2. 郑州大学附属郑州中心医院呼吸重症医学科,郑州 450002
2. Respiratory Intensive Care Unit, Zhengzhou Central Hospital Affiliated to Zhengzhou University, Zhengzhou 450002, China
脓毒症是由感染引起的宿主免疫反应失调,严重时可危及生命导致多器官功能障碍[1],易发展为脓毒性休克,不仅严重威胁人类健康,也给医疗卫生带来了巨大的经济负担[2]。肺脏是重症感染最容易累及的器官,由脓毒症诱发的急性呼吸窘迫综合征(acute respiratory distress syndrome, ARDS)病死率高达40%~50%[3]。脓毒症相关ARDS发生发展过程复杂,包括肺泡毛细血管、肺泡上皮细胞受损等在内的多种机制均参与其中[4]。肺血管内皮细胞的损伤易引起肺泡毛细血管通透性增加,因此检测肺血管内皮细胞损伤的标志物可能是脓毒性休克并ARDS诊断及治疗的重要潜在靶点[5]。糖萼破坏是血管内皮细胞损伤的一个重要机制,多配体聚糖(syndecan-1, SDC-1)是糖萼损伤的主要标志物之一[6]。内皮损伤和微循环瘀滞均可导致SDC-1水平升高[7],而微循环的瘀滞则意味着组织灌注不足,临床上常用乳酸(lactate, Lac)来判断脓毒症时的组织细胞灌注和氧代谢情况。但由于Lac可受到众多因素的影响,单一时刻的Lac无法精准有效反映组织灌注状态、疾病的严重程度及转归,故需要连续监测患者Lac并计算相应的乳酸清除率(lactate clearance rate, LCR)。由于脓毒性休克并ARDS发病机制及病情发展过程的复杂性,单个指标难以准确判断预后,因此本研究脓毒性休克并ARDS患者LCR及SDC-1变化,评估其在预测预后中的价值,并可能为早期恰当干预及寻找新的治疗靶点提供依据,对指导临床治疗、改善患者预后及降低病死率有重要意义。
1 资料与方法 1.1 一般资料本研究为前瞻性观察性研究,选取2021年2月至2022年4月期间入住郑州大学附属郑州市中心医院呼吸重症监护病房(respiratory intensive care unit, RICU)的脓毒性休克并ARDS患者为研究对象。纳入标准:(1)符合《中国脓毒症/脓毒性休克急诊治疗指南(2018)》[8]关于脓毒性休克的诊断标准;(2)符合2012年ARDS柏林标准[9]的轻、中、重度ARDS诊断标准。排除标准:年龄 < 18岁患者,急性左心衰患者,孕妇,恶性肿瘤患者,特发性肺间质纤维化患者,发病前存在严重器官功能障碍患者,未行有创机械通气患者,服用免疫抑制剂患者。
本研究符合医学伦理学要求,并通过郑州大学附属郑州市中心医院伦理委员会审批(审批号:202131),各种检查均获得患者或家属知情同意。
1.2 收集指标及检测方法 1.2.1 一般资料记录患者的性别、年龄、RICU住院时间、血培养阳性率、基础疾病及入住RICU时的序贯器官衰竭评分(sequential organ failure assessment, SOFA)、急性生理学与慢性健康状况评分(acute physiology and chronic health evaluation, APACHE)Ⅱ、总胆红素(total bilirubin, Tbil)、平均动脉压(mean arterial pressure, MAP)、血小板计数(platelet count, PLT)、白细胞(white blood cell count, WBC)、血肌酐(serum creatinine, SCr)、降钙素原(procalcitonin, PCT)、C反应蛋白(C-reactive protein, CRP)等。收集患者入住RICU后0 h、6 h、24 h、72 h的SDC-1、Lac;以及患者入住RICU后的6 h、24 h、72 h的氧合指数(oxygenation index, OI);分别计算两组6 h、24 h、72 h的LCR [LCR=(入RICU时动脉血Lac浓度-各时间点动脉血Lac浓度)/入RICU时动脉血Lac浓度×100%]。以28 d生存情况为观察终点,依据28 d生存情况分为生存组和死亡组。
1.2.2 SDC-1检测方法所有入组患者在入住RICU 0 h、6 h、24 h、72 h时均使用干燥管采集静脉血3 mL,静置至自然凝血,3 000 r/min离心10 min,分离出血清,分别取上清液置于1.5 mL EP管内,冻存至-80 ℃低温冰箱,按照酶联免疫吸附实验(enzyme linked immunosorbent assay, ELISA)试剂盒(武汉云克隆,SEB966Hu,中国)的说明书步骤检测SDC-1浓度。
1.3 统计学方法采用SPSS 20.0和GraphPad Prism 8.0软件进行数据处理和图形绘制。计数资料以例数(%)表示,比较采用χ²检验。符合正态分布的计量资料以均数±标准差(x±s)表示,采用独立样本t检验,组内不同时间点之间的数据比较采用单因素重复测量的方差分析;不符合正态分布的计量资料以中位数(四分位数)[M(Q1,Q3)]表达,采取Mann-Whitney U检验。变量间相关性分析采用Spearman相关分析,用Logistic回归分析分析多种因素对早期器官功能衰竭及预后的影响,计算OR及95%CI。绘制受试者工作特征曲线(ROC),比较曲线下面积(AUC),评价各指标对脓毒性休克的诊断效能,计算约登指数,确定最佳截断值。以P < 0.05为差异有统计学意义。
2 结果 2.1 一般临床资料共有98例患者符合脓毒性休克并ARDS诊断标准,本研究排除了17例未行有创机械通气患者、7例罹患恶性肿瘤患者、6例特发性肺间质纤维化患者以及9例入院时存在器官衰竭患者,最终纳入了59例患者(图 1),其中男性38例,女性21例,年龄(73.81±13.70)岁。根据28 d预后情况分为生存组31例,死亡组28例。生存组与死亡组间的性别、年龄、血培养阳性率、基础疾病情况、RICU住院时间以及入住RICU时的PCT、CRP、WBC、SCr、PLT、MAP、Tbil的差异无统计学意义(均P > 0.05)。死亡组的SOFA评分、APACHEⅡ评分显著高于生存组(P < 0.05)。见表 1。
|
| 图 1 患者纳排流程图 Fig 1 Flowchart of patient inclusion and exclusion |
|
|
| 指标 | 生存组(n=31) | 死亡组(n=28) | χ²/t/Z值 | P值 |
| 一般情况 | ||||
| 男性a | 21(67.7) | 17(60.7) | 0.317 | 0.537 |
| 年龄(岁)b | 72.42±13.56 | 75.36±13.94 | 0.820 | 0.416 |
| 基础疾病a | ||||
| 高血压 | 14(45.2) | 16(57.1) | 0.845 | 0.438 |
| 糖尿病 | 17(54.8) | 13(46.4) | 0.416 | 0.606 |
| 冠心病 | 16(51.6) | 16(57.1) | 0.181 | 0.795 |
| 高脂血症 | 18(58.1) | 15(53.6) | 0.120 | 0.796 |
| 入院时危险分层b | ||||
| SOFA(分) | 10.35±2.51 | 13.46±2.76 | 4.536 | < 0.001 |
| APACHEⅡ(分) | 22.35±4.73 | 26.18±4.81 | 3.077 | 0.003 |
| 实验室指标 | ||||
| 血培养阳性a | 12(38.7) | 9(32.1) | 0.277 | 0.599 |
| Tbil(μmol/L)b | 28.61±42.78 | 22.45±18.66 | 0.729 | 0.469 |
| MAP(mmHg)b | 71.27±14.80 | 71.85±14.32 | 0.180 | 0.858 |
| PLT(×109/L)b | 149.45±92.10 | 148.96±87.35 | 0.021 | 0.983 |
| WBC(×109/L)b | 12.16±6.61 | 13.28±7.96 | 0.585 | 0.561 |
| SCr(μmol/L)b | 112.81±78.50 | 114.16±122.59 | 0.051 | 0.959 |
| PCT(ng/L)c | 2.50(0.63, 9.10) | 0.79(0.38, 8.80) | 1.146 | 0.252 |
| CRP(mg/L)c | 66.59(36.19, 210.00) | 61.84(29.73, 115.82) | 0.638 | 0.524 |
| 其他指标b | ||||
| RICU住院时间(d) | 13.65±3.60 | 11.75±3.99 | 1.914 | 0.061 |
| 注:SOFA为序贯器官衰竭评分,APACHEⅡ为急性生理学与慢性健康状况评分,Tbil为总胆红素,MAP为平均动脉压,PLT为血小板计数,WBC为白细胞,SCr为血肌酐,PCT为降钙素原,CRP为C反应蛋白;1mmHg=0.133 kPa;a为(例,%),b为x±s,c为M(Q1,Q3) | ||||
与生存组相比,死亡组的6 h LCR、24 h LCR、6 h OI、24 h OI、72 h OI明显降低(P < 0.05),而24 h Lac、6 h SDC-1、24 h SDC-1、72 h SDC-1明显升高(P < 0.05)。两组组内不同时间点各指标比较显示,生存组6 h、24 h、72 h的Lac均与0 h Lac有差异有统计学意义,而死亡组仅有72 h Lac明显低于0 h Lac(均P < 0.05)。生存组的24 h、72 h的LCR均与6 h LCR差异有统计学意义,而死亡组仅有72 h LCR高于6 h LCR(P < 0.05)。两组的24 h、72 h的OI均与6 h OI差异有统计学意义(均P < 0.05);死亡组6 h、24 h、72 h的SDC-1均与0 h SDC-1差异有统计学意义(均P < 0.05)。见表 2。
| 参数 | 生存组(n=31) | 死亡组(n=28) | t值 | P值 |
| Lac(mmol/L) | ||||
| 0 h | 5.36±4.37 | 5.49±4.30 | 0.116 | 0.908 |
| 6 h | 3.48±3.32a | 4.86±3.34 | 1.585 | 0.118 |
| 24 h | 2.30±1.35ab | 3.96±2.69 | 2.952 | 0.005 |
| 72 h | 2.00±1.04ab | 2.74±1.79abc | 0.131 | 0.054 |
| LCR(%) | ||||
| 6 h | 30.15±41.79 | -3.76±57.73 | -2.603 | 0.012 |
| 24 h | 44.35±36.20b | 5.21±59.35 | -3.085 | 0.003 |
| 72 h | 47.43±41.87b | 29.89±47.81bc | -1.502 | 0.139 |
| OI(mmHg) | ||||
| 6 h | 195.32±65.45 | 162.76±55.58 | -2.047 | 0.045 |
| 24 h | 242.86±71.45b | 204.06±72.85b | -2.064 | 0.044 |
| 72 h | 276.32±62.44bc | 229.99±85.13b | -2.399 | 0.020 |
| SDC-1(ng/mL) | ||||
| 0 h | 53.82±19.97 | 58.54±24.00 | 0.824 | 0.413 |
| 6 h | 55.21±17.12 | 67.88±22.62a | 2.440 | 0.018 |
| 24 h | 57.60±14.53 | 70.53±19.63a | 2.893 | 0.005 |
| 72 h | 51.81±20.21 | 74.54±22.65a | 4.073 | < 0.001 |
| 注:Lac为血清乳酸,LCR为乳酸清除率,OI为氧合指数,SDC-1为多配体聚糖-1;a与0 h比较,b与6 h比较,c与24 h比较,均P < 0.05 | ||||
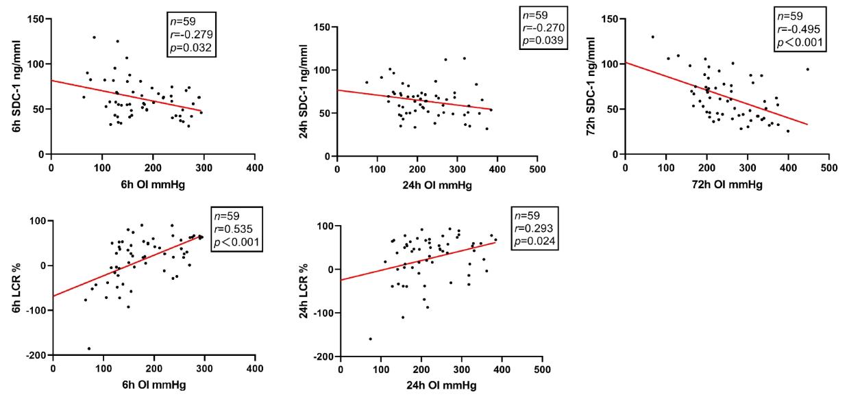
Spearman相关性分析显示6 h SDC-1(rs= -0.279)、24 h SDC-1(rs=-0.270)、72 h SDC-1(rs= -0.495)与对应时间点的OI均呈显著负相关(P < 0.05);6 h LCR(rs=0.535)、24 h LCR(rs=0.293)与对应时间点的OI均呈显著正相关(P < 0.05)。见图 2。
|
| SDC-1为多配体聚糖-1,OI为氧合指数,LCR为乳酸清除率 图 2 脓毒性休克并ARDS患者不同时间点的LCR、SDC-1与对应时间点OI的相关性 Fig 2 Correlation between LCR、SDC-1 and OI at different time points in patients with septic shock and ARDS |
|
|
多因素logistic回归分析显示,SOFA评分、24 h LCR、24 h SDC-1、72 h SDC-1是影响诊断脓毒性休克并ARDS的28 d死亡相关因素(均P < 0.05)。见表 3。
| 变量 | 第1天 | 变量 | 第2天 | 变量 | 第3天 | ||||||||
| OR值 | 95%CI | P值 | OR值 | 95%CI | P值 | OR值 | 95%CI | P值 | |||||
| 年龄 | 1.019 | W0.959~1.083 | 0.540 | 年龄 | 1.006 | 0.943~1.073 | 0.861 | 年龄 | 1.018 | 0.955~1.087 | 0.579 | ||
| 性别 | 0.822 | 0.192~3.514 | 0.792 | 性别 | 1.134 | 0.250~5.145 | 0.870 | 性别 | 1.723 | 0.362~8.204 | 0.495 | ||
| SOFA | 1.498 | 1.099~2.041 | 0.011 | SOFA | 1.443 | 1.045~1.992 | 0.026 | SOFA | 1.617 | 1.127~2.322 | 0.009 | ||
| APACHEⅡ | 1.114 | 0.947~1.311 | 0.193 | APACHEⅡ | 1.178 | 0.993~1.396 | 0.060 | APACHEⅡ | 1.100 | 0.928~1.305 | 0.273 | ||
| 6 h LCR | 0.985 | 0.967~1.004 | 0.117 | 24 h LCR | 0.979 | 0.958~1.000 | 0.049 | 72 h LCR | 0.986 | 0.966~1.006 | 0.173 | ||
| 6 h SDC-1 | 1.030 | 0.988~1.073 | 0.162 | 24 h SDC-1 | 1.057 | 1.006~1.111 | 0.028 | 72 h SDC-1 | 1.043 | 1.005~1.084 | 0.028 | ||
| 6 h OI | 1.000 | 0.986~1.013 | 0.955 | 24 h OI | 0.998 | 0.987~1.010 | 0.746 | 72 h OI | 0.993 | 0.981~1.005 | 0.252 | ||
| 注:SOFA为序贯器官衰竭评分,APACHEⅡ为急性生理学与慢性健康状况评分,OI为氧合指数,LCR为乳酸清除率,SDC-1为多配体聚糖-1 | |||||||||||||
ROC曲线显示,SOFA评分、24 h LCR、24 h SDC-1、72 h SDC-1、24 h LCR联合24 h SDC-1均对脓毒性休克并ARDS患者的28 d预后均有预测价值(均P < 0.05),且24 h LCR联合24 h SDC-1具有最大的曲线下面积。见图 3、表 4。
|
| SOFA为序贯器官衰竭评分,LCR为乳酸清除率,SDC-1为多配体聚糖-1 图 3 各指标单独及联合预测脓毒性休克并ARDS患者28d预后的ROC曲线 Fig 3 ROC curve for predicting 28-day prognosis of patients with septic shock and ARDS by each indicator alone and in combination |
|
|
| 变量 | 最佳截断值 | AUC | 95%CI | P值 | 敏感度(%) | 特异度(%) |
| SOFA(分) | 10.500 | 0.790 | 0.678~0.903 | < 0.001 | 89.3 | 58.1 |
| 24 h LCR(%) | 41.489 | 0.719 | 0.583~0.865 | 0.004 | 71.4 | 74.2 |
| 24 h SDC-1(ng/mL) | 54.830 | 0.706 | 0.572~0.840 | 0.007 | 85.7 | 51.6 |
| 72 h SDC-1(ng/mL) | 64.675 | 0.787 | 0.665~0.909 | < 0.001 | 71.4 | 83.9 |
| 24 h LCR联合24 h SDC-1 | 0.460 | 0.805 | 0.691~0.920 | < 0.001 | 75.0 | 74.4 |
| 注:SOFA为序贯器官衰竭评分,LCR为乳酸清除率,SDC-1为多配体聚糖-1 | ||||||
脓毒性休克所致ARDS起病急,病情发展迅速,绝大部分的ARDS发生于脓毒症尤其是脓毒性休克病程的早期阶段[10],其特征是有效循环血容量的急剧减少导致组织低灌注、组织细胞缺氧[11]。现在的研究观点认为脓毒性休克的复苏治疗应以纠正组织器官缺氧为标准之一[12],而Lac是缺氧条件下糖酵解的代谢产物,反映的是低灌注情况下机体无氧代谢的产物增加,是监测和评估严重脓毒症和脓毒性休克的敏感指标。Lac与脓毒性休克患者的病情程度和预后有相关性[12]。本研究结果显示,死亡组虽在各时间点的Lac均高于生存组,但仅在24 h时的差异具有统计学意义,这可能与本研究为观察性研究有关,无法控制两组患者的血管活性药物应用的种类在同一水平。
近年来重症医学界主张动态监测Lac变化趋势,提出了LCR的概念,并且已有研究表明LCR可以更好地反映治疗效果以及病情变化[13]。本研究发现死亡组6 h LCR、24 h LCR均显著低于生存组,两组组内的LCR比较显示,生存组的24 h LCR较6 h LCR显著升高,而死亡组差异无统计学意义,说明预后较好的患者能够更快地恢复组织器官灌注、改善氧合,24 h内的LCR与脓毒性休克并ARDS患者的死亡存在相关性。Jansen等[14]多中心研究及Marty等[15]的研究结果显示,诊断脓毒性休克最初24 h内的LCR是患者28 d病死率的最佳指标。2012年的ARDS柏林标准将OI作为诊断及病情分级的指标[9],本研究发现,6 h LCR、24 h LCR与对应时间点的OI具有良好的正相关性,当OI上升时,LCR也呈上升趋势,表明LCR与脓毒性休克并ARDS的病情的严重程度具有很好的相关性。因此脓毒性休克患者的复苏应动态监测Lac水平,并计算相应的LCR,以LCR为指导的复苏治疗安全、有效,可改善患者结局。
血管内皮细胞糖萼(vascular endothelial glycocalyx, VEG)是一种覆盖在血管内皮腔面的网状绒毛结构,构成血管屏障的重要组成部分,负责维持血管内空间的血流和组织液交换平衡[16]。脓毒症时病原体大量释放的内毒素,导致血管内皮损伤,使VEG脱落降解,导致内皮细胞屏障功能降低,从而发生毛细血管渗漏,出现组织水肿等临床表现[17]。有研究指出,脓毒症相关ARDS患者血清中检测到糖萼降解产物浓度增加[18]。SDC-1是糖萼脱落的主要标志物之一,并且SDC-1在多个临床研究中已被作为糖萼损伤的标志物[19-20]。本研究显示,死亡组的6 h、24 h、72 h SDC-1的血清浓度明显高于生存组,这表明了死亡组患者的糖萼脱落损伤更为严重,提示患者的血清SDC-1可能与患者预后有关,这也与既往研究结果一致[21-22]。本研究还发现生存组的血清SDC-1在前24 h内呈上升趋势,在72 h时下降,而死亡组患者6 h、24 h、72 h的SDC-1较0 h时明显增高,这提示可能随着疾病的进展,预后较差的患者,血管内皮持续损伤,继而表现为SDC-1水平的持续增高。Anand等[23]研究也发现生存组患者的SDC-1水平在研究观察的第1天之后呈下降趋势;而Fraser等[24]研究显示生存组与死亡组患者的SDC-1水平在前3 d均为上升趋势,这可能是因为他们的研究对象均为新型冠状病毒肺炎所致的脓毒症,肺部持续受到炎症损伤所致。
有研究表明肺内VEG的厚度约是肺外VEG的两倍,且更为富集[25],在脓毒症发病过程中肺内VEG脱落降解也较其他器官更为严重。本研究发现,6 h、24 h、72 h SDC-1与对应时间点OI均呈明显的负相关性,当OI下降时,SDC-1呈上升趋势,这表示测量SDC-1可预测脓毒性休克并ARDS的病情的严重程度,Kajita等[26]的研究同样表明持续高水平的血清SDC-1与脓毒症相关ARDS密切相关,也反映出肺血管内皮糖萼的持续损伤。这也表明病情重、预后差的脓毒性休克并ARDS患者肺血管内皮糖萼损伤更为严重,提示在临床治疗中,不应该只关注OI和呼吸功能的改善情况,还应关注对血管内皮的保护,其完整性可能是未来减少脓毒症中器官功能衰竭和降低死亡率的关键靶点[27]。
本研究行多因素Logistic回归分析筛查发现SOFA评分、24 h LCR、24 h SDC-1、72 h SDC-1是影响脓毒性休克并ARDS患者28 d死亡的相关因素。ROC曲线结果显示,与单独检测相比,联合检测24 h LCR与24 h SDC-1具有最大曲线下面积,提示联合检测能够更好地评估患者病情严重程度及预后、提升检验效能,也与刘艺等[28]的结论相似。但本研究为单中心观察性研究,结论可能存在一定的局限性。在研究中发现两组间6 h LCR、6 h SDC-1的差异具有统计学意义,然而在多因素Logistic回归分析筛查中并未显示为死亡的相关因素,后续可加大样本量进一步研究。
综上所述,24 h LCR、24 h SDC-1、72 h SDC-1是影响脓毒性休克并ARDS患者28 d死亡的相关因素;联合检测24 h LCR与24 h SDC-1较单独检测可以提升检验效能。保护血管内皮可能是治疗脓毒症与ARDS、降低病死率的靶点,但如何保护血管内皮,还需要进一步的研究和探索。
利益冲突 所有作者声明无利益冲突
作者贡献声明 许瑞涛:研究设计、收集数据、统计学分析、论文撰写;李双凤:研究设计;黄淑雅:收集数据、统计学分析,赵梦姣:论文撰写,高延秋:论文修改,指导支持
| [1] | Singer M, Deutschman CS, Seymour CW, et al. The third international consensus definitions for sepsis and septic shock (Sepsis-3)[J]. JAMA, 2016, 315(8): 801-810. DOI:10.1001/jama.2016.0287 |
| [2] | Cecconi M, Evans L, Levy M, et al. Sepsis and septic shock[J]. Lancet, 2018, 392: 75-87. DOI:10.1016/S0140-6736(18)30696-2 |
| [3] | Mikkelsen ME, Shah CV, Meyer NJ, et al. The epidemiology of acute respiratory distress syndrome in patients presenting to the emergency department with severe sepsis[J]. Shock, 2013, 40(5): 375-381. DOI:10.1097/SHK.0b013e3182a64682 |
| [4] | Capelozzi VL, Allen TC, Beasley MB, et al. Molecular and immune biomarkers in acute respiratory distress syndrome: a perspective from members of the pulmonary pathology society[J]. Arch Pathol Lab Med, 2017, 141(12): 1719-1727. DOI:10.5858/arpa.2017-0115-SA |
| [5] | 任玉倩, 崔云. 脓毒症相关性急性呼吸窘迫综合征肺血管内皮细胞功能生物标志物的研究进展[J]. 中华急诊医学杂志, 2020, 29(9): 1246-1249. DOI:10.3760/cma.j.issn.1671-0282.2020.09.023 |
| [6] | Martin L, Koczera P, Zechendorf E, et al. The endothelial glycocalyx: new diagnostic and therapeutic approaches in sepsis[J]. Biomed Res Int, 2016, 2016: 3758278. DOI:10.1155/2016/3758278 |
| [7] | Kolářová H, Ambrůzová B, Svihálková Šindlerová L, et al. Modulation of endothelial glycocalyx structure under inflammatory conditions[J]. Mediators Inflamm, 2014, 2014: 694312. DOI:10.1155/2014/694312 |
| [8] | 中国医师协会急诊医师分会, 中国研究型医院学会休克与脓毒症专业委员会. 中国脓毒症/脓毒性休克急诊治疗指南(2018)[J]. 中国急救医学, 2018, 38(9): 741-756. DOI:10.3969/j.issn.1002-1949.2018.09.001 |
| [9] | Definition Task Force AS, Rubenfeld GD, et al. Acute respiratory distress syndrome: the Berlin Definition[J]. JAMA, 2012, 307(23): 2526-2533. DOI:10.1001/jama.2012.5669 |
| [10] | Sheu CC, Gong MN, Zhai RH, et al. Clinical characteristics and outcomes of sepsis-related vs non-sepsis-related ARDS[J]. Chest, 2010, 138(3): 559-567. DOI:10.1378/chest.09-2933 |
| [11] | 王军宇, 王宏伟, 刘温馨, 等. 降钙素原和血乳酸及病情严重程度评分对脓毒症患者预后的评估价值[J]. 中华危重病急救医学, 2019, 31(8): 938-941. DOI:10.3760/cma.j.issn.2095-4352.2019.08.005 |
| [12] | Liu GL, Lv HJ, An YL, et al. Early actate levelsfor prediction of mortality in patients with sepsis or septic shock: a meta-analysis[J]. International Journal of Clinical and Experimental Medicine, 2017, 10(1): 37-47. |
| [13] | Lee SM, Kim SE, Kim EB, et al. Lactate clearance and vasopressor seem to be predictors for mortality in severe sepsis patients with lactic acidosis supplementing sodium bicarbonate: a retrospective analysis[J]. PLoS One, 2015, 10(12): e0145181. DOI:10.1371/journal.pone.0145181 |
| [14] | Jansen TC, van Bommel J, et al. Early lactate-guided therapy in intensive care unit patients: a multicenter, open-label, randomized controlled trial[J]. Am J Respir Crit Care Med, 2010, 182(6): 752-761. DOI:10.1164/rccm.200912-1918OC |
| [15] | Marty P, Roquilly A, Vallée F, et al. Lactate clearance for death prediction in severe sepsis or septic shock patients during the first 24 hours in Intensive Care Unit: an observational study[J]. Ann Intensive Care, 2013, 3(1): 3. DOI:10.1186/2110-5820-3-3 |
| [16] | Ince C, Mayeux PR, Nguyen T, et al. The endothelium in sepsis[J]. Shock, 2016, 45(3): 259-270. DOI:10.1097/shk.0000000000000473 |
| [17] | Uchimido R, Schmidt EP, Shapiro NI. The glycocalyx: a novel diagnostic and therapeutic target in sepsis[J]. Crit Care, 2019, 23(1): 16. DOI:10.1186/s13054-018-2292-6 |
| [18] | Xing K, Murthy S, Liles WC, et al. Clinical utility of biomarkers of endothelial activation in sepsis: a systematic review[J]. Crit Care, 2012, 16(1): R7. DOI:10.1186/cc11145 |
| [19] | Inagawa R, Okada H, Takemura G, et al. Ultrastructural alteration of pulmonary capillary endothelial glycocalyx during endotoxemia[J]. Chest, 2018, 154(2): 317-325. DOI:10.1016/j.chest.2018.03.003 |
| [20] | Murphy LS, Wickersham N, McNeil JB, et al. Endothelial glycocalyx degradation is more severe in patients with non-pulmonary sepsis compared to pulmonary sepsis and associates with risk of ARDS and other organ dysfunction[J]. Ann Intensive Care, 2017, 7(1): 102. DOI:10.1186/s13613-017-0325-y |
| [21] | Wei SY, Gonzalez Rodriguez E, Chang R, et al. Elevated syndecan-1 after trauma and risk of sepsis: a secondary analysis of patients from the pragmatic, randomized optimal platelet and plasma ratios (PROPPR) trial[J]. J Am Coll Surg, 2018, 227(6): 587-595. DOI:10.1016/j.jamcollsurg.2018.09.003 |
| [22] | Smart L, Bosio E, MacDonald SPJ, et al. Glycocalyx biomarker syndecan-1 is a stronger predictor of respiratory failure in patients with sepsis due to pneumonia, compared to endocan[J]. J Crit Care, 2018, 47: 93-98. DOI:10.1016/j.jcrc.2018.06.015 |
| [23] | Anand D, Ray S, Srivastava LM, et al. Evolution of serum hyaluronan and syndecan levels in prognosis of sepsis patients[J]. Clin Biochem, 2016, 49(10/11): 768-776. DOI:10.1016/j.clinbiochem.2016.02.014 |
| [24] | Fraser DD, Patterson EK, Slessarev M, et al. Endothelial injury and glycocalyx degradation in critically ill coronavirus disease 2019 patients: implications for microvascular platelet aggregation[J]. Crit Care Explor, 2020, 2(9): e0194. DOI:10.1097/CCE.0000000000000194 |
| [25] | Schmidt EP, Yang YM, Janssen WJ, et al. The pulmonary endothelial glycocalyx regulates neutrophil adhesion and lung injury during experimental sepsis[J]. Nat Med, 2012, 18(8): 1217-1223. DOI:10.1038/nm.2843 |
| [26] | Kajita Y, Terashima T, Mori H, et al. A longitudinal change of syndecan-1 predicts risk of acute respiratory distress syndrome and cumulative fluid balance in patients with septic shock: a preliminary study[J]. J Intensive Care, 2021, 9(1): 27. DOI:10.1186/s40560-021-00543-x |
| [27] | Fernández-Sarmiento J, Salazar-Peláez LM, Carcillo JA. The endothelial glycocalyx: a fundamental determinant of vascular permeability in sepsis[J]. Pediatr Crit Care Med, 2020, 21(5): e291-e300. DOI:10.1097/PCC.0000000000002266 |
| [28] | 刘艺, 马林沁, 吴彩军. 肝素结合蛋白联合SOFA评分对老年脓毒症患者预后的早期预测价值[J]. 中华急诊医学杂志, 2020, 29(12): 1613-1617. DOI:10.3760/cma.j.issn.1671-0282.2020.12.020 |
2023, Vol. 32



