 因素项目 | β值 | SE | Wald χ2值 | OR值 | 95%CI | P值 |
| NLR | 0.097 | 0.030 | 10.549 | 1.102 | 1.039~1.168 | 0.001 |
| CURB-65评分 | 1.270 | 0.284 | 19.968 | 3.562 | 2.041~6.219 | 0.000 |
| 常量 | -5.211 | 0.790 | 43.480 | 0.005 | 0.000 | |
| 注:NLR:中性粒细胞/ 淋巴细胞比值 | ||||||
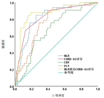
ROC曲线分析显示(见图 1,表 4),作为单独预测指标NLR对老年CAP患者死亡风险有很好的预测价值,曲线下面积(AUC)为0.823[95%CI(0.747~0.900)],高于传统感染指标PCT(AUC=0.760)及CRP(AUC=0.678)。
|
| 图 1 各指标预测老年CAP患者死亡的ROC曲线 Fig 1 ROC curve of various indexes predicting death of elderly CAP patients |
|
|
| 指标 | AUC | P值 | 95%CI | 截断值 | 敏感度(%) | 特异度(%) |
| NLR | 0.823 | 0.000 | 0.747~0.900 | 8.885 | 84.8 | 74.8 |
| CURB-65评分 | 0.829 | 0.000 | 0.748~0.909 | 2.5 | 66.7 | 87.4 |
| CRP | 0.678 | 0.002 | 0.583~0.772 | 57.565 | 75.8 | 56.7 |
| PCT | 0.760 | 0.000 | 0.677~0.843 | 0.155 | 90.9 | 60.6 |
| NLR联合CURB-65评分 | 0.872 | 0.000 | 0.801~0.942 | 0.248 | 84.8 | 84.3 |
| 注:NLR:中性粒细胞/淋巴细胞比值;CRP:C反应蛋白;PCT:降钙素原 | ||||||
NLR预测30 d死亡风险的最佳截断值为8.885,对应的敏感度为84.8%,特异度为74.8%。NLR联合CURB-65评分的曲线下面积最大,AUC为0.872[95%CI(0.801,0.942)],优于单项指标,其最佳截断值为0.248,敏感度和特异度分别为84.8%和84.3%。
3 讨论CAP是导致老年人入院的常见原因,有研究报道老年CAP患者的病死率从6.4%到33%,死亡的危险因素包括年龄增加、存在合并症以及疾病的严重程度[7-8]。Han等[9]通过CAP-China中国肺炎研究网发起的国内第一项多中心回顾性观察研究,旨在评估年龄,合并症和抗菌药物治疗对住院的老年CAP患者结局的影响,该研究共纳入3 131名≥65岁的老年CAP患者,结果表明老年CAP患者住院总病死率和60 d病死率分别为5.7%和7.6%,60 d病死率的独立预测因子是年龄、长期卧床、心功能不全、CURB-65评分、血糖、心率、动脉血氧饱和度和白蛋白水平。本研究结果亦提示死亡组较生存组的年龄更大[(82.91±7.24)岁vs. (78.67±7.88)岁],合并存在神经系统疾病患者较多,存在更高的CURB-65评分以及较低的白蛋白水平(P < 0.05),与上述研究结果一致。本研究中死亡组患者存在胸闷症状比例较高,因入组患者未全部监测血气分析,考虑胸闷与其低氧血症存在相关。另本研究中合并存在的神经系统疾病主要包括帕金森病、老年痴呆症、脑卒中后遗症等,该类患者大多卧床较多,容易出现吸入性肺炎,且往往就诊延迟,导致发生重症肺炎的比例较高,因此本研究中老年CAP 30 d病死率为20.6%,高于上述研究。
CURB-65评分和肺炎严重程度指数(pneumonia severity index,PSI)评分是评估肺炎严重程度和预后最常用的评分系统。但由于PSI评分项目较多且繁琐,且非重症肺炎患者大多不会采集动脉血气分析,因此并不适用于所有的老年CAP患者。CURB-65评分只需要5个参数,使用非常简便,对于识别高死亡风险的老年CAP患者有更好的应用价值[10]。Ma等[11]在我国香港地区进行的一项临床研究指出CURB-65评分是老年CAP患者死亡的最重要独立预测因子[OR=2.583,95%CI(1.733~3.851)]。本研究结果与上述结果一致,其对老年CAP患者死亡风险预测的AUC为0.829[95%CI(0.748~0.909)],敏感度和特异度分别为66.7%和87.4%。但CURB-65评分无法评估宿主对感染所致炎症反应的严重程度,在指导临床实践中具有一定局限性。近年越来越多的生物标志物被用于CAP的诊断及预后评估,而生物标志物最好与临床评分相结合,可以更好的用于识别特定的高危患者,判断病情和预后。
CRP、外周血白细胞计数、中性粒细胞计数等是临床中最常用的感染标志物,但部分老年CAP患者的外周血白细胞计数并不升高,本研究结果中死亡组和生存组的白细胞总数比较并差异无统计学意义,因此容易导致对病情的评估产生偏差[12]。近年来虽然新的感染标志物如PCT、内皮素-1、白细胞介素-6等对CAP的病情评估和预后有一定的临床价值,但由于属于非常规项目、成本较高,临床应用受到限制。
NLR是根据血常规检查,将中性粒细胞绝对值与淋巴细胞绝对值之比计算而来,是一种成本低廉、容易获取的炎症指标。在各种应激反应中,循环白细胞的生理变化主要表现为中性粒细胞增多和淋巴细胞计数下降。嗜中性粒细胞减少、中性粒细胞凋亡延迟和生长因子对干细胞的刺激是导致中性粒细胞增加的主要原因。淋巴细胞的边缘化、再分布以及凋亡增加是淋巴细胞减少的可能机制。高NLR是由于中性粒细胞计数增加,淋巴细胞计数减少所致。有研究报道,NLR与多种疾病的不良预后有关,如急性冠脉综合征、恶性肿瘤、风湿免疫疾病和急性胰腺炎等。在急性缺血性脑卒中患者中,较高的NLR可预测卒中相关性肺炎的发生。高NLR与急诊收治的危重患者的病死率增加有关。在脓毒症患者中,死亡组NLR明显高于生存组,预测脓毒症患者7 d病死率的截断值为9.48,ROC曲线下面积为0.698[13]。在重症社区获得性肺炎患者中,淋巴细胞减少是预测死亡的独立危险因素,入院时NLR增加对重症肺炎患者28 d死亡风险具有良好的预测价值。近年来研究表明NLR在CAP患者中的判别能力超过了传统生物标志物的预测值,NLR可随CURB-65评分的增加而升高,同时在预测病死率方面,NLR的ROC曲线下面积为0.701,明显高于中性粒细胞计数,白细胞计数,淋巴细胞计数和CRP等传统指标(AUC分别为0.681、0.672、0.630和0.565)但临床上NLR对老年CAP住院患者预后评估方面的研究不多。
本研究结果表明,老年CAP患者死亡组NLR明显高于存活组,对CAP患者死亡的高危因素进行多因素Logistic回归分析,结果显示NLR和CURB-65评分与老年CAP患者30 d病死率相关。在对老年CAP死亡风险预测价值方面,NLR的曲线下面积高于传统感染指标PCT及CRP,提示NLR可以很好的预测老年CAP患者的死亡风险。与单独应用NLR或CURB-65评分相比,两个指标的联合可以提高其对老年CAP患者30 d病死率的预测价值。
利益冲突 所有作者均声明不存在利益冲突。
| [1] | GBD 2017 Causes of Death Collaborators. Global, regional, and national age-sex-specific mortality for 282 causes of death in 195 countries and territories, 1980-2017: a systematic analysis for the Global Burden of Disease Study 2017[J]. Lancet, 2018, 392(10159): 1736-1788. DOI:10.1016/s0140-6736(18)32203-7 |
| [2] | Jain S, Self WH, Wunderink RG, et al. Community-acquired pneumonia requiring hospitalization among US adults[J]. N Engl J Med, 2015, 373(5): 415-427. DOI:10.1056/nejmoa1500245 |
| [3] | Curbelo J, Luquero Bueno S, Galván-Román JM, et al. Inflammation biomarkers in blood as mortality predictors in community-acquired pneumonia admitted patients: Importance of comparison with neutrophil count percentage or neutrophil-lymphocyte ratio[J]. PLoS One, 2017, 12(3): e0173947. DOI:10.1371/journal.pone.0173947 |
| [4] | de Jager CP, van Wijk PT, Mathoera RB, et al. Lymphocytopenia and neutrophil-lymphocyte count ratio predict bacteremia better than conventional infection markers in an emergency care unit[J]. Crit Care, 2010, 14(5): R192. DOI:10.1186/cc9309 |
| [5] | Liu YW, Du XB, Chen J, et al. Neutrophil-to-lymphocyte ratio as an independent risk factor for mortality in hospitalized patients with COVID-19[J]. J Infect, 2020, 81(1): e6-e12. DOI:10.1016/j.jinf.2020.04.002 |
| [6] | 何礼贤. 学习和实践《社区获得性肺炎诊断和治疗指南》[J]. 中华结核和呼吸杂志, 2006, 29(10): 649-650. DOI:10.3760/j:issn:1001-0939.2006.10.001 |
| [7] | Luna CM, Palma I, Niederman MS, et al. The impact of age and comorbidities on the mortality of patients of different age groups admitted with community-acquired pneumonia[J]. Ann Am Thorac Soc, 2016, 13(9): 1519-1526. DOI:10.1513/AnnalsATS.201512-848OC |
| [8] | Klausen HH, Petersen J, Lindhardt T, et al. Outcomes in elderly Danish citizens admitted with community-acquired pneumonia.Regional differencties, in a public healthcare system[J]. Respir Med, 2021, 106(12): 1778-1787. DOI:10.1016/j.rmed.2012.08.010 |
| [9] | Han X, Zhou F, Li H, et al. Effects of age, comorbidity and adherence to current antimicrobial guidelines on mortality in hospitalized elderly patients with community-acquired pneumonia[J]. BMC Infect Dis, 2018, 18(1): 192. DOI:10.1186/s12879-018-3098-5 |
| [10] | 孔庆华, 白久武, 王晓如, 等. 三种评分系统在老年社区获得性肺炎危险度分层及病情评估中的应用[J]. 中国呼吸与危重监护杂志, 2018, 17(2): 138-143. DOI:10.7507/1671-6205.201705044 |
| [11] | Ma HM, Tang WH, Woo J. Predictors of in-hospital mortality of older patients admitted for community-acquired pneumonia[J]. Age Ageing, 2011, 40(6): 736-741. DOI:10.1093/ageing/afr087 |
| [12] | 田玮, 丁宁. 影响老年吸入性肺炎患者短期预后的危险因素分析[J]. 中华急诊医学杂志, 2019, 28(6): 743-747. DOI:10.3760/cma.j.issn.1671-0282.2019.06.016 |
| [13] | 刘亚楠, 杨杰, 李琢, 等. 正五聚蛋白3联合中性粒细胞与淋巴细胞比值评估脓毒症患者病情的严重程度及预后的价值研究[J]. 中华急诊医学杂志, 2019, 28(3): 370-374. DOI:10.3760/cma.j.issn.1671-0282.2019.03.018 |
| [14] | Güell E, Martín-Fernandez M, de la Torre MC, et al. Impact of lymphocyte and neutrophil counts on mortality risk in severe community-acquired pneumonia with or without septic shock[J]. J Clin Med, 2019, 8(5): 754. DOI:10.3390/jcm8050754 |
2021, Vol. 30



