院外心脏骤停是急诊科常见的急危重症疾病,其表现为患者突然停止呼吸,失去意识,或呼吸微弱,叹息样呼吸,并且没有脉搏。心肺复苏是治疗OHCA的一种重要手段。两个世纪以来,复苏领域在不断发展,相关研究也逐年增长[1],但OHCA患者的出院存活率仍然仅有10%左右[2]。目前我国的OHCA救治成功率仍低于国际水平,最近的一项研究[3]显示,2017年,北京市OHCA患者的ROSC率为6.26%,出院生存率为1.6%。目前尚无直观有效的工具预测OHCA患者中哪些人能够出现ROSC。列线图作为一种简单的统计可视化工具,近年来被广泛用于预测疾病的发生、发展、预后和生存[4-6]。
本研究建立了一个预测列线图。使急诊科医生能够在极短的时间内获得预测结果。
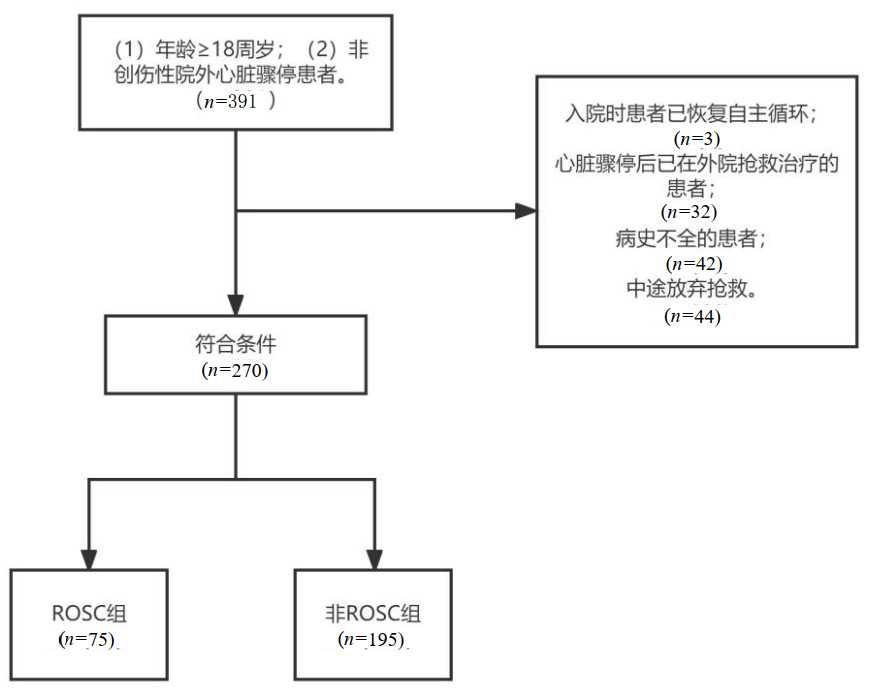
1 资料与方法 1.1 一般资料回顾性收集2018年1月1日至2022年7月在嘉兴市第一医院急诊科诊治的270例非创伤性OHCA患者。纳入标准:(1)年龄≥18周岁;(2)非创伤性OHCA患者。排除标准:(1)入院时患者已恢复自主循环;(2)心脏骤停后已在外院抢救治疗的患者;(3)病史不全的患者;(4)中途放弃抢救。本研究通过嘉兴市第一医院伦理委员会审查(伦理审查编号2022-KY-513),并获批免除知情同意。
1.2 数据收集与分组收集患者年龄、性别、基础疾病、预计心脏骤停时间、有无目击者、有无旁观者心肺复苏、是否120转运、是否可除颤心律、血糖(末梢血糖)、是否心源性病因等资料。按照是否ROSC(ROSC定义为ROSC持续时间大于20 min)分为ROSC组和非ROSC组。
1.3 统计学方法对数据采用SPSS 21.0软件及“R”语言(4.2.1)进行统计分析。若计量资料为正态分布,用均数±标准差(x±s)表示,组间采用成组t检验,计量资料为非正态分布,用中位数(M)和四分位数范围(Q1, Q3)表示,组间采用Mann-Whitney U检验。计数资料以(n,%)表示,比较采用χ2检验或双侧Fisher精确检验,采用多因素二元Logistic回归得出独立影响因素,运用R语言中“ROCR”、“rms”、“rmda”等程序包对列线图进行构建及验证。P<0.05表示差异有统计学意义。
2 结果 2.1 两组情况根据纳入排除标准,共270例患者被纳入本研究,见图 1。ROSC组与非ROSC组在性别、预计心脏骤停时间、有无目击者、有无旁观者心肺复苏、是否可除颤心律、血糖方面差异有统计学意义(P<0.05),见表 1。
|
| 图 1 患者选择流程图 |
|
|
| 变量 | ROSC组(n = 75) | 非ROSC组(n= 195) | χ2/Z值 | P值 |
| 年龄[岁,M(Q1, Q3)] | 66(54, 78) | 66(50, 77) | -0.788 | 0.431 |
| 女性(n,%) | 31(41.3) | 49(25.1) | 6.822 | 0.009 |
| 高血压(n,%) | 35(46.7) | 66(33.8) | 3.802 | 0.051 |
| 糖尿病(n,%) | 18(24) | 31(15.9) | 2.394 | 0.122 |
| 心脏病(n,%) | 19(25.3) | 39(20.0) | 0.913 | 0.339 |
| 恶性肿瘤(n,%) | 8(10.7) | 14(7.2) | 0.880 | 0.348 |
| 预计CA时间≤40 min(n,%) | 62(82.7) | 50(25.6) | 72.565 | <0.001 |
| 目击者(n,%) | 69(92.0) | 94(48.2) | 43.424 | <0.001 |
| 旁观者心肺复苏(n,%) | 35(46.7) | 25(12.8) | 35.901 | <0.001 |
| 120转运(n,%) | 64(85.3) | 173(88.7) | 0.578 | 0.447 |
| 可除颤心律a(n,%) | 7(9.3) | 5(2.6) | 0.023 | |
| 血糖≥10 mmol/L(n,%) | 55(73.3) | 106(54.4) | 8.101 | 0.004 |
| 心源性病因(n,%) | 27(36.0) | 86(44.1) | 1.461 | 0.227 |
| 注:CA为心脏骤停;a采用双侧Fisher精确检验 | ||||
多因素Logistics回归得出,女性、预计心脏骤停时间≤40 min、目击者、旁观者心肺复苏、血糖≥10 mmol/L是ROSC的独立预测因素(P<0.05),见表 2。
| 因素 | β值 | S.E. | P值 | OR值 | 95%CI |
| 女性 | 0.861 | 0.395 | 0.029 | 2.366 | 1.091~5.131 |
| 预计CA时间≤40 min | 2.412 | 0.399 | <0.001 | 11.153 | 5.097~24.400 |
| 目击者 | 1.291 | 0.508 | 0.011 | 3.638 | 1.345~9.837 |
| 旁观者心肺复苏 | 1.168 | 0.405 | 0.004 | 3.217 | 1.455~7.109 |
| 可除颤心律 | 0.959 | 0.760 | 0.207 | 2.610 | 0.588~11.577 |
| 血糖≥10 mmol/L | 0.866 | 0.382 | 0.023 | 2.376 | 1.124~5.025 |
| 注:CA:cardiac arrest | |||||
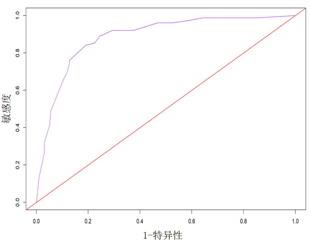
根据上述5个独立预测因素,绘制列线图,见图 2。并绘制该模型ROC曲线,见图 3,得出C-index和AUC均为0.884。
|
| 图 2 预测非创伤性OHCA患者ROSC的列线图 |
|
|
|
| 图 3 预测模型的受试者工作特征(ROC)曲线 |
|
|
运用Bootstrap法重复抽样1000次进行内部验证,显示校正C-index为0.877,表明该模型具有较好的区分度。
2.5 列线图的预测精度和净收益校正曲线接近理想的对角线,见图 4。表明预测值和实测值一致性较好。DCA显示模型具有较好的净获益,见图 5。
|
| 图 4 非创伤性OHCA患者ROSC预测模型校准图 |
|
|
|
| 图 5 列线图模型决策曲线分析 |
|
|
目前,国际上开发了RACA评分[7],UB-ROSC评分[8],Ji等[9]OHCA患者ROSC的预测模型。虽然这些模型有较好的预测能力。但均存在计算繁琐或直观性较差等缺点。本研究通过列线图的方式构建了简单直观的预测模型。
研究[10]表明,旁观者心肺复苏可增加OHCA患者ROSC率。也有研究提示旁观者心肺复苏能提高30 d存活率[11],神经系统预后良好的生存率亦增加[12]。本研究也得出旁观者心肺复苏是非创伤性OHCA患者ROSC的独立预测因素。本研究显示仅有22.2%的非创伤性OHCA患者接受了旁观者心肺复苏。
预计心脏骤停时间越长,预示着低血流时间越长。一项研究[13]显示,低血流时间越长(在ROSC之前>30 min),OHCA患者的预后越差。本研究显示预计心脏骤停时间≤40 min,OHCA患者的ROSC率显著增加。较低的旁观者心肺复苏率和较长的心脏骤停时间,导致了本研究中可除颤心律较低,通过改进以上两个因素,可增加可除颤心律占比,进一步改善患者预后。OHCA被目击往往能带来更好的预后。一项研究[14]显示,旁观者目击、EMS目击、无目击者ROSC率(37.8%,54.8%,23.7%),且EMS目击组出院存活率显著更高。本研究未区分旁观者目击和EMS目击,但仍显示有目击者的非创伤性OHCA患者ROSC率更高。
RACA评分[7],UB-ROSC评分[8]均提示女性与OHCA患者ROSC呈正相关。本研究也提示女性较男性患者ROSC率显著增加。一方面[15],由于胸腔较小,女性可能会出现更高质量的CPR。另一方面,动物实验研究[16]表明雌激素在心脏骤停中可能具有心脏保护和神经保护作用。
众所周知,OHCA患者入院后持续高血糖会带来不良预后[17]。但也有研究[18]显示,接受ECPR的OHCA患者中,与中度应激性高血糖相比,入院时无应激性高血糖与出院时神经系统预后不良显著相关。而本研究发现入院时血糖≥10 mmol/L与ROSC率增加有关(P=0.023)。儿茶酚胺、皮质醇、胰高血糖素的释放能促进糖异生,引起血糖快速升高。而危重患者未出现高血糖可能是由于该反调节反应受损[19]。这可能解释了高血糖患者有更高的ROSC率。
本研究的不足:①本研究样本量较少;②由于缺乏数据,如院外肾上腺素使用与否、OHCA发生的场所等,没有进行评估;③本研究为回顾性研究,数据来自单中心,在以后的研究中,笔者将在多中心前瞻性研究中进行外部验证。
本研究构建的列线图为急诊科医生提供了预测ROSC的一个简单和直观的工具,这可能对临床诊疗、医患沟通,甚至降低非创伤性OHCA患者病死率具有重要意义。
利益冲突 所有作者声明无利益冲突
作者贡献声明 柏晓奇、沈国平:数据收集及整理、论文撰写;郁慧杰、姚惟、许俊:研究设计、统计分析、论文修改
| [1] | Yan SJ, Chen M, Wen J, et al. Global research trends in cardiac arrest research: a visual analysis of the literature based on CiteSpace[J]. World J Emerg Med, 2022, 13(4): 290-296. DOI:10.5847/wjem.j.1920-8642.2022.071 |
| [2] | Rea T, Kudenchuk PJ, Sayre MR, et al. Out of hospital cardiac arrest: past, present, and future[J]. Resuscitation, 2021, 165: 101-109. DOI:10.1016/j.resuscitation.2021.06.010 |
| [3] | Shao F, Li HB, Ma SK, et al. Outcomes of out-of-hospital cardiac arrest in Beijing: a 5-year cross-sectional study[J]. BMJ Open, 2021, 11(4): e041917. DOI:10.1136/bmjopen-2020-041917 |
| [4] | 李心群, 陈心怡, 王欣璐, 等. 危险性上消化道出血患者病情严重程度危险因素分析及预警评估模型构建[J]. 中华急诊医学杂志, 2022, 31(4): 539-543. DOI:10.3760/cma.j.issn.1671-0282.2022.04.020 |
| [5] | 赵丽娜, 朱华栋, 李毅. 基于MIMIC-Ⅲ数据库的血小板计数相关的列线图对重症患者预后的预测价值[J]. 中华急诊医学杂志, 2022, 31(1): 78-84. DOI:10.3760/cma.j.issn.1671-0282.2022.01.015 |
| [6] | Zhu XG, Jiang JM, Li YX, et al. Development and validation of a nomogram for predicting survival in patients with acute pancreatitis[J]. World J Emerg Med, 2023, 14(1): 44-48. DOI:10.5847/wjem.j.1920-8642.2023.022 |
| [7] | Gräsner JT, Meybohm P, Lefering R, et al. ROSC after cardiac arrest: the RACA score to predict outcome after out-of-hospital cardiac arrest[J]. Eur Heart J, 2011, 32(13): 1649-1656. DOI:10.1093/eurheartj/ehr107 |
| [8] | Baldi E, Caputo ML, Savastano S, et al. An Utstein-based model score to predict survival to hospital admission: the UB-ROSC score[J]. Int J Cardiol, 2020, 308: 84-89. DOI:10.1016/j.ijcard.2020.01.032 |
| [9] | Ji C, Brown TP, Booth SJ, et al. Risk prediction models for out-of-hospital cardiac arrest outcomes in England[J]. Eur Heart J Qual Care Clin Outcomes, 2021, 7(2): 198-207. DOI:10.1093/ehjqcco/qcaa019 |
| [10] | Czapla M, Zielińska M, Kubica-Cielińska A, et al. Factors associated with return of spontaneous circulation after out-of-hospital cardiac arrest in Poland: a one-year retrospective study[J]. BMC Cardiovasc Disord, 2020, 20(1): 1-7. DOI:10.1186/s12872-020-01571-5 |
| [11] | Hasselqvist-Ax I, Riva G, Herlitz J, et al. Early cardiopulmonary resuscitation in out-of-hospital cardiac arrest[J]. N Engl J Med, 2015, 372(24): 2307-2315. DOI:10.1056/NEJMoa1405796 |
| [12] | Malta Hansen C, Kragholm K, Pearson DA, et al. Association of bystander and first-responder intervention with survival after out-of-hospital cardiac arrest in north Carolina, 2010-2013[J]. JAMA, 2015, 314(3): 255. DOI:10.1001/jama.2015.7938 |
| [13] | Potpara TS, Mihajlovic M, Stankovic S, et al. External validation of the simple NULL-PLEASE clinical score in predicting outcome of out-of-hospital cardiac arrest[J]. Am J Med, 2017, 130(12): 1464. DOI:10.1016/j.amjmed.2017.05.035 |
| [14] | Chia MYC, Kwa TPW, Wah W, et al. Comparison of outcomes and characteristics of emergency medical services (EMS)-witnessed, bystander-witnessed, and unwitnessed out-of-hospital cardiac arrests in Singapore[J]. Prehosp Emerg Care, 2019, 23(6): 847-854. DOI:10.1080/10903127.2019.1587124 |
| [15] | Tomlinson AE, Nysaether J, Kramer-Johansen J, et al. Compression force-depth relationship during out-of-hospital cardiopulmonary resuscitation[J]. Resuscitation, 2007, 72(3): 364-370. DOI:10.1016/j.resuscitation.2006.07.017 |
| [16] | Noppens RR, Kofler J, Hurn PD, et al. Dose-dependent neuroprotection by 17beta-estradiol after cardiac arrest and cardiopulmonary resuscitation[J]. Crit Care Med, 2005, 33(7): 1595-1602. DOI:10.1097/01.ccm.0000169884.81769.f7 |
| [17] | Russo JJ, James TE, Hibbert B, et al. Hyperglycaemia in comatose survivors of out-of-hospital cardiac arrest[J]. Eur Heart J Acute Cardiovasc Care, 2018, 7(5): 442-449. DOI:10.1177/2048872616684685 |
| [18] | Taira T, Inoue A, Nishimura T, et al. Association between stress hyperglycemia on admission and unfavorable neurological outcome in OHCA patients receiving ECPR[J]. Clin Res Cardiol, 2022. DOI:10.1007/s00392-022-02057-4 |
| [19] | Dungan KM, Braithwaite SS, Preiser JC. Stress hyperglycaemia[J]. Lancet, 2009, 373(9677): 1798-1807. DOI:10.1016/S0140-6736(09)60553-5 |
2023, Vol. 32



