创伤是老年人死亡的第5大原因,随着我国人口老龄化的加剧,老年创伤患者的人数和比例将显著上升[1]。老年创伤的救治是目前创伤救治中的热点和难点[2-4]。主要原因在于老年人常常合并较多的基础疾病,而且常年服用抗凝抗血小板等药物,在损伤程度较轻的创伤发生后仍然可能出现病情急剧恶化。因此,早期准确评估老年创伤患者的严重程度,并且在极早期预测患者的预后非常重要。
近年来,用于评估创伤患者严重程度和预测预后的指标较多,包括损伤严重程度评分,简明创伤评分,改良创伤评分等等。但是有研究发现单一的指标均不能准确的评估患者疾病程度和预测预后[5]。因此,使用联合指标以及构建实用性强的预测模型有助于临床医务人员实际操作。老年创伤结局评分(geriatric trauma outcome score,GTOS)是国际上较常使用的用于评估老年创伤患者预后的评分系统,包括年龄、ISS、24 h内是否输血三个变量。本研究拟构建包含GTOS的列线图预测模型,分析我国目前重症老年创伤患者在病情特征,评估老年创伤结局评分在临床的准确性,能否适用于我国老年创伤患者。
1 资料与方法 1.1 研究场所和对象本研究为单中心回顾性队列研究,在一家大学附属医院进行并通过医院伦理委员会审批。所有的数据信息均来源于医院急诊医学科制定的严重创伤数据库。回顾性收集2017年1月1日至2019年1月1日期间收治该家医院急诊重症监护室(emergency intensive care unit,EICU)的严重创伤老年患者,同时导出同期在EICU抢救治疗的青中年患者,作为其他年龄段的严重创伤患者作为对照组。
老年研究组:纳入标准:①年龄≥65周岁;②住院大于24 h;③发病至入院小于24 h;④收住EICU的创伤患者。排除标准:①复合伤;②病程中期因手术全麻转入急诊ICU;③在外院手术输血史;④病例信息不完整。
青中年对照组:纳入标准:①年龄≥18周岁,<65岁;②首次住院,入住EICU大于24 h;③发病至入院小于24 h;④收住急诊ICU的创伤患者。排除标准:①复合伤;②病程中期因手术全麻转入急诊ICU;③孕妇;④病例信息不完整。
医院急诊医学科制定严重创伤数据库登记表信息包括人口学资料,创伤基本信息,院前急救信息,急诊室记录,ICU救治记录,手术信息,离院信息,出院诊断及评分,随访信息。所有的严重创伤患者信息均由有资质的专门人员逐一录入数据库并进行填写。所有创伤相关评分均通过相关网站内置软件计算所得。
1.2 研究方法收集患者的信息包括性别,年龄,致伤机制,损伤部位,诊断,入院时创伤严重程度评分(injury severity score,ISS),格拉斯哥昏迷评分(glasgow coma scale,GCS),急性生理与慢性健康评分(acute physiology and chronic health evaluation Ⅱ,APACHE Ⅱ),入院第一次获得的化验指标(血红蛋白,血小板,INR比值,血浆纤维蛋白原),入院24 h内是否建立紧急气道,是否输血,是否急诊手术,入住ICU时间,住院时间,住院发生费用。
相关指标的定义:本研究采取世界卫生组织对老年人的定义,以65周岁以上患者为研究对象。GTOS,包括年龄、ISS、24 h内是否输血三个变量,计算公式GTOS=年龄+ISS×2.5+22(如果24 h内输血)。患者的住院期间死亡包括住院期间死亡和处于濒死状态且临床认为死亡不可避免的自动出院患者。
1.3 统计学方法所有的数据均进行正态性检验,符合正态分布的度量资料以均数±标准差(x±s)表示,非正态分布数据以四分位数表示。率的比较采用χ2检验,两组度量资料间均数的比较采用成组t检验或者U检验。采用多因素Logistic回归法分析影响患者住院病死的高危因素,然后通过绘制列线图,建立GTOS对住院病死的预测模型,同时对该预测模型进行校准度(绘制calibration曲线)、区分度(绘制模型的ROC曲线和计算C-statistics指数)以及临床决策曲线分析,评估该预测模型的准确性,并采用bootstrap内部法对模型进行验证。采用限制性立方样条图评估GTOS和预后的关系。所有的数据统计采用R软件(R4.2.0)分析,以P < 0.05为差异有统计学意义。
2 结果 2.1 老年创伤患者的受伤特点研究周期内一共纳入创伤患者258例,其中老年组创伤患者104例,青中年组创伤患者154例。104例老年创伤患者,年龄为(72.9±7.2)岁。其中男性71例(占68.3%),女性33例(31.7%),老年女性创伤患者构成比(31.7%)明显高于青中年组(19.5%),χ2=5.1,P=0.03。两组创伤患者的发生均以交通事故为主,但是在老年组创伤患者中,跌倒为受伤原因的比例为14.4%,明显高于青中年组的4.6%,χ2=7.8,P=0.005。两组创伤患者均以头颈部、胸部和骨盆四肢受伤为主,但是在老年创伤患者中,颌面部受伤比例为8.7%,明显低于青中年组的22.1%,χ2=8.1,P=0.005。其余受伤部位差异无明显统计学意义,P > 0.05。见表 1。
| 指标 | 整体患者(n=258) | 老年组(n=104) | 青中年组(n=154) | 统计量 | P值 |
| 年龄(x±s) | 59.9±14.6 | 72.9±7.2 | 51.2±11.4 | -17.2 | < 0.001 |
| 性别(n, %) | |||||
| 男 | 195(75.6) | 71(68.3) | 124(80.5) | 5.1 | 0.03 |
| 女 | 63(24.4) | 33(31.7) | 30(19.5) | ||
| 受伤机制(n, %) | |||||
| 交通事故 | 170(65.9) | 69(66.3) | 101(65.6) | 12.2 | 0.01 |
| 高处坠落 | 51(19.8) | 18(17.3) | 33(21.4) | ||
| 跌倒 | 22(8.5) | 15(14.4) | 7(4.6) | ||
| 其他 | 15(5.8) | 2(2) | 13(8.4) | ||
| 受伤部位(n, %) | |||||
| 头颈部 | 229(88.8) | 95(91.3) | 134(87.0) | 9.5 | 0.09 |
| 颌面部 | 43(16.7) | 9(8.7) | 34(22.1) | ||
| 胸部 | 189(73.3) | 76(73.1) | 113(73.4) | ||
| 腹部 | 58(22.5) | 18(17.3) | 40(26.0) | ||
| 骨盆四肢 | 94(36.4) | 41(39.4) | 53(34.4) | ||
| 体表 | 62(24.0) | 27(26.0) | 35(22.7) |
创伤严重程度评分的比较:老年创伤患者和中青年创伤患者相比,老年组ISS评分相对较低[(23.8±9.6) vs. (26.7±8.7),P=0.015],GCS评分相对较高[(10.2±4.6) vs. (8.8±4.9),P=0.022],APACHEⅡ评分两组相当[(15.6±7.5) vs.(15.9±8.6),P > 0.05]。
创伤后出凝血指标的比较:两组患者创伤后第一次血红蛋白水平差异无明显统计学意义(P > 0.05),但都低于110 g/L,说明两组患者损伤都较重,伴随明显出血。两组患者创伤后第一次血小板水平及INR比值未发现明显差异(均P > 0.05)。老年组第一次血纤维蛋白原水平明显高于青中年组,差异有统计学意义[(2.6±1.1) g/L vs. (2.0±1.0) g/L,P < 0.05]。
创伤后紧急操作/手术的比较:创伤后需要紧急建立气道保护,老年组患者的比例明显低于青中年组患者(45.2% vs. 63.0%,P=0.005)。创伤后急诊手术方面的比较,老年组患者的比例明显低于青中年组(32.7% vs. 48.7%,P= 0.011)。两组患者入院后24 h内输血的比例差异无统计学意义(26.9% vs. 27.9%,P > 0.05)。
病情预后的比较:老年组患者和青中年组相比,住院病死率差异无统计学意义(23.1% vs. 20.9%,P > 0.05);EICU住院时间也差异无统计学意义[(7.8±8.0)d vs. (9.3±10.6)d,P > 0.05];老年组患者总住院时间和住院费用均低于青中年组,差异均有统计学意义(均P < 0.05),详见表 2。
| 指标 | 老年组 | 对照组 | 统计量 | P值 |
| ISS(分) | 23.8±9.6 | 26.7±8.7 | 2.465 | 0.015 |
| APACHEⅡ(分) | 15.6±7.5 | 15.9±8.6 | 0.242 | 0.809 |
| GCS(分) | 10.2±4.6 | 8.8±4.9 | 2.307 | 0.022 |
| 血红蛋白(g/L) | 106.9±23.6 | 109.2±22.1 | 0.791 | 0.430 |
| 血小板(1012/L) | 129.2±44.2 | 141.3±59.5 | 1.867 | 0.063 |
| INR比值 | 1.2±0.4 | 1.3±1.0 | 1.268 | 0.210 |
| 纤维蛋白原(g/L) | 2.6±1.1 | 2.0±1.0 | 3.997 | < 0.001 |
| 紧急气道(n, %) | 47(45.2) | 97(63.0) | 7.971 | 0.005 |
| 急诊输血(n, %) | 28(26.9) | 43(27.9) | 0.031 | 0.86 |
| 急诊手术(n, %) | 34(32.7) | 75(48.7) | 6.521 | 0.011 |
| ICU住院时间(d) | 7.8±8.0 | 9.3±10.6 | 1.232 | 0.219 |
| 总住院时间(d) | 14.7±10.0 | 17.4±12.3 | 1.854 | 0.035 |
| 病死率(n, %) | 24(23.1) | 32(20.9) | 0.17 | 0.680 |
| 住院费用(万元) | 7.7±6.9 | 9.4±6.7 | 1.919 | 0.046 |
以老年创伤患者是否住院病死为因变量,以老年创伤患者的性别、受伤机制、GTOS(包含年龄、ISS和是否输血)、GCS、APACHEⅡ、血红蛋白水平、血小板计数、INR比值、血浆纤维蛋白原水平、是否建立紧急气道以及是否急诊手术为自变量进行多因素Logistic回归分析。然后纳入多因素Logistic回归分析后有统计学意义的影响因素来构建列线图预测模型,最后对该预测模型绘制calibration曲线、绘制模型的ROC曲线和计算C-statistics指数、以及临床决策曲线和影响曲线。
多因素Logistic回归分析显示,GTOS和GCS评分是老年创伤患者住院病死的独立危险因素,OR值分别为1.038(95%CI,1.010~1.068,P=0.008)和0.757(95%CI,0.647-0.885,P < 0.001)。
将GCS和GTOS评分纳入列线图预测模型,患者预测住院病死率(对应的总得分值)=GCS数值对应的得分值+GTOS数值对应的得分值,详见图 1。使用R软件ROCR包对该列线图预测模型进行ROC曲线分析,曲线下面积较大,并计算得知C统计量为0.884,说明该模型区分度较好,见图 2。
|
| 图 1 老年严重创伤患者住院病死的列线图预测模型 |
|
|
|
| 图 2 预测模型的ROC曲线 |
|
|
图 3显示了该预测模型的校准度,从图可知,该预测模型的预测死亡和实际死亡情况一致性相对良好(此外,Hosmer-Lemeshow good of fit test拟合优度检验的χ2=10.1,P > 0.05)。
|
| 图 3 预测模型的校准曲线 |
|
|
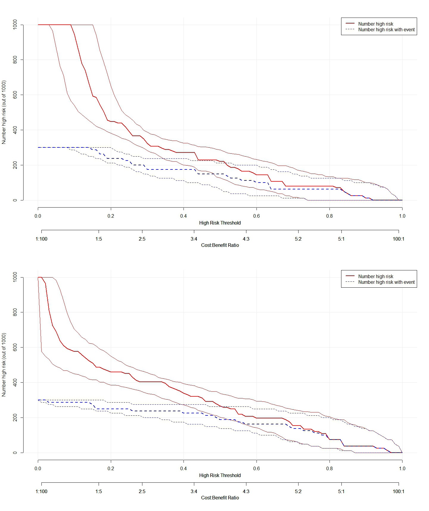
图 4为预测模型的决策曲线,即预测模型的临床适用度,两条曲线代表两种不同模式的净获益曲线,Y轴为净获益。Complex曲线为GTOS、GCS为自变量的相对复杂模型,simple曲线为仅含GTOS的相对简单的模型。可知,包含GTOS和GCS的预测模型能够获得更好的净获益,临床适用度更好。
|
| 图 4 预测模型的决策曲线 |
|
|
此外,图 5的两个曲线图显示的影响曲线也提示包含GTOS和GCS的预测模型临床影响更好。
|
| 图 5 预测模型的两个影响曲线(上图为仅包含GTOS,下图包含GTOS和GCS) |
|
|
图 6为限制性立方样条图,为进一步验证了老年创伤患者GTOS和住院病死的线性或非线性关系。从统计可知,GTOS和住院病死的关系属于线性,非线性关系的P=0.2135。即随着GTOS评分增加,住院病死率逐渐增加。
|
| 图 6 老年严重创伤患者GTOS和住院病死的RCS曲线分析 |
|
|
我国2000年已进入了老龄化社会,到本世纪中叶,中国人口老龄化将达到高峰,65岁及以上人口占比将接近30%。创伤是老年人死亡的第5大原因,占创伤总体的12%。随着人口老龄化的加剧,这一数字将进一步上升[4-5]。老年创伤患者往往合并多种慢性疾病,加之老年患者各器官系统所固有的生理老化现象,使得其创伤的发生、发展、治疗和转归都不同于其他年龄段的创伤患者。随着习近平总书记“健康中国战略”的提出,针对老年人的创伤院前急救,入院后救治策略、创伤致残的后期护理等都提出重大考验。目前我国创伤中心建设在大力推广,但发展不平衡,包括经济条件和当地医疗卫生服务水平的差异。老年创伤的救治更加需要进一步的发展和研究。
本组研究中,老年组平均年龄为73岁,以65~70岁最多,占同期收治创伤患者总例数的46.2%。由于样本量的限制,虽然不能反映我国整体的老年严重创伤患者的构成比,仍能看出整体社会年龄的老龄化创伤患者年龄分布的改变[6]。随着老龄人口的增加,国家为改善人力资源的分配,延迟退休年龄的提出,对老年创伤的暴露有着严峻的考验。本研究中老年组与对照组主要致伤因素均为车祸伤,值得注意的是,由于电瓶车引起的车祸伤约占一半(数据文中未显示)。有资料显示部分老年创伤患者交通事故发生在上下学高峰期,符合这段时间城市中老人负责接送孙辈上下学,暴露在交通危险环境中[7]。农村老人没有养老保障,仍然从事服务行业,甚至体力劳动。严重创伤发生后,由于异地医疗保险,或者家庭经济条件的低下,很多患者选择基层医疗服务机构或者短时间内放弃治疗。生活在城市中的老年人多数为居家养老,子女以独生子女居多,形成大批空巢老人,独自生活增加生活损伤风险,高龄老人伴随器官功能衰退,伴随有多种基础疾病,意外跌倒多见[8-9],一般老年人损伤以轻伤、单发伤居多,重伤和多发伤较少[10-11],这与本研究结果类似,老年创伤患者ISS评分和GCS评分相对青中年较低。如果碰撞头部引起颅脑损伤,则导致重伤及多发伤发生,本研究老年组颅脑损伤达91.3%。一旦损伤头部,病情严重性增高,增加入住ICU的概率[12]。此外本研究还发现,老年创伤患者虽然损伤严重程度较低,但是收住ICU后APACHEⅡ评分和青中年创伤患者相当,这也提示老年人基础疾病较多,脏器功能代偿能力明显下降有关。
创伤后两组患者血小板水平及INR比值未见明显下降,均在正常生理范围或处于代偿范围,早期两组未发生改变。说明创伤患者早期的基础状态佳,老年人未表现出明显的功能障碍,不能以年龄作为放弃积极抢救治疗的理由。两组患者纤维蛋白原水平存在差异,虽然纤维蛋白原是创伤患者病死率的独立预测因子[13],但纤维蛋白原水平随年龄的增加而增加,本组研究老年组偏高,考虑年龄因素,没有直接证据判断两组病死率相关性。
患者入院后由于呼吸衰竭或者颈髓损伤而需要紧急气道的建立、输血和急诊手术。与青中年组创伤患者相比,老年组紧急气管插管与急诊手术的比例相对较低,可能原因与损伤严重程度相关。两组患者的输血比例相当,可能原因与两组血红蛋白丢失比例相当的缘故,还需要进一步证实。
研究发现老年创伤患者的入住ICU时间、住院费用均低于对照组。这与国外的资料研究结果老年患者住院时间更长,医疗费用更高,ICU资源使用更高有明显不同[14-16]。可能原因与患者损伤程度、合并疾病、医保政策等等相关,这需要进一步详细的资料去证实。病死率方面两组差异无统计学意义,但老年组略高于青中年组(23.1% vs. 20.9%),说明老年创伤患者的救治不仅要关注创伤损伤程度,还要关注患者基础脏器功能状况的救治。
本研究使用简单的指标来构建早期预测老年创伤患者预后的列线图模型。通过多因素回归分析提示GTOS和GCS评分是老年创伤患者住院病死的独立危险因素。老年创伤结局评分GTOS是为老年创伤患者制定,包括年龄、ISS、24 h内是否输血三个变量,是针对老年创伤患者住院期间死亡的预测因子[17-18]。但是为了更加准确的评估患者的预测病死率,使用列线图的评分应用于临床更加便捷准确。为了进一步评估该预测模型的区分度、校准度,本研究使用了ROC曲线(C统计量,也等于ROC曲线下面积)和校准曲线来评估,更加科学。此外,本研究还进一步分析了决策曲线和影响曲线,通过决策曲线和影响曲线提示,该模型的临床适用度不错。
该列线图的预测模型的价值,第一是医务人员能够早期准确评估患者病情严重程度和预测死亡风险,提高医师的警惕性,必要时重症监护团队提前介入协助。第二,列线图能够计算出具体死亡风险概率,在医患沟通的时候能够清晰准确的让家属知道患者严重性,有助于提高患者家属的信任感。
本研究也存在一定的不足之处。首先是样本量偏低。由于样本量偏少,没有对样本量进行拆分训练集和验证集,而是使用bootstrap内部法。其次本研究为单中心的数据,不一定能够代表其他中心实际情况。本数据库为国家区域创伤中心数据,未来期望纳入其他创伤中心的数据深入研究。
利益冲突 所有作者声明无利益冲突
作者贡献声明 卢薇:研究设计、数据收集、论文撰写;叶立刚 :数据整理、统计分析 ;张茂 :研究设计、论文修改
| [1] | 《简明损伤定级标准》2005(AIS2005)出版[J]. 中华创伤杂志, 2006(3): 208. |
| [2] | 江利冰, 张茂. 创伤数据库在创伤救治中的应用价值[J]. 创伤外科杂志, 2017, 19(3): 231-234. DOI:10.3969/j.issn.1009-4237.2017.03.022 |
| [3] | 周佳圻, 胡雨峰, 康洋波, 等. 老年严重创伤患者早期创伤性凝血病的危险因素分析[J]. 中华创伤杂志, 2022, 38(1): 61-66. DOI:10.3760/cma.j.cn501098-20210825-00462 |
| [4] | 康洋波, 周佳圻, 胡雨峰, 等. 低钙血症在老年创伤性凝血病早期诊断中的效价研究[J]. 中华急诊医学杂志, 2022, 31(5): 603-607. DOI:10.3760/cma.j.issn.1671-0282.2022.05.006 |
| [5] | Covino M, Zaccaria R, Bocci MG, et al. Blood glucose levels combined with triage revised trauma score improve the outcome prediction in adults and in elderly patients with trauma[J]. Prehosp Disaster Med, 2021, 36(2): 175-182. DOI:10.1017/S1049023X2000148X |
| [6] | 秦昊, 宗兆文, 张连阳, 等. 单中心老年创伤患者流行病学特点及意义[J]. 中华创伤杂志, 2015, 31(8): 729-733. DOI:10.3760/cma.j.issn.1001-8050.2015.08.015 |
| [7] | 袁伟, 王天兵, 张进军, 等. 2010年北京市老年人交通伤流行病学分析[J]. 中华创伤杂志, 2014, 30(7): 714-715. DOI:10.3760/cma.j.issn.1001-8050.2014.07.022 |
| [8] | Mock K, Keeley J, Moazzez A, et al. Predictors of mortality in trauma patients aged 80 years or older[J]. Am Surg, 2016, 82(10): 926-929. DOI:10.1177/000313481608201014 |
| [9] | Mock K, Keeley J, Moazzez A, et al. Predictors of mortality in trauma patients aged 80 years or older[J]. Am Surg, 2016, 82(10): 926-929. DOI:10.1177/000313481608201014 |
| [10] | 张宪, 赵晓东. 精准评估老年创伤减少临床漏诊误诊[J]. 临床误诊误治, 2017, 30(5): 106-109. DOI:10.3969/j.issn.1002-3429.2017.05.032 |
| [11] | Gowing R, Jain MK. Injury patterns and outcomes associated with elderly trauma victims in Kingston, Ontario[J]. Can J Surg, 2007, 50(6): 437-444. |
| [12] | McQuilten ZK, Wood EM, Bailey M, et al. Fibrinogen is an independent predictor of mortality in major trauma patients: a five-year statewide cohort study[J]. Injury, 2017, 48(5): 1074-1081. DOI:10.1016/j.injury.2016.11.021 |
| [13] | Utomo WK, Gabbe BJ, Simpson PM, et al. Predictors of in-hospital mortality and 6-month functional outcomes in older adults after moderate to severe traumatic brain injury[J]. Injury, 2009, 40(9): 973-977. DOI:10.1016/j.injury.2009.05.034 |
| [14] | MacKenzie EJ, Morris JA Jr, Smith GS, et al. Acute hospital costs of trauma in the United States: implications for regionalized systems of care[J]. J Trauma, 1990, 30(9): 1096-1101. DOI:10.1097/00005373-199009000-00005 |
| [15] | Perdue PW, Watts DD, Kaufmann CR, et al. Differences in mortality between elderly and younger adult trauma patients: geriatric status increases risk of delayed death[J]. J Trauma, 1998, 45(4): 805-810. DOI:10.1097/00005373-199810000-00034 |
| [16] | Taylor MD, Tracy JK, Meyer W, et al. Trauma in the elderly: intensive care unit resource use and outcome[J]. J Trauma, 2002, 53(3): 407-414. DOI:10.1097/00005373-200209000-00001 |
| [17] | Zhao FZ, Wolf SE, Nakonezny PA, et al. Estimating geriatric mortality after injury using age, injury severity, and performance of a transfusion: the geriatric trauma outcome score[J]. J Palliat Med, 2015, 18(8): 677-681. DOI:10.1089/jpm.2015.0027 |
| [18] | Madni TD, Ekeh AP, Brakenridge SC, et al. A comparison of prognosis calculators for geriatric trauma: a prognostic assessment of life and limitations after trauma in the elderly consortium study[J]. J Trauma Acute Care Surg, 2017, 83(1): 90-96. DOI:10.1097/TA.0000000000001506 |
2023, Vol. 32



