凝血功能紊乱是脓毒症常见的并发症,发生率约为50%~70%。脓毒症凝血紊乱的严重程度不一,可以仅表现为轻微的血小板下降或凝血时间延长,但是大约有30%的患者会进展为严重的凝血紊乱,弥散性血管内凝血(DIC)[1]。
炎症反应和凝血激活在脓毒症DIC的发病中起着关键作用。Engelmann和Massberg[2]提出“免疫性血栓”的概念,强调了凝血和固有免疫之间的密切关系和相互作用。炎症因子参与脓毒症凝血紊乱全程,从早期凝血酶和血小板的激活,到进展期微血管血栓形成和器官功能障碍[3-4]。组织因子-Ⅶa途径在脓毒症凝血激活中起到主导作用[5]。促炎因子白介素(IL)-6、IL-1和肿瘤坏死因子(TNF)-α可以促进单核细胞、中性粒细胞和内皮细胞释放组织因子从而引起凝血激活[6-8]。促炎细胞因子IL-1β和TNF-α,还可以通过其他两个重要的途径来促进凝血病的发生发展:一方面可作用于内皮细胞,使其表面具有抗凝活性的蛋白质组织因子途径抑制剂(TFPI)、抗凝血酶(AT)、血管内皮细胞蛋白C受体(EPCR)和血栓调节蛋白(TM)脱落,并削弱蛋白C系统的活化[9-11];另一方面可以抑制纤维蛋白溶解系统,从而促进纤维蛋白血栓的形成[12]。
目前诊断DIC尚无金标准,最常用的是国际血栓与止血委员会(International Society of Thrombosis and Haemostasis,ISTH)提出的显性DIC评分标准[13]。其他标准包括日本急诊协会(the Japanese Association for Acute Medicine,JAAM)[14]和日本厚生省(the Japanese Ministry of Health and Welfare,JMHW)[15]提出的DIC评分标准。这些标准使用了反映凝血消耗的指标组合,并不适合反映早期DIC。对于脓毒症,JAAM评分标准采用了全身炎症反应综合征(systemic inflammatory response syndrome, SIRS)评分,但是SIRS评分并不能体现炎症和凝血的联系。而目前的研究已经证实了炎症因子和凝血紊乱的相互作用,另外,早期识别脓毒症DIC并进行及时的干预,可能会在一定程度上改善患者的预后[16]。因此,本研究探讨联合炎症因子和凝血指标探讨早期诊断脓毒症DIC的价值。
1 资料与方法 1.1 一般资料研究对象为2019年1月至2021年5月入住复旦大学附属中山医院急诊重症监护室(EICU)的脓毒症患者。
1.1.1 纳入标准(1)入院时年龄大于18岁;(2)符合脓毒症3.0标准;(3)临床资料(住院病史及凝血炎症指标等)完整。
1.1.2 排除标准(1)怀孕;(2)中毒;(3)创伤;(4)入院前接受持续的抗凝治疗(华法林、肝素等);(5)既往存在影响血小板及凝血功能的疾病(肝素诱导的血小板减少症、血栓性血小板减少性紫癜、抗磷脂综合征、严重肝硬化、易栓症以及其他血液系统疾病)。
1.1.3 伦理审查课题组提交了免除签署知情同意书申请表,并得到机构伦理委员会的批准,所有数据均匿名保密。本研究方案经中山医院机构伦理委员会(B2021-615)批准,并根据1975年《赫尔辛基宣言》的原则实施。
1.2 诊断标准 1.2.1 脓毒症的诊断根据2016年第三版脓毒症的国际专家共识推荐的Sepsis 3.0标准[17],即SOFA评分≥2[18-19],且有明确的感染源,来计算入EICU当天患者是否符合脓毒症。
1.2.2 DIC与pre-DIC的诊断计算入组患者住院第1天、第3天、第7天的DIC评分,来判定是否发生DIC。本研究采用ISTH DIC评分系统作为DIC的诊断标准,评分大于或等于5分视为DIC (overt DIC) [20]。pre-DIC定义为入院第1天不满足DIC诊断标准,但在随后的7 d内符合DIC的诊断标准[21]。
1.3 数据收集 1.3.1 临床信息通过电子病历系统获取可用数据。资料收集如下:年龄、性别、慢性病,如高血压、糖尿病和慢性器官功能不全等,急性器官功能不全情况,免疫抑制状态,感染的部位,生命体征,实验室检查数据和28 d病死率。
1.3.2 凝血与炎症指标外周血样本用BD Vacutainer®管(BD Biosciences, CA, USA)采集。采用酶联免疫吸附试验(ELISA)法(R & D System, MN, USA)检测TNF-α、IL-1β、IL-2R、IL-6、IL-8、IL-10和PCT水平。通过全自动血液分析仪测定入EICU患者当天的血小板(PLT)及凝血功能指标—国际标准化比值(INR)、凝血酶原时间(PT)、凝血酶时间(TT)、活化部分凝血活酶时间(APTT)、D-二聚体、纤维蛋白原(Fib)。在本回顾性研究中,上述炎症和凝血指标将直接从电子病历数据库中获得。
1.3.3 危重评分根据收集到的临床信息和实验室检查计算SOFA、APACHE Ⅱ评分。
1.4 统计学方法计量资料首先检验其正态性,正态分布的计量资料以均数±标准差(x±s)表示,非正态分布资料用中位数(四分位数)[M(Q1,Q3)]表示。组间差异的显著性检验根据情况来选用Kruskal-Wallis秩检验、Mann-Whitney U检验、Friedman检验、χ2检验、Fisher检验、方差分析、事后多重比较。采用Logistic二项回归模型对患者出现pre-DIC状态的危险因素进行分析和评估。针对炎症和凝血标志物绘制预测脓毒症患者是否出现pre-DIC的受试者工作特征曲线(ROC曲线),计算曲线下面积(AUC)及相应的95%置信区间(CI)和最佳截断值(cut-off value)等。本次研究中,应用ROC曲线来评估凝血和炎症标志物对于pre-DIC的预测价值。以pre-DIC作为因变量,通过二元Logistics回归建立pre-DIC预测模型。将单因素分析结果中P<0.05的变量纳入Cox多因素回归分析,采用Cox多因素回归分析评估影响脓毒症患者28 d死亡风险的独立因素。将相关生物标志物绘制ROC曲线并计算最佳截断值,以最佳截断值作为标准将相关标志物分为高水平组和低水平组,多因素结果中P<0.05的炎症及凝血标志物通过Kaplan-Meier生存曲线及Log-rank检验比较差异。所有检验都采用双侧检验,以P < 0.05为差异有统计学意义。所有数据应用统计软件SPSS 23.0 (IBM SPSS Statistics.USA)或GraphPad Prism version 8.0.2进行统计分析、作图。
2 结果 2.1 脓毒症患者的基线特征和临床结局401例患者入监护室时符合脓毒症3.0标准,排除45人(存在血小板及凝血功能的疾病17人,中毒3人,创伤2人和入院前接受持续抗凝治疗23人)后,共有356例脓毒症患者纳入研究。本研究中,中位年龄为68岁,男性患者238人(66.9%),肺为最主要的感染部位(n=228,64%),余人口统计学特征和临床特征等列于表 1。根据ISTH标准,32例患者在入监护室时诊断为DIC (overt DIC,下称DIC组),23例患者在入监护室后7 d内进展为DIC (pre-DIC)。与非DIC患者相比,pre-DIC组的患者病情更严重,发生急性脏器功能不全的比例、SOFA评分、APACHE Ⅱ评分和28 d病死率更高,差异有统计学意义(P < 0.05),此外,pre-DIC组的肿瘤患者和发病前1月内持续应用免疫调节药物(糖皮质激素、免疫抑制剂)的患者比例高于非DIC组,两组差异均具有统计学意义(P < 0.05)。
| 变量 | All patients (n =356) | Non-DIC (n =301) | Pre-DIC (n =23) | Overt DIC (n =32) |
| 人口学特征 | ||||
| 年龄[M(Q1,Q3)] | 68 (55, 79) | 67.5 (53.5, 79) | 72 (64.5, 84) | 63 (54, 71.5)b |
| 性别(男性) | 238 (66.9) | 207 (68.8) | 14 (60.9) | 17 (53.1) |
| 脓毒症部位 | ||||
| 肺部感染 | 228 (64.0) | 196 (65.1) | 18 (78.3) | 14 (43.8) |
| 腹腔感染 | 67 (18.8) | 60 (19.9) | 1 (4.3) | 6 (18.8) |
| 泌尿道感染 | 27 (7.6) | 21 (7.0) | 2 (8.7) | 4 (12.5) |
| 软组织感染 | 4 (1.1) | 4 (1.3) | 0 (0) | 0 (0) |
| 其他 | 30 (8.4) | 20 (6.6) | 2 (8.7) | 8 (25.0) |
| 合并疾病 | ||||
| 高血压 | 190 (53.4) | 162 (53.8) | 12 (25.2) | 16 (50.0) |
| 糖尿病 | 103 (28.9) | 82 (27.2) | 10 (43.5) | 11 (34.4) |
| 高血脂 | 14 (3.9) | 13 (4.3) | 0 (0.00) | 1 (3.1) |
| 冠心病 | 34 (9.6) | 29 (9.6) | 3 (13.0) | 2 (6.3) |
| 陈旧性心梗 | 5 (1.4) | 5 (1.7) | 0 (0.00) | 0 (0.00) |
| 慢性心功能不全 | 27 (7.6) | 20 (6.6) | 4 (17.4) | 3 (9.4) |
| 心房颤动 | 30 (8.4) | 23 (7.6) | 4 (17.4) | 3 (9.4) |
| 哮喘 | 8 (2.2) | 6 (2.0) | 0 (0.0) | 2 (6.3) |
| 慢性阻塞性肺疾病 | 24 (6.7) | 22 (7.3) | 1 (4.4) | 1 (3.1) |
| 肺间质纤维化 | 4 (1.1) | 3 (1.0) | 1 (4.4) | 0 (0.0) |
| 慢性肾脏病 | 31 (8.7) | 25 (8.3) | 1 (4.4) | 5 (15.6) |
| 持续血透 | 7 (2.0) | 6 (2.0) | 1 (4.4) | 0 (0.0) |
| 脑卒中 | 34 (9.6) | 29 (9.6) | 3 (13.0) | 2 (6.2) |
| 帕金森病 | 7 (2.0) | 7 (2.3) | 0 (0.0) | 0 (0.0) |
| 恶性肿瘤个人史 | 29 (8.1) | 21 (7.0) | 6 (26.1)a | 2 (6.3)b |
| 免疫抑制状态 | ||||
| 粒细胞缺乏 | 7 (2.0) | 4 (1.3) | 1 (4.3) | 2 (6.2) |
| 免疫抑制宿主 | 26 (7.3) | 20 (6.6) | 3 (13) | 3 (9.4) |
| 1个月前持续应用过免疫抑制药物 | 34 (9.6) | 24 (8.0) | 6 (26.1)a | 4 (12.5) |
| 1个月前持续应用过糖皮质激素 | 30 (8.4) | 22 (7.3) | 5 (21.7)a | 3 (9.4) |
| 疾病的危重程度评估 | ||||
| APACHEⅡ评分[M(Q1,Q3)] | 12 (8, 17) | 12 (7, 16) | 20 (16, 24)a | 14 (10, 21)a |
| SOFA评分[M(Q1,Q3)] | 4 (3, 6) | 4 (3, 6) | 7 (5, 10)a | 7 (6, 9) a |
| 休克 | 59 (16.6) | 41 (13.6) | 9 (39.1)a | 9 (28.1) a |
| 呼吸衰竭 | 211 (59.3) | 177 (58.8) | 20 (87)a | 14 (43.8) b |
| 急性肾功能损伤 | 89 (25.0) | 59 (19.6) | 14 (60.9)a | 16 (50.0) a |
| 急性肝功能衰竭 | 17 (4.8) | 5 (1.7) | 2 (8.7) | 10 (31.3) a |
| 预后 | ||||
| 28 d病死率(%) | 11.5 | 7.0 | 52.2a | 25.0a, b |
| 注:与non-DIC组相比,aP < 0.05;与pre-DIC组相比,bP < 0.05 | ||||
356例患者中,入院当天90.4%的患者出现D-二聚体升高,但只有46.9%的患者存在INR延长,39.9%的患者存在血小板减少;97.8%的脓毒症患者出现IL-6的升高,86.2%的患者出现TNF-α的升高,71.9%的患者出现IL-2R的升高。相比非DIC患者,pre-DIC组患者的血小板计数和纤维蛋白原更低,INR、D-二聚体和APTT更高,IL-2R、IL-8和IL-10更高,且差异有统计学意义(P < 0.05, 表 2);比较DIC组和pre-DIC组,两组之间的炎症标志物均差异无统计学意义,但是DIC组有更高的PT (P < 0.05)、INR (P < 0.05)和APTT (P < 0.05),以及更低的血小板水平(P < 0.05,表 2)。
| 生物标志物 | 正常参考范围 | 所有患者的中位数水平 | 异常患者占比(%) | Non-DIC组[M(Q1,Q3)] | Pre-DIC组[M(Q1,Q3)] | Overt DIC [M(Q1,Q3)] |
| 凝血指标 | ||||||
| PLT | >125<109/L | 153 | 39.9 | 165 (123, 236) | 106 (68, 140)a | 47 (29, 68)a, b |
| PT | 10.0~13.0 s | 13.4 | 59.8 | 13.2 (12.3, 14.2) | 14.2 (13.8, 15.1)a | 17.3 (15.7, 19.8) a, b |
| INR | 0.50~1.20 | 1.2 | 46.9 | 1.17 (1.10, 1.26) | 1.27 (1.26, 1.37)a | 1.5 (1.41, 1.77) a, b |
| TT | 14.0~21.0 s | 16.6 | 7.0 | 16.6 (15.7, 17.3) | 16.9 (16.0, 18.3) | 17.6 (15.6, 20.5) |
| APTT | 25.0~31.3 s | 29.9 | 49.4 | 29.3 (27, 34) | 32.8 (28.5, 38.3)a | 36.6 (31.5, 41.5) a, b |
| Fib | 200~400 mg/dL | 449 | 70.8 | 480 (360, 652) | 365 (274, 437)a | 308 (204, 454) a |
| D-二聚体 | < 0.8 mg/L | 2.8 | 90.4 | 2.5 (1.2, 5.4) | 4.9 (3.1, 14.4)a | 11.4 (6.6, 17.4) a |
| 炎症指标 | ||||||
| TNF-α | < 8.1 pg/mL | 16.7 | 86.2 | 15.6 (9.9, 26.4) | 20.1 (15.1, 29.4) | 24.0 (15.1, 46.7)a |
| IL-1β | < 5.0 pg/mL | 4.9 | 28.9 | 4.9 (4.9, 5.2) | 4.9 (4.9, 6.6) | 4.9 (4.9, 10.9)a |
| IL-2R | 223~710 U/mL | 1062 | 71.9 | 979 (614, 1520) | 1435 (1088, 2662)a | 1616 (1158, 3845)a |
| IL-6 | < 3.4 pg/mL | 36.6 | 97.8 | 33.4 (14.2, 87.2) | 56.1 (25.7, 162.0) | 43.6 (35.2, 69.8) |
| IL-8 | < 62 pg/mL | 39 | 35.7 | 33 (16, 78) | 77 (33, 144)a | 61 (36.8, 104) a |
| IL-10 | < 9.1 pg/mL | 6.5 | 36.8 | 6.1 (5.0, 12.5) | 10.9 (7.6, 86.6)a | 11.0 (5.7, 20.3) a |
| PCT | < 0.5 ng/mL | 0.88 | 60.1 | 0.72 (0.17, 4.52) | 2.62 (0.40, 5.67) | 3.90 (1.20, 31.10) a |
| 注:与non-DIC组相比,aP < 0.05; 与pre-DIC组相比,bP < 0.05 | ||||||
通过对脓毒症患者进展为DIC (pre-DIC)的基线特征、凝血和炎症标志物进行单因素分析发现:1月前应用免疫抑制剂和糖皮质激素、肿瘤病史、基线危重评估(休克、呼吸衰竭、急性肾功能损伤)、凝血(PLT、PT、INR、APTT、Fib、D-二聚体)和部分炎症生物标志物(IL-2R、IL-8、PCT)与pre-DIC有关;将单因素中P < 0.05的变量继续进行多因素分析(由于INR为PT计算得来,故二者只纳入INR),发现肿瘤个人史(OR = 6.066,95% CI:1.167~31.542,P =0.032)、呼吸衰竭(OR = 75.615,95% CI:3.539~1615.523,P = 0.006)、急性肾功能损伤(OR = 5.386,95% CI:1.450~20.004,P = 0.012)和IL~2R (OR = 1.001,95% CI:1.000~1.001,P = 0.001)是脓毒症患者1周内发展为DIC的独立危险因素(表 3)。
| 变量 | OR (95% CI) | P值 |
| 恶性肿瘤个人史 | 6.066 (1.167~31.542) | 0.032 |
| 1个月前持续应用过免疫抑制药物 | 15.318 (0.586~400.375) | 0.101 |
| 1个月前持续应用过糖皮质激素 | 0.741 (0.028~19.892) | 0.858 |
| APACHEⅡ评分 | 1.047 (0.953~1.149) | 0.338 |
| SOFA评分 | 0.973 (0.738~1.283) | 0.845 |
| 休克 | 1.869 (0.370~9.428) | 0.449 |
| 呼吸衰竭 | 75.615 (3.539~1615.523) | 0.006 |
| 急性肾功能损伤 | 5.386 (1.450~20.004) | 0.012 |
| PLT | 0.992 (0.982~1.002) | 0.101 |
| INR | 1.195 (0.795~4.612) | 0.147 |
| APTT | 1.013 (0.912~1.124) | 0.812 |
| Fib | 0.997 (0.994~1.001) | 0.097 |
| D-二聚体 | 1.044 (0.984~1.109) | 0.154 |
| IL-2R | 1.001 (1.000~1.001) | 0.001 |
| IL-8 | 1.000 (0.998~1.001) | 0.326 |
| PCT | 1.915 (0.795~4.612) | 0.147 |
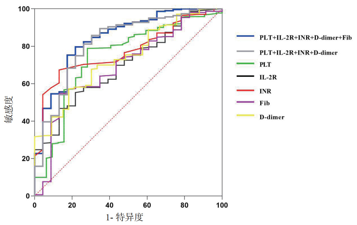
采用ROC曲线分析来评估预测pre-DIC状态的能力。将ISTH评分中的指标(PLT、INR、Fib、D-dimer)和3.1部分多因素分析中P < 0.05的炎症指标进行ROC曲线分析,曲线下面积(AUC)、最佳截断值、阳性预测值(PPV)和阴性预测值(NPV)见于表 4。血小板的曲线下面积(AUC)为0.744 (95% CI:0.632~0.855),最佳截断值是使敏感性和特异度的总和最大化的点,为116.5×109/L,阳性预测值(PPV)为20.3%,阴性预测值(NPV)为97.3%。INR的AUC为0.773 (95% CI:0.696~0.851),是所有生物标志物中最高的,最佳截断值为1.225,PPV和NPV分别为16.4%、98.6%;IL-2R的AUC为0.700 (95% CI:0.599~0.798),是炎症指标中最高的,PPV和NPV分别为11.6%、98.2%。血小板、INR、Fib、D-二聚体和IL-2R的组合AUC = 0.843 (95% CI:0.758~0.928,图 1)。
| 指标 | AUC (95% CI) | 最佳截断值 | 敏感度 | 特异度 | PPV | NPV |
| PLT | 0.744 (0.632~0.855) | 116.5×109/L | 79.2% | 69.6% | 20.3% | 97.3% |
| INR | 0.773 (0.696~0.851) | 1.225 | 87.0% | 67.3% | 16.4% | 98.6% |
| Fib | 0.694 (0.584~0.804) | 454 mg/dL | 54.8% | 87.0% | 10.0% | 97.2% |
| D-二聚体 | 0.717 (0.624~0.811) | 2.995 mg/L | 78.3% | 57.8% | 12.3% | 97.3% |
| IL-2R | 0.700 (0.599~0.798) | 902.5 U/mL | 87.0% | 46.8% | 11.6% | 98.2% |
|
| 图 1 通过联合凝血和炎症指标用ROC曲线预测pre-DIC状态 Fig 1 Combination of coagulation and inflammatory biomarkers to predict the pre-DIC state by ROC curves |
|
|
将脓毒症患者的人口学特征、合并疾病、免疫状态、危重评分、炎症和凝血标志物分别纳入单因素分析。将P < 0.05的单因素分析结果纳入Cox多因素回归分析(因SOFA评分中包含对血小板计数的评估,故二者只纳入SOFA评分;因免疫抑制宿主常有免疫抑制药物应用史以及合并粒细胞缺乏,故三者只纳入免疫抑制宿主),IL-2R (HR = 1.000,95% CI: 1.000~1.001,P < 0.05)、年龄(HR = 1.022,95% CI: 1.001~1.050,P < 0.05)、免疫抑制宿主(HR = 2.610,95% CI: 1.049~6.330,P < 0.05)、APACHE Ⅱ评分(HR = 1.088,95% CI: 1.026~1.153,P < 0.05)是脓毒症患者28 d死亡的独立危险因素(表 5)。
| 变量 | HR (95% CI) | P值 |
| 年龄 | 1.022 (1.001~1.050) | < 0.05 |
| 糖尿病 | 1.122 (0.582~2.161) | 0.771 |
| 恶性肿瘤个人史 | 2.479 (0.892~6.993) | 0.082 |
| 免疫抑制宿主 | 2.610 (1.049~6.330) | < 0.05 |
| INR | 1.175 (0.803~1.719) | 0.407 |
| Fib | 0.999 (0.997~1.001) | 0.343 |
| D-dimer | 1.011 (0.975~1.049) | 0.552 |
| IL-2R | 1.000 (1.000~1.001) | < 0.05 |
| IL-6 | 1.001 (0.999~1.002) | 0.601 |
| IL-8 | 1.000 (1.000~1.001) | 0.577 |
| IL-10 | 1.001 (0.999~1.004) | 0.298 |
| APACHE Ⅱ score | 1.088 (1.026~1.153) | < 0.05 |
| SOFA score | 1.045 (0.920~1.188) | 0.495 |
通过ROC曲线计算IL-2R预测脓毒症患者28 d病死率的最佳截断值,以最佳截断值将IL-2R分为高水平组和低水平组,分别绘制两组的Kaplan-Meier生存曲线并进行log-rank检验发现,脓毒症患者IL-2R低水平组(IL-2R ≤ 1 064.5 U/mL)与高水平组(IL-2R > 1064.5 U/mL)的28 d病死率具差异有统计学意义(P < 0.05,图 2)。
|
| 图 2 Kaplan-Meier生存曲线预测不同IL-2R水平的脓毒症患者28 d病死率 Fig 2 Prediction of 28-day mortality in septic patients with different IL-2R levels by Kaplan-Meier survival curve |
|
|
本研究发现,脓毒症凝血紊乱是逐步进展的,早期炎症指标的异常程度和脓毒症DIC的发生密切相关。在炎症因子中,IL-2R是识别pre-DIC的最佳指标。联合凝血和炎症指标可以识别pre-DIC。
脓毒症患者的炎症反应和凝血激活是相互影响、相互作用的,适度的凝血激活可以限制感染的扩散,但过度的炎症反应和凝血激活则会导致凝血紊乱的加重[22-24]。本研究发现大部分脓毒症患者存在炎症和凝血激活的异常,其中出现D-二聚体升高的患者占总人数的90.4%,约有97.8%的脓毒症患者出现IL-6的升高。大部分凝血指标的异常和DIC的进展相关,反映了脓毒症DIC是一个逐步进展的过程。
本研究共有55位脓毒症患者发生DIC,DIC在本研究人群的发病率为15.4%,接近先前研究的报道17.5%~24.5%[25]。研究发现,发生DIC的患者无论从危重评分、发生急性器官功能不全还是到病死率都显著高于无DIC的脓毒症患者,证明DIC是脓毒症一种常见的、高致死率的并发症。然而本研究发现,pre-DIC组的病情严重程度(发生呼吸衰竭的比例)和病死率都显著高于overt DIC组,并且2018年我国学者的一项大型多中心前瞻性研究也报道了类似的情况[26]。进一步分析发现,pre-DIC组中,应用免疫抑制(调节)剂的比例高于DIC组,并且远高于无DIC组。持续应用免疫抑制(调节)剂会引起宿主免疫系统功能受损,且肺部也是免疫抑制宿主最容易遭受病原体侵袭的器官之一,本研究中,pre-DIC组患者肺部感染占比为73.8%,高于DIC组的43.8%,所以不难理解pre-DIC组患者中出现呼吸衰竭的比例会更高。另外,免疫受损宿主发生脓毒症时预后更差,因此免疫受损宿主比例高可能是pre-DIC组预后更差的原因之一。此外,pre-DIC组的患者量偏少可能是另外一个原因。暂不清楚的是,免疫抑制状态对凝血会产生何种影响,免疫抑制人群发生脓毒症凝血紊乱时是否会以一种较为缓慢的方式进展成DIC。
脓毒症凝血紊乱的特征主要体现在凝血过度激活、内源性抗凝受损和纤溶抑制[27]。既往研究认为炎症因子特别是IL-6、IL-1和TNF-α参与了发病环节[6]。在本研究中,大部分脓毒症患者的IL-6 (97.8%)和TNF-α (86.2%)水平升高,但pre-DIC组和非DIC组之间没差异有统计学意义。而IL-1β只在28.9%的患者中存在升高。促炎细胞因子IL-2R、IL-8和抑炎细胞因子IL-10在pre-DIC组和非DIC组之间差异有统计学意义。而且IL-2R和IL-8,特别是IL-2R与DIC的发生有关,IL-2R对于预测pre-DIC有一定价值。Patel等[28]收集并分析了4年间入住犹他大学医院ICU的137例脓毒症患者,发现IL-8与脓毒症凝血病的严重程度有关,这与本研究的结果相似;最近的一项关于由新型冠状病毒引起脓毒症的研究也发现,IL-2R、PCT等炎症标志物的升高程度与凝血病严重程度成正相关[29]。过度的炎症反应促进组织因子介导的血栓形成同时会抑制生理抗凝系统和纤溶系统[6, 10, 12]。IL-2R是细胞因子IL-2的受体,二者均参与调控免疫反应和免疫细胞分化。目前研究表明,IL-2R将幼稚CD4 T细胞转化为活化的CD4 T细胞,并诱导其分化为自然杀伤(NK)细胞和辅助T细胞(Th1),NK细胞会生成大量干扰素(IFN)-γ,Th1细胞则会释放大量TNF-α、IFN-γ[30];TNF-α可以通过下调TM来削弱蛋白C系统的活化[10],而IFN-γ,尤其是来源于NK细胞的IFN-γ,在中性粒细胞胞外诱捕网(NETs)介导的血栓形成中发挥极为重要的作用[31]。同样在本次研究中也观察到DIC患者TNF-α水平显著升高。所以,可以推测IL-2R可能通过上述途径导致脓毒症DIC。但目前为止,还没有研究描述过IL-2R对于pre-DIC的预测价值,本研究数据首次展示了IL-2R和pre-DIC状态的关系,并通过IL-2R联合凝血指标证实了其早期诊断脓毒症DIC的价值。
脓毒症的本质是机体对于病原体入侵的反应失调[32],促炎和抑炎反应在其进展中发挥作用[33]。入侵病原体被免疫细胞识别后,机体启动病原体相关分子模式(PAMPs)释放细胞因子(特别是TNF-α、IL-1、IL-2、IL-6、IL-8)和趋化因子,促进中性粒细胞与内皮细胞黏附,进一步激活炎症反应[34]。既往研究发现细胞因子水平随病情加重而升高[32, 35-38],这与本次研究结果相似。本次研究还发现,死亡组中免疫抑制患者比例显著高于生存组。这与目前的认识相符,因为当机体处于免疫抑制时,中性粒细胞、单核细胞、树突状细胞和髓源性抑制细胞等出现功能障碍,固有免疫受到损害,导致机体防御能力下降和死亡风险增加[39]。但是,本研究发现,多因素分析后炎症因子中只有IL-2R与脓毒症患者28 d病死率相关,基于第一部分的研究——IL-2R与脓毒症患者发生DIC成独立相关,因此推测IL-2R与脓毒症凝血病进展相关,过程中引起多脏器功能衰竭进而导致患者死亡。
越来越多的研究表明,炎症反应激活凝血系统,同时激活的凝血系统反过来又会加剧炎症反应,最终导致脓毒症凝血病的进展。在本研究中,结合凝血标志物和细胞因子可以有效预测脓毒症患者的pre-DIC状态,虽然目前没有单一的生物标志物可以诊断pre-DIC,但本研究的结果为诊断pre-DIC提供了参考。
本研究是一个单中心、回顾性的研究,且pre-DIC患者样本量不大,存在局限性。此外,本次研究中,IL-6水平在DIC组和非DIC组之间并未观察到统计学差异,这与既往的认知不同,且目前无法对这个结果提供一个合理的解释。是样本量的问题,还是对发病机制还存在认知盲区,这需要更大样本量的前瞻性研究进行验证。
利益冲突 所有作者均声明不存在利益冲突
作者贡献声明 董亦鸣:数据收集及整理、统计学分析、论文撰写;曾湘鹏、赵会鑫:数据收集及整理、统计学分析;童朝阳、宋振举、邵勉:研究设计、论文修改
| [1] | Adamik B, Gozdzik W, Jakubczyk D, et al. Coagulation abnormalities identified by throm-boelastometry in patients with severe sepsis[J]. Blood Coagulation Fibrinolysis, 2017, 28(2): 163-170. DOI:10.1097/mbc.0000000000000572 |
| [2] | Engelmann B, Massberg S. Thrombosis as an intravascular effector of innate immunity[J]. Nat Rev Immunol, 2013, 13(1): 34-45. DOI:10.1038/nri3345 |
| [3] | Hoppensteadt D, Tsuruta K, Hirman J, et al. Dysregulation of inflammatory and hemostatic markers in sepsis and suspected disseminated intravascular coagulation[J]. Clin Appl Thromb Hemost, 2015, 21(2): 120-127. DOI:10.1177/1076029613509476 |
| [4] | Levi M. The coagulant response in sepsis and inflammation[J]. Hamostaseologie, 2010, 30(1) 10-12, 14-16. DOI:10.1055/s-0037-1617143 |
| [5] | Levi M, van der Poll T, ten Cate H. Tissue factor in infection and severe inflammation[J]. Semin Thromb Hemost, 2006, 32(1): 33-39. DOI:10.1055/s-2006-933338 |
| [6] | van Deventer SJ, Büller HR, ten Cate JW, et al. Experimental endotoxemia in humans: analysis of cytokine release and coagulation, fibrinolytic, and complement pathways[J]. Blood, 1990, 76(12): 2520-2526. DOI:10.1182/blood.V76.12.2520.2520 |
| [7] | van der Poll T, Levi M, Hack CE, et al. Elimination of interleukin 6 attenuates coagulation ac-tivation in experimental endotoxemia in chimpanzees[J]. J Exp Med, 1994, 179(4): 1253-1259. DOI:10.1084/jem.179.4.1253 |
| [8] | Boermeester MA, van Leeuwen PA, Coyle SM, et al. Interleukin-1 blockade attenuates medi-ator release and dysregulation of the hemostatic mechanism during human sepsis[J]. Arch Surg, 1995, 130(7): 739-748. DOI:10.1001/archsurg.1995.01430070061012 |
| [9] | Kobayashi M, Shimada K, Ozawa T. Human recombinant interleukin-1 beta- and tumor ne-crosis factor alpha-mediated suppression of heparin-like compounds on cultured porcine aortic endothelial cells[J]. J Cell Physiol, 1990, 144(3): 383-390. DOI:10.1002/jcp.1041440304 |
| [10] | Nawroth PP, Stern DM. Modulation of endothelial cell hemostatic properties by tumor necrosis factor[J]. J Exp Med, 1986, 163(3): 740-745. DOI:10.1084/jem.163.3.740 |
| [11] | Faust SN, Levin M, Harrison OB, et al. Dysfunction of endothelial protein C activation in severe meningococcal sepsis[J]. N Engl J Med, 2001, 345(6): 408-416. DOI:10.1056/nejm200108093450603 |
| [12] | Biemond BJ, Levi M, Ten Cate H, et al. Plasminogen activator and plasminogen activator inhibitor I release during experimental endotoxaemia in chimpanzees: effect of interventions in the cytokine and coagulation cascades[J]. Clin Sci (Lond), 1995, 88(5): 587-594. DOI:10.1042/cs0880587 |
| [13] | Taylor FB Jr, Toh CH, Hoots WK, et al. Towards definition, clinical and laboratory criteria, and a scoring system for disseminated intravascular coagulation[J]. Thromb Haemost, 2001, 86(5): 1327-1330. |
| [14] | Gando S, Iba T, Eguchi Y, et al. A multicenter, prospective validation of disseminated intravascular coagulation diagnostic criteria for critically ill patients: comparing current criteria[J]. Crit Care Med, 2006, 34(3): 625-631. DOI:10.1097/01.ccm.0000202209.42491.38 |
| [15] | Kobayashi N, Maekawa T, Takada M, et al. Criteria for diagnosis of DIC based on the analysis of clinical and laboratory findings in 345 DIC patients collected by the Research Committee on DIC in Japan[J]. Bibl Haematol, 1983(49): 265-275. DOI:10.1159/000408467 |
| [16] | Umemura Y, Yamakawa K. Optimal patient selection for anticoagulant therapy in sepsis: an evidence-based proposal from Japan[J]. J Thromb Haemost, 2018, 16(3): 462-464. DOI:10.1111/jth.13946 |
| [17] | Singer M, Deutschman CS, Seymour CW, et al. The third international consensus definitions for sepsis and septic shock (Sepsis-3)[J]. JAMA, 2016, 315(8): 801-810. DOI:10.1001/jama.2016.0287 |
| [18] | L Vincent J, Moreno R, Takala J, et al. The SOFA (Sepsis-related Organ Failure Assessment) score to describe organ dysfunction/failure[J]. Intensive Care Med, 1996, 22(7): 707-710. DOI:10.1007/BF01709751 |
| [19] | Teasdale G, Maas A, Lecky F, et al. The Glasgow Coma Scale at 40 years: standing the test of time[J]. Lancet Neurol, 2014, 13(8): 844-854. DOI:10.1016/S1474-4422(14)70120-6 |
| [20] | Bakhtiari K, Meijers JC, de Jonge E, et al. Prospective validation of the International Society of Thrombosis and Haemostasis scoring system for disseminated intravascular coagulation[J]. Crit Care Med, 2004, 32(12): 2416-2421. DOI:10.1097/01.ccm.0000147769.07699.e3 |
| [21] | Wada H, Sakuragawa N, Shiku H. Hemostatic molecular markers before onset of disseminated intravascular coagulation in leukemic patients[J]. Semin Thromb Hemost, 1998, 24(3): 293-297. DOI:10.1055/s-2007-995857 |
| [22] | Thachil J. Managing sepsis-associated coagulopathy remains an enigma[J]. J Thromb Haemost, 2019, 17(10): 1586-1589. DOI:10.1111/jth.14590 |
| [23] | Simmons J, Pittet JF. The coagulopathy of acute sepsis[J]. Curr Opin Anaesthesiol, 2015, 28(2): 227-236. DOI:10.1097/aco.0000000000000163 |
| [24] | Semeraro N, Ammollo CT, Semeraro F, et al. Coagulopathy of acute Sepsis[J]. Semin Thromb Hemost, 2015, 41(6): 650-658. DOI:10.1055/s-0035-1556730 |
| [25] | Dhainaut JF, Yan SB, Joyce DE, et al. Treatment effects of drotrecogin Alfa (activated) in patients with severe sepsis with or without overt disseminated intravascular coagulation[J]. J Thromb Haemost, 2004, 2(11): 1924-1933. DOI:10.1111/j.1538-7836.2004.00955.x |
| [26] | Mei H, Jiang Y, Luo LL, et al. Evaluation the combined diagnostic value of TAT, PIC, tPAIC, and sTM in disseminated intravascular coagulation: a multi-center prospective observational study[J]. Thromb Res, 2019, 173: 20-26. DOI:10.1016/j.thromres.2018.11.010 |
| [27] | Iba T, Ito T, Maruyama I, et al. Potential diagnostic markers for disseminated intravascular coagulation of sepsis[J]. Blood Rev, 2016, 30(2): 149-155. DOI:10.1016/j.blre.2015.10.002 |
| [28] | Patel P, Walborn A, Rondina M, et al. Markers of inflammation and infection in sepsis and disseminated intravascular coagulation[J]. Clin Appl Thromb Hemost, 2019, 25: 107602961984333. DOI:10.1177/1076029619843338 |
| [29] | Long X, Zhang ZG, Zou WB, et al. Coagulopathy of patients with COVID-19 is associated with infectious and inflammatory markers[J]. Risk Manag Healthc Policy, 2020, 13: 1965-1975. DOI:10.2147/RMHP.S268238 |
| [30] | Hsieh EW, Hernandez JD. Clean up by aisle 2: roles for IL-2 receptors in host defense and tolerance[J]. Curr Opin Immunol, 2021, 72: 298-308. DOI:10.1016/j.coi.2021.07.010 |
| [31] | Bertin FR, Rys RN, Mathieu C, et al. Natural killer cells induce neutrophil extracellular trap formation in venous thrombosis[J]. J Thromb Haemost, 2019, 17(2): 403-414. DOI:10.1111/jth.14339 |
| [32] | Cecconi M, Evans L, Levy M, et al. Sepsis and septic shock[J]. Lancet (London, England), 2018, 392(10141): 75-87. DOI:10.1016/s0140-6736(18)30696-2 |
| [33] | Yadav H, Cartin-Ceba R. Balance between hyperinflammation and immunosuppression in sepsis[J]. Semin Respir Crit Care Med, 2016, 37(1): 42-50. DOI:10.1055/s-0035-1570356 |
| [34] | Lupu F, Keshari RS, Lambris JD, et al. Crosstalk between the coagulation and complement systems in sepsis[J]. Thromb Res, 2014, 133(Suppl 1): S28-S31. DOI:10.1016/j.thromres.2014.03.014 |
| [35] | Umemura Y, Yamakawa K, Ogura H, et al. Efficacy and safety of anticoagulant therapy in three specific populations with sepsis: a meta-analysis of randomized controlled trials[J]. J Thromb Haemost, 2016, 14(3): 518-530. DOI:10.1111/jth.13230 |
| [36] | Taeb AM, Hooper MH, Marik PE. Sepsis: current definition, pathophysiology, diagnosis, and management[J]. Nutr Clin Pract, 2017, 32(3): 296-308. DOI:10.1177/0884533617695243 |
| [37] | Faix JD. Biomarkers of sepsis[J]. Critical reviews in clinical laboratory sciences, 2013, 50(1): 23-36. DOI:10.3109/10408363.2013.764490 |
| [38] | Raymond SL, Holden DC, Mira JC, et al. Microbial recognition and danger signals in sepsis and trauma[J]. Biochim Biophys Acta Mol Basis Dis, 2017, 1863(10 Pt B): 2564-2573. DOI:10.1016/j.bbadis.2017.01.013 |
| [39] | Venet F, Monneret G. Advances in the understanding and treatment of sepsis-induced immunosuppression[J]. Nat Rev Nephrol, 2018, 14(2): 121-137. DOI:10.1038/nrneph.2017.165 |
2022, Vol. 31



