2. 湖州市中心医院 浙江大学医学院附属湖州医院妇产科,湖州 313000
2. Department of Obstetrics and Gynecology, Huzhou Central Hospital, The Affiliated Huzhou Hospital of Zhejiang University School of Medicine, Huzhou 313000, China
心脏骤停(cardiac arrest, CA)是临床上一种较为常见的心血管病之一,具有危急性、复杂性和不可预测性等特点,CA导致的死亡占心血管疾病死亡的60%以上[1-2]。虽然近些年来心肺复苏术和复苏后的管理已经取得了许多进展,但CA患者的生存率仍较低,尤其是院外CA患者,总体生存率低于10%[3-4]。而且,很多时候存活患者留有各种后遗症,影响着他们的生活质量[5]。总体来看,CA患者预后不良[6-7],且目前缺乏对CA患者预后评估的有效临床标志物。
强离子间隙(strong ion gap, SIG)是一种反映体内酸碱平衡的指标,是指所有血浆中未被测量的强阳离子与强阴离子的差值,代谢性酸中毒时,SIG会增加[8]。诸多研究发现,SIG对急性百草枯中毒、急性肾损伤及急性胰腺炎等多种急危重症疾病的病情严重程度及预后评估方面具有一定的临床价值[9-11],但不同SIG水平与CA患者预后的关系尚不明确。本研究通过探讨入重症医学科(intensive care unit, ICU)时不同SIG水平对成人CA患者短期预后的相关性,为临床上对此类患者的预后评估提供新思路。
1 资料与方法 1.1 研究对象本研究是一项回顾性研究,研究对象来自美国重症监护室电子病例数据集(MIMIC-Ⅲ,v1.4,起止时间为2001—2012年)。数据提取人员通过参加培训考核,获得使用这一数据库的资质,数据库的发布得到贝斯以色列迪康医疗中心和麻省理工学院附属机构审查委员会的批准。首先提取数据人员下载MIMIC-Ⅲ数据库;然后通过PostgreSQL软件访问该数据库,采用Sql语言检索疾病ICD编码,同时提取研究数据;最后对研究数据中的缺失值、异常值等进行统计学处理并统计分析。
该项研究的纳入标准:(1)ICU住院成年患者(≥18岁),(2)ICU住院时间≥24 h,(3)所有CA患者。排除标准:(1)非首次入住ICU患者,(2)入ICU 24 h内死亡,(3)重要变量数据缺失。
1.2 分组情况本研究采用三分位数法依据SIG水平,将所有患者分为3组;并根据CA患者90 d预后情况,将患者分为死亡组和存活组。
SIG计算公式是基于既往研究[9],具体为SIG(mmol/L)=Na++K+-Cl--HCO3--白蛋白浓度(g/dL)×(1.2×pH-6.15)-PO4-(mg/dL)×(0.097×pH-0.13);其中PO4-表示磷酸盐,其值是血磷(mmol/L)与常数0.323的比值。
1.3 研究结局研究结局包括CA患者28 d及90 d全因病死率。
1.4 统计学方法本研究所有数据基于Stata14.0软件完成统计分析。根据计量资料分布特点,若符合正态分布,采用均数±标准差(x±s)表示,采用t检验或方差分析;若不符合正态分布,采用中位数(四分位数)[M(Q1,Q3)]表示,并采用方差分析或秩和检验。计数资料用频数(百分比)来表示,并采用χ2检验。采用Kaplan-Meier法绘制CA患者28 d和90 d生存曲线,同时用log-rank方法比较不同组间生存曲线的差异。结合临床实际情况,本文将单因素分析中P < 0.10的指标纳入多因素Cox回归。采用多因素Cox回归分析模型,以分析SIG是否为CA患者全因病死率的独立预测因子。以P < 0.05为差异有统计学意义。
2 结果 2.1 临床基线特征比较初步从上述数据库中检索到1 361例CA患者,按照纳入排除标准,最终入选606例成人CA患者,年龄(66.91±15.95)岁,男性占63.04%(382例),其中ICU住院期间、28 d和90 d全因病死率分别为36.47%、49.17%、56.93%。不同SIG分组CA患者临床基线信息见表 1。序贯器官衰竭评分、SIG、阴离子间隙(anion gap, AG)、pH、乳酸、白细胞、凝血酶原时间、肌酐、血钾、血磷、高血压、冠心病、心源性休克及ICU住院期间、28 d和90 d全因病死率等指标均差异有统计学意义(均P < 0.05)。另外,生存组与死亡组的临床基线特征比较见表 2。
| 指标 | SIG(mmol/L) | F/χ2值 | P值 | ||
| < 3.91组(n=202) | 3.91~7.32组(n=202) | > 7.32组(n=202) | |||
| 年龄(岁)a | 67.11±15.57 | 68.55±15.11 | 65.07±16.98 | 2.440 | 0.088 |
| 男性b | 130(64.36) | 130(64.36) | 122(60.40) | 0.907 | 0.636 |
| SOFA评分(分)a | 5.41±3.38 | 6.34±3.58 | 8.14±3.55 | 31.840 | < 0.001 |
| SIG(mmol/L)a | 1.99(0.86, 3.03) | 5.35(4.55, 6.23) | 10.00(8.33, 12.06) | 537.779 | < 0.001 |
| AG(mmol/L)a | 12.19±2.13 | 15.36±2.00 | 20.78±4.15 | 444.02 | < 0.001 |
| pHa | 7.36±0.11 | 7.34±0.12 | 7.28±0.13 | 29.900 | < 0.001 |
| 乳酸(mmol/L)c | 1.90(1.20, 2.60) | 2.60(1.60, 3.80) | 4.50(2.60, 7.20) | 117.317 | < 0.001 |
| PaO2(mmHg)a | 173.00(94.00,285.00) | 152.00(92.00,246.00) | 175.50(88.00,276.00) | 1.479 | 0.477 |
| 白细胞(×109/L)a | 10.60(7.60,14.90) | 14.30(9.60,19.10) | 14.05(10.20,20.10) | 37.750 | < 0.001 |
| 血红蛋白(g/L)a | 110.74±21.33 | 113.52±23.51 | 109.71±25.73 | 1.420 | 0.244 |
| 血小板(×109/L)a | 197.00(144.00,249.00) | 209.00(150.00,279.00) | 213.50(157.00,285.00) | 5.694 | 0.058 |
| 凝血酶原时间(s)c | 14.10(13.00, 15.90) | 14.50(13.40, 17.10) | 15.85(14.20, 19.60) | 41.522 | < 0.001 |
| 总胆红素(µmol/L)c | 11.97(6.84, 17.10) | 11.97(6.84, 17.10) | 11.97(6.84, 22.23) | 1.151 | 0.563 |
| 肌酐(µmol/L)c | 79.56(61.88, 106.08) | 106.08(79.56, 159.12) | 132.60(97.24, 229.84) | 89.154 | < 0.001 |
| 血钾(mmol/L)a | 4.14±0.65 | 4.27±0.86 | 4.41±1.01 | 4.970 | 0.007 |
| 血钠(mmol/L)a | 138.52±4.80 | 137.94±4.88 | 138.24±4.91 | 0.740 | 0.477 |
| 血总钙(mmol/L)a | 2.06±0.23 | 2.06±0.21 | 2.06±0.35 | 0.040 | 0.962 |
| 血磷(mmol/L)a | 1.19±0.35 | 1.28±0.42 | 1.54±0.70 | 26.130 | < 0.001 |
| PCIb | 33(16.34) | 37(18.32) | 31(15.35) | 0.665 | 0.717 |
| 冠脉造影检查b | 59(29.21) | 67(33.17) | 48(23.76) | 4.402 | 0.111 |
| 合并症b | |||||
| 高血压 | 100(49.50) | 70(34.65) | 66(32.67) | 14.380 | 0.001 |
| 糖尿病 | 59(29.21) | 61(30.20) | 69(34.16) | 1.292 | 0.524 |
| 冠心病 | 81(40.10) | 78(38.61) | 50(24.75) | 12.811 | 0.002 |
| 高脂血症 | 50(24.75) | 50(24.75) | 42(20.79) | 1.177 | 0.555 |
| 心肌梗死 | 23(11.39) | 31(15.35) | 31(15.35) | 1.752 | 0.417 |
| 心源性休克 | 28(13.86) | 31(15.35) | 47(23.27) | 7.158 | 0.028 |
| ICU住院时间(d)c | 6.19(3.13, 12.40) | 7.33(3.26, 13.11) | 6.37(3.36, 12.72) | 1.593 | 0.451 |
| 总住院时间(d)c | 12.96(6.13, 23.75) | 12.98(7.63, 23.17) | 11.56(5.88, 20.21) | 4.675 | 0.097 |
| 全因病死率b | |||||
| ICU | 59(29.21) | 73(36.14) | 89(44.06) | 9.629 | 0.008 |
| 28 d | 81(40.10) | 102(50.50) | 115(56.93) | 11.660 | 0.003 |
| 90 d | 95(47.03) | 121(59.90) | 129(63.86) | 12.760 | 0.002 |
| 注:SOFA为序贯器官衰竭评分,SIG为强离子间隙,AG为阴离子间隙,PaO2为动脉血氧分压,PCI为经皮冠状动脉介入治疗,ICU为重症医学科;a为x±s,b为例(%),c为M(Q1,Q3) | |||||
| 指标 | 生存组(n=261) | 死亡组(n=345) | F/χ2值 | P值 |
| 年龄(岁)a | 64.04±14.96 | 69.08±16.34 | -3.891 | < 0.001 |
| 男性b | 169(64.75) | 213(61.74) | 0.579 | 0.447 |
| SOFA评分(分)a | 6.34±3.59 | 6.85±3.74 | -1.664 | 0.097 |
| SIG(mmol/L)c | 4.63(2.02, 7.49) | 5.89(3.67, 9.08) | -4.166 | < 0.001 |
| AG(mmol/L)a | 15.43±4.32 | 16.62±4.74 | -3.180 | 0.002 |
| pHa | 7.33±0.12 | 7.32±0.13 | 0.685 | 0.494 |
| 乳酸(mmol/L)c | 2.60(1.60, 4.30) | 2.60(1.60, 4.90) | -0.831 | 0.406 |
| PaO2(mmHg)c | 190.58(109.00, 303.00) | 136.00(84.00, 234.00) | 4.159 | < 0.001 |
| 白细胞(×109/L)a | 14.10±7.29 | 14.33±7.69 | -0.378 | 0.705 |
| 血红蛋白(g/L)a | 114.29±23.64 | 109.08±23.37 | 2.702 | 0.007 |
| 血小板(×109/L)c | 209.00(160.00, 279.00) | 202.00(144.00, 263.00) | 1.493 | 0.136 |
| 凝血酶原时间(s)c | 14.30(13.30, 16.70) | 15.10(13.70, 18.50) | -3.513 | < 0.001 |
| 总胆红素(µmol/L)c | 11.97(6.84, 17.10) | 11.97(6.84, 20.52) | -1.912 | 0.056 |
| 肌酐(µmol/L)c | 97.24(70.72, 141.44) | 106.08(79.56, 185.64) | -2.284 | 0.022 |
| 血钾(mmol/L)a | 4.26±0.94 | 4.29±0.79 | -0.464 | 0.643 |
| 血钠(mmol/L)a | 138.36±4.42 | 138.14±5.17 | 0.571 | 0.568 |
| 血总钙(mmol/L)a | 2.08±0.30 | 2.04±0.25 | 1.846 | 0.065 |
| 血磷(mmol/L)a | 1.15±0.40 | 1.28±0.61 | -2.983 | 0.003 |
| PCIb | 55(21.07) | 46(13.33) | 6.408 | 0.011 |
| 冠脉造影检查b | 95(36.40) | 79(22.90) | 13.230 | < 0.001 |
| 合并症b | ||||
| 高血压 | 105(40.23) | 131(37.97) | 0.319 | 0.572 |
| 糖尿病 | 81(31.03) | 108(31.30) | 0.005 | 0.943 |
| 冠心病 | 117(44.83) | 92(26.67) | 21.691 | < 0.001 |
| 高脂血症 | 71(27.20) | 71(20.58) | 3.633 | 0.057 |
| 心肌梗死 | 45(17.24) | 40(11.59) | 3.930 | 0.047 |
| 心源性休克 | 46(17.62) | 60(17.39) | 0.006 | 0.940 |
| ICU住院时间(d)c | 7.15(3.09, 14.43) | 6.44(3.43, 11.51) | 0.713 | 0.476 |
| 总住院时间(d)c | 16.92(9.96, 26.13) | 10.54(5.25, 18.88) | 6.788 | < 0.001 |
| 注:SIG为强离子间隙,AG为阴离子间隙,SOFA为序贯器官衰竭评分,PaO2为动脉血氧分压,PCI为经皮冠状动脉介入治疗,ICU为重症医学科;a为x±s,b为例(%),c为M(Q1,Q3) | ||||
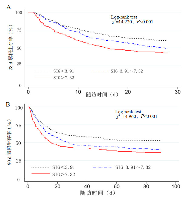
Kaplan-Meier生存曲线显示,随着SIG指标的上升,CA患者28 d和90 d累积生存率会逐渐降低,差异均具有统计学意义(均P < 0.001)。见图 1。
|
| 图 1 三组CA患者28 d(A)和90 d(B)累积生存率KM生存曲线 Fig 1 Kaplan-Meier curves of 28-day (A) and 90-day (B) cumulative survival rate of CA patients among three different groups |
|
|
单因素Cox回归分析模型显示,与基线组相比,第三组(SIG > 7.32 mmol/L组)CA患者28 d及90 d全因病死率分别为HR=1.718(95%CI: 1.293~2.283)和HR=1.678(95%CI: 1.287~2.188),表明升高的SIG(> 7.32 mmol/L)是CA患者28 d和90 d全因病死率的危险因素。调整相关混杂因素后,多因素Cox回归分析结果仍显示,SIG水平上升(> 7.32 mmol/L)是CA患者28 d(HR=1.610,95%CI: 1.177~2.203,P=0.003)、90 d(HR=1.506,95%CI: 1.123~2.019,P=0.006)全因病死率的独立预测因子。见表 3。
| 暴露因素 | 模型一 | 模型二 | |||||
| HR值 | 95%CI | P值 | HR值 | 95%CI | P值 | ||
| 28 d病死率 | |||||||
| < 3.91 mmol/L组 | 基线 | ||||||
| 3.91~7.32 mmol/L组 | 1.336 | 0.998~1.788 | 0.052 | 1.294 | 0.958~1.746 | 0.093 | |
| > 7.32 mmol/L组 | 1.718 | 1.293~2.283 | < 0.001 | 1.610 | 1.177~2.203 | 0.003 | |
| 90 d病死率 | |||||||
| < 3.91 mmol/L组 | 基线 | ||||||
| 3.91~7.32 mmol/L组 | 1.384 | 1.058~1.811 | 0.018 | 1.316 | 0.998~1.737 | 0.052 | |
| > 7.32 mmol/L组 | 1.678 | 1.287~2.188 | < 0.001 | 1.506 | 1.123~2.019 | 0.006 | |
| 注:模型一未调整任何指标;模型二调整年龄、序贯器官衰竭估计评分、凝血酶原时间、动脉血氧分压、血红蛋白、肌酐、总胆红素、血总钙、经皮冠状动脉介入治疗、冠心病、急性心肌梗死及高脂血症 | |||||||
本研究通过对比入ICU时SIG水平与CA患者全因病死率比较发现,随着SIG水平的升高,CA患者病情随之加重,整体病死率呈现出一种逐步上升趋势,表明升高的SIG可能是CA患者病死的潜在危险因素。Kaplan-Meier生存曲线显示,随着SIG指标的逐渐上升,CA患者28 d和90 d累积生存率随之降低,差异均具有统计学意义。多因素Cox回归风险模型显示,增高的SIG(> 7.32 mmol/L)是CA患者28 d和90 d全因病死率的独立预测因子,证明高SIG与成人CA患者不良预后相关。
自上个世纪初期以来,医学工作者们一直在探索评估患者体内酸碱平衡的方法和工具,先后发现了Henderson–Hasselbalch法、Siggaard-Andersen法和AG等方法或指标。传统上,临床医师运用这些方法来判断患者体内酸碱平衡情况[12]。但是在临床实际工作中,由于很多危重症患者会合并或进展为多脏器功能衰竭,这些患者通常会合并低蛋白血症,且磷酸盐等非碳酸盐缓冲系统会存在异常[13],因此会干扰临床医生的判断。因此在20世纪80年代,加拿大生理学家Stewart[14]提出了Stewart模型,随后Figge等[15]对其进行了完善,该方法计算出来的SIG不会受pH值和一些药物的干扰,同时也不受呼吸性酸碱平稳情况的影响[16]。研究表明,Stewart法对酸碱失衡的判断要优于这些传统方法,并且对于复杂的酸碱平衡失调问题的判断更加真实、准确和可靠[17-18]。为此,SIG可能是一个潜在的更加真实的反应危重症患者体内酸碱状态的指标。
众所周知,酸碱平衡紊乱是临床上一个常见的问题,尤其是代谢性酸中毒,其与重症患者病死率存有关联[19]。Ho等[20]的一项共计6 878名重症患者的队列研究表明,SIG联合乳酸可用来预测重症患者住院病死率(AUC=0.631,95%CI: 0.611~0.652),但其预测效能不如乳酸(AUC=0.701,95%CI: 0.682~0.721)。另外,张红兵等[21]前瞻性收集189例急性心肌梗死患者资料,其研究结果显示,SIG是急性心肌梗死发生急性心力衰竭的独立预测因素,且与急性心力衰竭的严重程度具有关联性。此外,近些年来SIG作为一种反应疾病不良预后的新型标志物,一些研究探索了其与心肌梗死[22]、扩张型心肌病[23]及主动脉夹层[16]等心血管系统疾病的严重程度以及不良预后之间的关系。
但是,目前对于SIG与CA患者不良预后的相关研究鲜见报道。一项纳入288例院外CA患者的回顾性观察性研究表明[24],自主循环恢复12 h后高水平SIG(> 8.9 mmol/L)是CA患者6个月时神经功能预后不良结局的独立危险因素,且升高的SIG与CA患者6个月累计病死率之间可能存有关联。另外一项前瞻性观察性研究共纳入170名院外CA患者[25],研究结果表明,SIG在预测CA患者自主循环恢复方面具有一定的临床价值,但其预测性能不如AG和白蛋白校正阴离子间隙。不过,上述研究并没有对SIG是否为CA患者病死率的独立危险因素进行探讨。为此本文以此为突破点,通过研究此类患者的临床相关资料,进一步发现SIG水平上升(> 7.32 mmol/L)是CA患者28 d、90 d全因病死率的独立预测因子。但是,由于本研究属于观察性研究,并未涉及到SIG与CA患者不良预后之间关系的病理生理学机制,有待未来的研究阐述这一问题。
综上所述,升高的SIG是影响成年CA患者28 d和90 d全因病死率的独立预测因子, 计算此类患者的SIG水平有助于临床医生早期识别预后不良的人群。由于本研究数据来自国外的一个开放性单中心重症医学数据库,因此尚需国内多中心的相关研究数据来证实。
利益冲突 所有作者声明无利益冲突
作者贡献声明 杨江江:研究设计、统计学分析、论文撰写和论文修改等;钟磊和王海丽:数据收集及整理、统计学分析和论文撰写等;姬晓伟:对文章的知识性内容做批判性审阅、指导,论文修改;谢波:研究设计、论文修改和审核等
| [1] | Berg KM. The limitations of evidence: increasing data and increasing doubt in the treatment of cardiac arrest[J]. Curr Opin Crit Care, 2020, 26(6): 617-621. DOI:10.1097/MCC.0000000000000765 |
| [2] | Pan H, Hibino M, Kobeissi E, et al. Blood pressure, hypertension and the risk of sudden cardiac death: a systematic review and meta-analysis of cohort studies[J]. Eur J Epidemiol, 2020, 35(5): 443-454. DOI:10.1007/s10654-019-00593-4 |
| [3] | Singer B, Reynolds JC, Davies GE, et al. Sub30: Protocol for the Sub30 feasibility study of a pre-hospital Extracorporeal membrane oxygenation (ECMO) capable advanced resuscitation team at achieving blood flow within 30 min in patients with refractory out-of-hospital cardiac arrest[J]. Resusc Plus, 2020, 4: 100029. DOI:10.1016/j.resplu.2020.100029 |
| [4] | 寇卜今, 陈碧华, 廖雪丽, 等. 气管内插管与声门上气道放置对院外心脏骤停患者心肺复苏疗效的Meta分析[J]. 中华危重症医学杂志(电子版), 2019, 12(3): 163-168. DOI:10.3877/cma.j.issn.1674-6880.2019.03.004 |
| [5] | 吴佳天, 陆宗庆, 朱星星, 等. 《美国心脏协会关于心搏骤停存活的科学声明》摘译与解读[J]. 中华危重病急救医学, 2020, 32(8): 915-921. DOI:10.3760/cma.j.cn121430-20200605-00440 |
| [6] | 张懿, 杜兰芳, 马青变. 全球心脏骤停中心发展状况及其急救模式探索[J]. 中华急诊医学杂志, 2022, 31(4): 429-432. DOI:10.3760/cma.j.issn.1671-0282.2022.04.001 |
| [7] | 唐春福, 张军根, 王建岗, 等. 以胸外按压比例为核心指标的心脏骤停院前救治培训设计与效果观察[J]. 中华急诊医学杂志, 2022, 31(4): 504-507. DOI:10.3760/cma.j.issn.1671-0282.2022.04.013 |
| [8] | Torrente Artero C. A quick reference on anion gap and strong ion gap[J]. Vet Clin North Am Small Anim Pract, 2017, 47(2): 191-196. DOI:10.1016/j.cvsm.2016.10.006 |
| [9] | 谢继, 赵扬, 白小翠, 等. 强离子隙与急性百草枯中毒患者预后的相关性研究[J]. 中华急诊医学杂志, 2020, 29(10): 1318-1321. DOI:10.3760/cma.j.issn.1671-0282.2020.10.010 |
| [10] | Zheng CM, Liu WC, Zheng JQ, et al. Metabolic acidosis and strong ion gap in critically ill patients with acute kidney injury[J]. Biomed Res Int, 2014, 2014: 819528. DOI:10.1155/2014/819528 |
| [11] | Shen X, Ke L, Yang DL, et al. The prognostic value of the strong ion gap in acute pancreatitis[J]. J Crit Care, 2016, 36: 140-145. DOI:10.1016/j.jcrc.2016.06.035 |
| [12] | Colombo R, Wu MA, Castelli A, et al. The effects of severe hemoconcentration on acid-base equilibrium in critically ill patients: the forgotten role of buffers in whole blood[J]. J Crit Care, 2020, 57: 177-184. DOI:10.1016/j.jcrc.2020.02.016 |
| [13] | Buter H, Koopmans M, van der Voort PHJ. Strong ion difference and CVVH: different response during nadroparin versus citrate anticoagulation[J]. J Crit Care, 2018, 47: 88-92. DOI:10.1016/j.jcrc.2018.06.006 |
| [14] | Stewart PA. Modern quantitative acid-base chemistry[J]. Can J Physiol Pharmacol, 1983, 61(12): 1444-1461. DOI:10.1139/y83-207 |
| [15] | Figge J, Rossing TH, Fencl V. The role of serum proteins in acid-base equilibria[J]. J Lab Clin Med, 1991, 117(6): 453-467. |
| [16] | 沈骁, 章淬, 宋晓春, 等. 强离子间隙对急性Stanford A型主动脉夹层术后患者预后的预测价值[J]. 中国心血管杂志, 2020, 25(3): 220-225. DOI:10.3969/j.issn.1007-5410.2020.03.004 |
| [17] | Jung B, Martinez M, Claessens YE, et al. Diagnosis and management of metabolic acidosis: guidelines from a French expert panel[J]. Ann Intensive Care, 2019, 9(1): 92. DOI:10.1186/s13613-019-0563-2 |
| [18] | Kilic O, Gultekin Y, Yazici S. The impact of intravenous fluid therapy on acid-base status of critically ill adults: a Stewart approach-based perspective[J]. Int J Nephrol Renovasc Dis, 2020, 13: 219-230. DOI:10.2147/IJNRD.S266864 |
| [19] | Schricker S, Schanz M, Alscher MD, et al. Metabolic acidosis: diagnosis and treatment[J]. Med Klin Intensivmed Notfmed, 2020, 115(4): 275-280. DOI:10.1007/s00063-019-0538-y |
| [20] | Ho KM, Lan NS, Williams TA, et al. A comparison of prognostic significance of strong ion gap (SIG) with other acid-base markers in the critically ill: a cohort study[J]. J Intensive Care, 2016, 4: 43. DOI:10.1186/s40560-016-0166-z |
| [21] | 张红兵, 蒋崇慧, 杨鹏, 等. 强离子隙对急性心肌梗死发生急性心力衰竭的预测价值[J]. 中华急诊医学杂志, 2019, 28(1): 79-83. DOI:10.3760/cma.j.issn.1671-0282.2019.01.015 |
| [22] | 黄晖, 郭玉刚, 朱伟俊. 强离子隙对急性心肌梗死致急性心力衰竭的预测作用研究[J]. 现代检验医学杂志, 2020, 35(4): 143-146. DOI:10.3969/j.issn.1671-7414.2020.04.036 |
| [23] | Wang Q, Zhang F, Cao W, et al. Predictive effect of strong ion gap on heart failure in patients with dilated cardiomyopathy[J]. J Biol Regul Homeost Agents, 2020, 34(4): 1487-1491. DOI:10.23812/20-285-L |
| [24] | Funk GC, Doberer D, Sterz F, et al. The strong ion gap and outcome after cardiac arrest in patients treated with therapeutic hypothermia: a retrospective study[J]. Intensive Care Med, 2009, 35(2): 232-239. DOI:10.1007/s00134-008-1315-1 |
| [25] | Kaneko M, Hagiwara S, Aoki M, et al. The significance of strong ion gap for predicting return of spontaneous circulation in patients with cardiopulmonary arrest[J]. Open Med (Wars), 2017, 12: 33-38. DOI:10.1515/med-2017-0006 |
2023, Vol. 32



