2. 安徽省六安市金寨县人民医院急诊科,六安 237300;
3. 北京市昌平区中医医院急诊科,北京 102200;
4. 卫健委中日友好医院呼吸与危重症医学科,北京 100029
2. Department of Emergency Medicine, Jinzhai County People's Hospital, the city of Lu'an, 237300, China;
3. Department of Emergency Medicine, Traditional Chinese Medical Hospital of Changping District, Beiing 102200, China; Department of Emergency Medicine, China-Japan Friendship Hospital, Beijing 100029, China;
4. Department of Pulmonary and Critical Care Medicine, China-Japan Friendship Hospital, Beijing 100029, China
脓毒症是指由感染引发的机体反应异常导致的器官功能损伤[1-2]。全球每年新发脓毒症病例超过4890万,死亡人数约1100万[3]。2020年一项在我国44所医院ICU的研究报告也显示,ICU脓毒症的发病率为20.6%[4]。现有研究表明,重度脓毒症患者可并发急性呼吸窘迫综合征(acute respiratory distress syndrome,ARDS),尤其是在老龄人群中,脓毒症的危害显得尤为严重[5]。目前,造成脓毒症死因的主要原因被归于脓毒症导致的ARDS[6]。右美托咪定(Dexmedetomidine,Dex),分子式为C13H16N2,是有效的α2-肾上腺素受体激动剂,具有镇静、抗焦虑的生物学特点[7-8]。多项研究表明Dex在各种炎症性相关疾病中具有明显的抑炎作用[9-10],并指出Dex具有减轻肺损伤的作用,而这种作用如何影响免疫功能紊乱的脓毒症小鼠改善肺损伤的作用机制尚不清楚。目前研究显示,多种长链非编码RNA(lncRNA)参与了脓毒症的发生、发展过程[11]。其中,lncRNA-HOTAIR在多个研究中被指出与脓毒症的诊断具有重要参考价值[12-13]。基于此,本研究设计离体和在体实验以探究DEX通过lncRNA-HOTAIR在调控脓改善脓毒症小鼠肺损伤的分子作用机制。
1 材料与方法 1.1 细胞培养与主要试剂RAW246.7购自于ATCC(ATCC,USA),用含10%的胎牛血清(FBS,Gibico,USA)、1%青霉素、链霉素(Thermo,USA)的DMEM(Gibico,USA)培养液,置于5% CO2、37℃培养箱中生长。细胞生长至70%~80%汇合后进行传代。LPS及DEX购自Sigma(Sigma,USA)公司。
1.2 脓毒症小鼠模型的建立采用盲肠结扎穿孔法(cecal ligation and puncture,CLP)诱导小鼠脓毒症,通过动物生存、术后小鼠载菌量、血常规和血生化指标、细胞因子水平、组织病理变化等方面对模型进行综合的评估。本研究采用SPF级别雌性ICR小鼠,8~10周龄,小鼠体重为23~27 g,共24只,动物饲养室:中日友好医院动物室,小鼠实验获得中日友好医院动物伦理委员会批准,批准号为:zryhyy21-22-09-01。开展动物实验前,均术前适应性饲养1周,以便使其适应饲养室环境,术前12 h禁食,采用合格小鼠入组。小鼠从笼中取出后,暴露腹部,右下腹腔注射4%水合氯醛(0.1 mL/10 g)将小鼠麻醉。CLP组小鼠待麻醉成功后,进行消毒处理,沿腹中线切开腹膜,暴露盲肠,用丝线在回盲肠联合部结扎盲肠,18号针头对盲肠穿孔,然后将盲肠放回腹腔,依次缝合。阴性对照组,即Sham组小鼠异氟烷吸入麻醉后,沿腹中线切开腹膜,暴露盲肠,取出后重新放回腹腔,缝合。缝合后小鼠均保温和正常饲养。CLP+Dex组小鼠麻醉前15 min腹腔注射DEX (50 μg/kg),Sham组和CLP组小鼠在麻醉前15 min腹腔注射1 mL无菌生理盐水。记录术后24 h内各组小鼠的存活率。在CLP术后0、3、6、12、24 h时行处死实验小鼠,收集小鼠肺脏。
1.3 小鼠肝肺组织纤维化情况观察采用H & E染色法,大鼠腹腔注射3 % 戊巴比妥钠麻醉,仰卧固定,打开腹部暴露脏器,小心摘取肝脏、肺脏后,用预冷的生理盐水充分冲洗,再用10 % 中性福尔马林固定,经脱水、透明、浸蜡和包埋,最后制成约5 μm厚度切片。进行苏木精-伊红染色,在光学显微镜下观察肝、肺组织病理学改变(× 200)。
1.4 qRT-PCR检测炎症相关细胞因子取200 μL分装的肺悬液,用Trizol法提取RNA,再反转录为cDNA,利用qRT-PCR检测方法分别进行IL-1β、IL-6和TNF-α的转录水平检测,引物信息见表 1,在ABI7500荧光定量PCR仪上进行。反应体系(20 μL) 为:Premix Ex Taq(Probe qPCR)10 μL,上下游引物(10 μmol/L)各0.4 μL,Probe 0.8 μL,ROX Reference Dye Ⅱ 0.4 μL,DNA模板2 μL,灭菌水6μL,反应条件为:95℃预变性30 s;95℃ 5 s,60℃ 45 s为一个循环,进行40个循环。引物信见表 1。
| 引物名称 | 引物序列 | |
| IL-1β | F:GAAATGCCACCTTTTGACAGTG | R:TGGATGCTCTCATCAGGACAG |
| IL-6 | F:CTTCCATCCAGTTGCCTTCT | R:CTCCGACTTGTGAAGTGGTATAG |
| TNF-α | F:CAGGCGGTGCCTATGTCTC | R:CAGGCGGTGCCTATGTCTC |
| β-actin | F:AAGGCCAACCGTGAAAAGAT | R:AAGGCCAACCGTGAAAAGAT |
本研究用转染40 nmol/L siRNA-HOTAIR方式在RAW264.7细胞上进行敲低HOTAIR;用转染2 mg plncRNA-HOTAIR方式在RAW264.7细胞上进行过表达HOTAIR。同时,转染40 nmol/L siRNA-NC和2 mg pNC作为阴性对照。转染48 h后,用LPS处理12 h后,弃掉培养基,PBS润洗3遍后,收集细胞样品,提取其RNA,并进行细胞因子分析。上述所用lncRNA-HOTAIR干扰RNA或过表达质粒及其对照均购自上海吉玛公司。
1.6 体内敲低或过表达lncRNA-HOTAIR以GenBank中NR_047528序列基础构建过表达lncRNA-HOTAIR(pLenti-HOTAIR)或者敲低lncRNA-HOTAIR(pLenti-shHOTAIR)慢病毒骨架质粒及其空载对照质粒,然后生产和纯化该慢病毒悬液,由上海吉玛公司完成。最终获取的慢病毒悬液滴度为1×109 TU/mL,在CLP手术前24 h,每只小鼠通过腹腔注射100 μL慢病毒悬液完成HOTAIR预处理,CLP手术后6 h,所有小鼠全部处死,收集小鼠肺脏。
1.7 统计学方法统计学分析使用GraphPad 8.0软件(GraphPad软件公司,San Diego, CA, 美国)。两两比较使用成组t检验。多组间两两比较多重比较分析采用LSD-t检验。以P < 0.05为差异有统计学意义。
2 结果 2.1 CLP小鼠模型的建立分别在术后3 h、6 h、12 h和24 h安乐死小鼠,并摘取肺部组织。结果显示,PBS对照组(PBS)和假手术组(Sham)在术后3~24 h期间均未出现小鼠死亡情况,CLP组小鼠在3 h和6 h两个时间点未出现死亡,但术后12 h和24 h分别出现1只(1/6)和2只(2/6)小鼠死亡情况,病死率达到了16.7%和33.3%(图 1A)。CLP组肺组织苏木精-伊红染色结果显示存在明显炎症反应,术后6 h后肺脏中可观察到大量炎性细胞浸润(图 1B)。肺组织炎性因子水平IL-1β,IL-6和TNF-α随着术后时间的延长(3 ~12 h)呈现逐渐升高的趋势。与假手术组相比,CLP组术后6 h的3种细胞因子与空白组相比,差异有统计学意义(P < 0.01)(图 1 C-E)。与假手术组相比,CLP组中IL-1β (图 1 C)结果显示,在术后3 h高2.3倍(P < 0.05),术后6 h高约4.2倍(P < 0.01),在术后12 h则高出9.3倍(P < 0.01),在术后24 h高出11.3倍(P < 0.01);IL-6(图 1 D)在术后3 h高0.6倍,差异无统计学意义,术后6 h高约2.6倍(P < 0.05),在术后12 h则高出5.9倍(P < 0.01),在术后24 h高出7.3倍(P < 0.01);TNF-α(图 1 E)在术后3 h后高1.4倍,术后6 h高约5.2倍(P < 0.01),在术后12 h则高出11.6倍(P < 0.01),在术后24 h高出14.1倍(P < 0.01)。
|
| A:给组小鼠的生存曲线; B:给组小鼠肺脏组织的苏木精-伊红染色(× 200);给组小鼠肺脏组织炎症因子IL-1β(C),IL-6(D)和TNF-α(E)的mRNA水平变化。 图 1 DEX降低了脓毒症小鼠的肺部炎症及提高脓毒症小鼠存活率 Fig 1 DEX decreased lung inflammation and increased the survival rate of septic mice |
|
|
在小鼠麻醉前15 min腹腔注射Dex(50 μg/kg)。结果显示Dex可以降低CLP术后小鼠的病死率,仅在CLP+Dex 24 h组中观测到1只(1/6)小鼠的死亡(图 1 A)。紧接着,笔者分析了Dex治疗对脓毒症小鼠肺脏炎性细胞因子的影响。结果显示经Dex治疗6 h,均显著降低了肺脏细胞因子IL-1β、IL-6和TNF-α的表达水平(图 1 C-E)(P < 0.05)。此外,肺组织IL-1β水平经Dex治疗3 h后,即可显著下调1.1倍(P < 0.05)。进一步观察肺部病理情况,结果显示Dex治疗后,CLP诱导脓毒症小鼠的肺脏炎性细胞浸润减少(图 1 B)。
2.3 Dex治疗显著下调脓毒症小鼠肺脏的lncRNA-HOTAIR表达水平分析小鼠肺部组织中lncRNA-HOTAIR的水平变化,结果如图 2所示:CLP组中肺组织lncRNA-HOTAIR水平较假手术组具有显著提高,分别在CLP术后3、6、12和24 h升高1.6、3.6、7.8、9.8倍。在CLP+Dex组中,结果显示经Dex治疗后,降低了肺组织中lncRNA-HOTAIR表达水平,其中在Dex治疗6~24 h后,HOTAIR表达水平分别下降1.1倍(P < 0.05)、4.0倍(P < 0.01)和3.8倍(P < 0.01)。
|
| 图 2 各组小鼠肺组织lncRNA-HOTAIR表达水平 Fig 2 Level of lncRNA-HOTAIR in each group |
|
|
首先,在RAW 264.7细胞建立了研究脓毒症的细胞模型。即以1 μmol/L Dex进行预处理RAW 264.7细胞,12 h后,加入100 ng/mL LPS至RAW 264.7培养基中,继续培养24 h。在LPS处理的6 h、12 h和24 h,收取细胞样品用于细胞因子检测。结果如图 3所示:相较于空白组,LPS处理RAW264.7细胞后IL-1β、IL-6和TNF-α mRNA水平均呈显著性升高(P < 0.01)。其中IL-1β和IL-6在LPS处理12 h后达到最高水平;TNF-α水平在LPS处理24 h达到最高。经Dex干预后,LPS刺激产生的IL-1β、IL-6和TNF-α水平均呈下调。其中,在Dex干预24~36 h(即LPS处理12~24 h)后RAW264.7细胞中的IL-1β、IL-6和TNF-α水平的相较于Dex未干预组均呈显著性下调(P < 0.01)。结果表明,在RAW264.7细胞上成功建立了研究Dex改善脓毒症小鼠肺损伤的体外研究模型。
|
| 图 3 RAW264.7细胞模型IL-1β(A)、IL-6(B)和TNF-α(C)表达水平 Fig 3 Expression levels of IL-1β (A), IL-6 (B), and TNF-α (C) in RAW264.7 cell model |
|
|
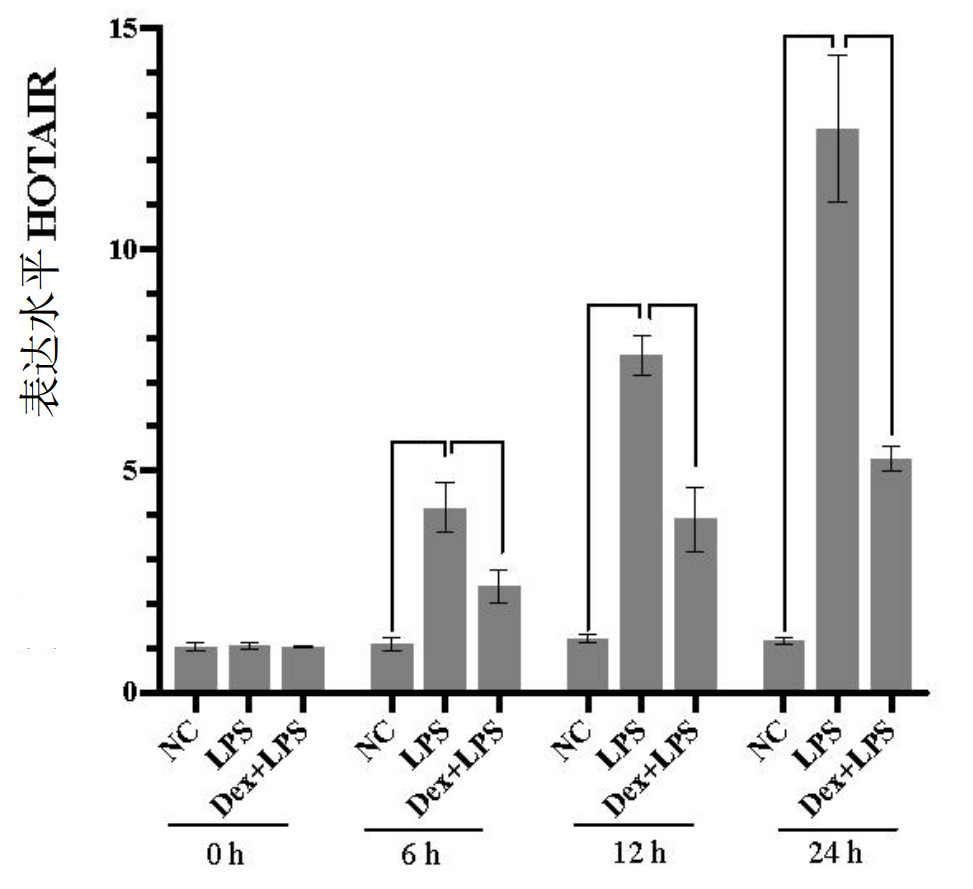
与PBS对照组(PBS)相比,LPS处理组可以显著上调lncRNA-HOTAIR的水平,在24 h达到最大,为空白组的11.5倍(P < 0.01)(图 4)。此外,在Dex干预24~36 h(即LPS处理12~24 h)后RAW264.7细胞中的lncRNA-HOTAIR水平的相较于Dex未干预组均呈显著性下调。其中,在Dex干预24 h或者36 h时,相较于Dex未干预组,lncRNA-HOTAIR水平分别下调2.7倍(P < 0.05)和6.4倍(P < 0.01)。
|
| 图 4 RAW264.7细胞模型lncRNA-HOTAIR表达水平 Fig 4 Expression levels of lncRNA-HOTAIT in RAW264.7 cell model |
|
|
在RAW264.7细胞上进行了敲低或者过表达HOTAIR后,检测了LPS刺激RAW264.7细胞产生的细胞因子(IL-1β、IL-6和TNF-α)水平。如图 5所示,相较于对照组,敲低HOTAIR后,可以显著降低LPS刺激产生的细胞因子(IL-1β、IL-6和TNF-α)水平。而过表达HOTAIR后,可以显著升高LPS刺激产生的细胞因子(IL-1β、IL-6和TNF-α)水平(P < 0.05)。
|
| 图 5 lncRNA-HOTAIR对脓毒症细胞模型中细胞因子影响 Fig 5 Effects of lncRNA-HOTAIR on cytokines in RAW264.7 cell model |
|
|
首先在CLP手术前24 h通过腹腔注射1×108 TU pLenti-shHOTAIR或pLenti-HOTAIR慢病毒悬液,并在CLP手术后6 h处死小鼠,分析肺损伤情况。结果显示:经腹腔注射pLenti-shHOTAIR或pLenti-HOTAIR可以分别降低2.93倍或提高3.86倍lncRNA-HOTAIR水平(图 6A,P < 0.01)。敲低lncRNA-HOTAIR能够显著降低脓毒症小鼠的肺损伤,具体表现为降低了炎性细胞的浸润(图 6B),此外肺脏组织的细胞因子经qPCR测得,敲低lncRNA-HOTAIR可以显著降低脓毒症小鼠的IL-1β、IL-6和TNF-α水平(P < 0.05), 而过表达lncRNA-HOTAIR则显著增加了脓毒症小鼠的IL-1β、IL-6和TNF-α水平(P < 0.01)。见图 6。
|
| A:给组小鼠肺组组HOTAIR的mRNA水平变化; B:给组小鼠肺脏组织的苏木精-伊红染色(× 200);给组小鼠肺脏组织炎症因子IL-1β(C),IL-6(D)和TNF-α(E)的mRNA水平变化 图 6 lncRNA-HOTAIR对脓毒症小鼠的影响 Fig 6 Effects of lncRNA-HOTAIR on septic mice |
|
|
脓毒症是由感染引起的一种全身炎症性疾病,理论上任何感染均有可能进展为脓毒症。其中,重症监护室里的患者更容易导致脓毒症[14-16]。据不完全统计,全球每年有超过1 800万严重脓毒症病例,美国每年有75万例脓毒症患者,并且这一数字还以每年1.5%~8.0%的速度上升[6]。因此筛选出切实有效的脓毒症预警指标,成为脓毒症诊断的迫切需求。肺脏是脓毒症多器官功能障碍中首先受累的脏器,易引发急性肺损伤(acute lung injury,ALI)或急性呼吸窘迫综合征(acute respiratory distress syndrome,ARDS)[17]。目前,脓毒症缺乏特异性的治疗方法。脓毒症时肺损伤的机制尚不清楚,多项研究指出脓毒症与弥漫性的双肺炎症紧密相关。因此,探寻脓毒症与肺脏炎症相关的思路或许是解答脓毒症的关键点。
目前,右美托咪定(Dexmedetomidine,Dex)的相关研究主要集中于术后镇静、镇痛。除此,多项研究还表明Dex可以调节免疫、减轻炎性反应等[18-21]。有研究指出Dex减轻了脓毒症性肺损伤,起到了重要的保护性作用,这说明Dex的肺作用机制较为复杂,其确切的在改善脓毒症性肺损伤的作用机制还有待进一步研究。lncRNA是一类长度大于200个核苷酸的非编码RNA,与生命活动密切相关。其中HOTAIR是研究较多的一类lncRNA分子,其可以通过调节自噬或TLR4等通路来影响LPS诱导的肺部炎症反应及肺损伤。
本文研究表明在CLP所致脓毒症小鼠中,Dex可以显著改善脓毒症小鼠的肺部炎症反应,肺脏细胞因子IL-1β、IL-6和TNF-α均显著下调。经Dex治疗,可提高CLP小鼠的存活率。进一步研究显示,CLP术后小鼠的HOTAIR水平呈明显升高,而经Dex治疗后的第6个小时后HOTAIR的水平显著下降。本研究显示Dex改善脓毒症小鼠肺损伤的一个重要原因可能是下调了HOTAIR的水平所致。为了探索HOTAIR在Dex治疗脓毒症小鼠后的具体作用机制,本研究构建了可用于研究脓毒症的体外细胞模型—脓毒症RAW264.7细胞模型。首先,验证了该细胞模型经LPS处理后IL-1β、IL-6和TNF-α mRNA水平均呈显著性升高。Dex干预后,经LPS处理的RAW264.7细胞所产生IL-1β、IL-6和TNF-α mRNA水平均显著降低。敲低HOTAIR后,可以显著降低LPS或CLP诱导产生的细胞因子(IL-1β、IL-6和TNF-α)水平。在CLP手术小鼠中发现敲低lncRNA-HOTAIR能够显著降低脓毒症小鼠的肺损伤,降低炎性细胞的浸润。
利益冲突 所有作者声明无利益冲突
作者贡献声明 杨建萍、王一彪、孙力超:实验操作、论文撰写;李彦、魏冯宁、曹俊梅:数据收集及整理、统计学分析;张晓岩、尹生磊:研究设计、论文修改
| [1] | Singer M, Deutschman CS, Seymour CW, et al. The third international consensus definitions for sepsis and septic shock (Sepsis-3)[J]. JAMA, 2016, 315(8): 801-810. DOI:10.1001/jama.2016.0287 |
| [2] | 中国医疗保健国际交流促进会急诊医学分会, 中华医学会急诊医学分会, 中国医师协会急诊医师分会, 中国人民解放军急救医学专业委员会. 中国脓毒症早期预防与阻断急诊专家共识[J]. 中华急诊医学杂志, 2020, 29(7): 885-895. DOI:10.3760/cma.j.issn.1671-0282.2020 |
| [3] | Rudd KE, Johnson SC, Agesa KM, et al. Global, regional, and national sepsis incidence and mortality, 1990-2017: analysis for the Global Burden of Disease Study[J]. Lancet, 2020, 395(10219): 200-211. DOI:10.1016/S0140-6736(19)32989-7 |
| [4] | Xie JF, Wang HL, Kang Y, et al. The epidemiology of sepsis in Chinese ICUs: a national cross-sectional survey[J]. Crit Care Med, 2020, 48(3): e209-e218. DOI:10.1097/CCM.0000000000004155 |
| [5] | Hu QH, Hao CP, Tang SJ. From sepsis to acute respiratory distress syndrome (ARDS): emerging preventive strategies based on molecular and genetic researches[J]. Biosci Rep, 2020, 40(5): BSR20200830. DOI:10.1042/BSR20200830 |
| [6] | Evans L, Rhodes A, Alhazzani W, et al. Surviving sepsis campaign: international guidelines for management of sepsis and septic shock 2021[J]. Intensive Care Med, 2021, 47(11): 1181-1247. DOI:10.1007/s00134-021-06506-y |
| [7] | Chen R, Sun Y, Lv J, et al. Effects of dexmedetomidine on immune cells: a narrative review[J]. Front Pharmacol, 2022, 13: 829951. DOI:10.3389/fphar.2022.829951 |
| [8] | Yang ZD, Song GM, Hu WD, et al. Pharmacological analysis of dexmedetomidine hydrochloride in pediatric anesthesia during magnetic resonance imaging[J]. Pak J Pharm Sci, 2018, 31(5(Special)): 2209-2214. |
| [9] | Dai M, Zhu XH, Zeng SM, et al. Dexmedetomidine protects cells from Angiotensin Ⅱ-induced smooth muscle cell phenotype switch and endothelial cell dysfunction[J]. Cell Cycle, 2023, 22(4): 450-463. DOI:10.1080/15384101.2022.2124489 |
| [10] | Shan X, Zhang J, Wei X, et al. Dexmedetomidine attenuates renal ischemia-reperfusion injury through activating PI3K/Akt-eNOS signaling via α2 adrenoreceptors in renal microvascular endothelial cells[J]. FASEB J, 2022, 36(11): e22608. DOI:10.1096/fj.202101626rr |
| [11] | Wang CQ, Liang GR, Shen JN, et al. Long non-coding RNAs as biomarkers and therapeutic targets in Sepsis[J]. Front Immunol, 2021, 12: 722004. DOI:10.3389/fimmu.2021.722004 |
| [12] | Ni SY, Xu WT, Liao GY, et al. LncRNA HOTAIR promotes LPS-induced inflammation and apoptosis of cardiomyocytes via Lin28-mediated PDCD4 stability[J]. Inflammation, 2021, 44(4): 1452-1463. DOI:10.1007/s10753-021-01431-0 |
| [13] | Wu HW, Liu JF, Li W, et al. LncRNA-HOTAIR promotes TNF-α production in cardiomyocytes of LPS-induced sepsis mice by activating NF-κB pathway[J]. Biochem Biophys Res Commun, 2016, 471(1): 240-246. DOI:10.1016/j.bbrc.2016.01.117 |
| [14] | Thompson K, Venkatesh B, Finfer S. Sepsis and septic shock: current approaches to management[J]. Intern Med J, 2019, 49(2): 160-170. DOI:10.1111/imj.14199 |
| [15] | 常凯曦, 李育霈, 苏白海. 脓毒症血液净化治疗技术临床研究现状[J]. 中华急诊医学杂志, 2023, 32(3): 291-297. DOI:10.3760/cma.j.issn.1671-0282.2023.03.004 |
| [16] | Nagata I, Abe T, Ogura H, et al. Intensive care unit model and in-hospital mortality among patients with severe sepsis and septic shock: a secondary analysis of a multicenter prospective observational study[J]. Medicine, 2021, 100(21): e26132. DOI:10.1097/MD.0000000000026132 |
| [17] | Li WL, Li D, Chen YS, et al. Classic signaling pathways in alveolar injury and repair involved in sepsis-induced ALI/ARDS: new research progress and prospect[J]. Dis Markers, 2022, 2022: 6362344. DOI:10.1155/2022/6362344 |
| [18] | Wang K, Wu MG, Xu J, et al. Effects of dexmedetomidine on perioperative stress, inflammation, and immune function: systematic review and meta-analysis[J]. Br J Anaesth, 2019, 123(6): 777-794. DOI:10.1016/j.bja.2019.07.027 |
| [19] | Zhai ZH, Ouyang W, Yao YJ, et al. Dexamethasone-loaded ROS-responsive poly(thioket al) nanoparticles suppress inflammation and oxidative stress of acute lung injury[J]. Bioact Mater, 2022, 14: 430-442. DOI:10.1016/j.bioactmat.2022.01.047 |
| [20] | 揭娟, 杨莉, 沈俊, 等. 右美托咪定抑制NF-κB核易位减轻大鼠创伤性脑损伤神经炎症[J]. 中华急诊医学杂志, 2022, 31(5): 644-649. DOI:10.3760/cma.j.issn.1671-0282.2022.05.014 |
| [21] | Liu Y, Liang F, Liu XC, et al. Dexmedetomidine reduces perioperative opioid consumption and postoperative pain intensity in neurosurgery: a meta-analysis[J]. J Neurosurg Anesthesiol, 2018, 30(2): 146-155. DOI:10.1097/ANA.0000000000000403 |
2023, Vol. 32



